Advancing the Identification of Risk Factors for Invasive Fungal Disease in Children with Cancer
Abstract
1. Introduction
2. Methods
2.1. Population
2.2. Definitions
2.3. Risk Factors for IFD and Statistical Analysis
3. Results
3.1. Characteristics of the Population
3.2. Risk Factors
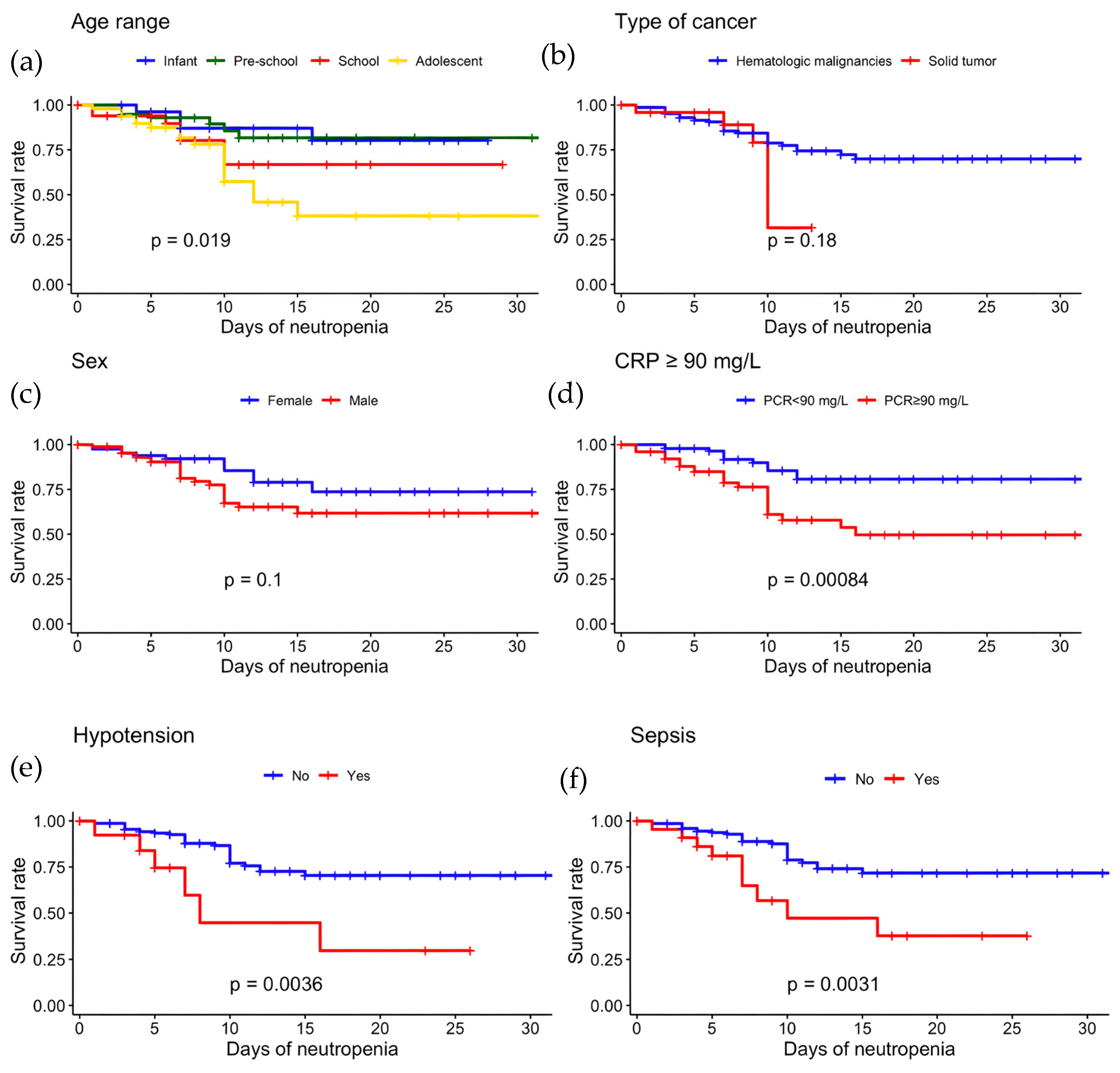
3.3. Event-Free Survival
4. Discussion
5. Conclusions
Author Contributions
Funding
Institutional Review Board Statement
Informed Consent Statement
Data Availability Statement
Acknowledgments
Conflicts of Interest
Abbreviations
| IFD | Invasive fungal disease |
| CRP | C-reactive protein |
| RF | Risk factor |
| HRFN | high-risk febrile neutropenia |
| PICU | Pediatric intensive care unit |
| AML | Acute myeloid leukemia |
| HCT | Hematopoietic cell transplant |
| PINDA | National child program of antineoplastic drugs |
| IQR | Interquartile range |
| CI | confidence intervals |
| EFS | Event-free survival |
| HR | Hazard ratio |
| ROC | Receiver operating characteristic |
| CVC | Central venous catheter |
| GM | Galactomannan |
| CT | Computed tomography |
| BAL | Bronchoalveolar lavage |
| FB | Fungus ball |
| UC | Urine culture |
| BC | Blood culture |
Appendix A
| Variables Median (IRQ), N (%) | Mold Infections (N = 18) | Yeast Infections (N = 16) | p-Value |
|---|---|---|---|
| Age (Years) | 11.8 (9.0–13.7) | 7.4 (2.2–11.5) | 0.0198 |
| Age Range | 0.0929 | ||
| Infant | 0 | 4 (25.0) | |
| Pre-school | 3 (16.7) | 4 (25.0) | |
| Elementary School | 4 (22.2) | 2 (18.8) | |
| Adolescent | 11 (61.1)) | 5 (31.2) | |
| Male sex | 12 (66.7) | 11 (68.8) | 1 |
| Hematologic Malignancies | 17 (94.4) | 11(68.7) | 0.0782 |
| Solid tumors | 1 (5.6) | 5(31.3) | |
| CRP ≥ 90 mg/L | 11 (61.1) | 12 (75.0) | 0.4768 |
| Hypotension | 4 (22.2) | 1(12.5) | 0.6602 |
| Sepsis | 6 (33.3) | 6 (37.5) | 1 |
| PICU admission | 12 (66.7) | 10 (62.5) | 1 |

References
- Lehrnbecher, T.; Groll, A.H.; Cesaro, S.; Alten, J.; Attarbaschi, A.; Barbaric, D.; Elitzur, S. Invasive fungal diseases impact on outcome of childhood ALL–an analysis of the international trial AIEOP-BFM ALL 2009. Leukemia 2023, 37, 72–78. [Google Scholar] [CrossRef]
- Lehrnbecher, T.; Schöning, S.; Poyer, F.; Georg, J.; Becker, A.; Gordon, K.; Groll, A.H. Incidence and Outcome of Invasive Fungal Diseases in Children with Hematological Malignancies and/or Allogeneic Hematopoietic Stem Cell Transplantation: Results of a Prospective Multicenter Study. Front. Microbiol. 2019, 10, 681. [Google Scholar] [CrossRef]
- Fisher, B.T.; Robinson, P.D.; Lehrnbecher, T.; Steinbach, W.J.; Zaoutis, T.E.; Phillips, B.; Sung, L. Risk Factors for Invasive Fungal Disease in Pediatric Cancer and Hematopoietic Stem Cell Transplantation: A Systematic Review. J. Pediatr. Infect. Dis. Soc. 2018, 7, 191–198. [Google Scholar] [CrossRef]
- Santolaya, M.E.; Alvarez, A.M.; Acuña, M.; Avilés, C.L.; Salgado, C.; Tordecilla, J.; Torres, J.P. Efficacy of pre-emptive versus empirical antifungal therapy in children with cancer and high-risk febrile neutropenia: A randomized clinical trial. J. Antimicrob. Chemother. 2018, 73, 2860–2866. [Google Scholar] [CrossRef]
- Ruijters, V.J.; Oosterom, N.; Wolfs, T.F.; van den Heuvel-Eibrink, M.M.; van Grotel, M. Frequency and Determinants of Invasive Fungal Infections in Children With Solid and Hematologic Malignancies in a Nonallogeneic Stem Cell Transplantation Setting: A Narrative Review. J. Pediatr. Hematol. Oncol. 2019, 41, 345–354. [Google Scholar] [CrossRef]
- Kobayashi, R.; Hori, D.; Sano, H.; Suzuki, D.; Kishimoto, K.; Kobayashi, K. Risk Factors for Invasive Fungal Infection in Children and Adolescents With Hematologic and Malignant Diseases: A 10-year Analysis in a Single Institute in Japan. Pediatr. Infect. Dis. J. 2018, 37, 1282–1285. [Google Scholar] [CrossRef]
- King, J.; Pana, Z.D.; Lehrnbecher, T.; Steinbach, W.J.; Warris, A. Recognition and Clinical Presentation of Invasive Fungal Disease in Neonates and Children. J. Pediatr. Infect. Dis. Soc. 2017, 6, S12–S21. [Google Scholar] [CrossRef] [PubMed]
- Van Rhijn, N.; White, P.L. Antifungal treatment strategies and their impact on resistance development in clinical settings. J. Antimicrob. Chemother. 2025, 80, 3208–3226. [Google Scholar] [CrossRef]
- Gutiérrez, V.; Contardo, V.; Maza, V.D.L.; Claverie, X.; Salgado, C.; Zubieta, M.; Santolaya, M.E. Enfermedad Fúngica Invasora: Experiencia en centros PINDA 2016-2020. Chile. Rev. Chil. Infectol. 2023, 40, 360–369. [Google Scholar] [CrossRef]
- Barraza, M.; Valenzuela, R.; Villarroel, M.; de la Maza, V.; Contardo, V.; Álvarez, A.M.; Santolaya, M.E. Epidemiological changes of invasive fungal disease in children with cancer: Prospective study of the National Child Program of Antineoplastic Drugs network, Chile. Mycoses 2024, 67, e13780. [Google Scholar] [CrossRef]
- Yeoh, D.K.; Blyth, C.C.; Clark, J.E.; Abbotsford, J.; Corrente, C.; Cook, S.; Haeusler, G.M. Invasive fungal disease and antifungal prophylaxis in children with acute leukaemia: A multicentre retrospective Australian cohort study. Lancet Reg. Health West Pac 2024, 52, 101201. [Google Scholar] [CrossRef]
- Jenks, J.D.; Cornely, O.A.; Chen, S.C.A.; Thompson, G.R., 3rd; Hoenigl, M. Breakthrough invasive fungal infections: Who is at risk? Mycoses 2020, 63, 1021–1032. [Google Scholar] [CrossRef]
- Boutin, C.A.; Durocher, F.; Beauchemin, S.; Ziegler, D.; Abou Chakra, C.N.; Dufresne, S.F. Breakthrough Invasive Fungal Infections in Patients With High-Risk Hematological Disorders Receiving Voriconazole and Posaconazole Prophylaxis: A Systematic Review. Clin. Infect. Dis. 2024, 79, 151–160. [Google Scholar] [CrossRef]
- Kanda, Y.; Kimura, S.I.; Iino, M.; Fukuda, T.; Sakaida, E.; Oyake, T. Japan Febrile Neutropenia Study Group. D-Index-Guided Early Antifungal Therapy Versus Empiric Antifungal Therapy for Persistent Febrile Neutropenia: A Randomized Controlled Noninferiority Trial. J. Clin. Oncol. 2020, 38, 815–822. [Google Scholar] [CrossRef]
- Wang, L.; Wang, Y.; Hu, J.; Sun, Y.; Huang, H.; Chen, J.; Huang, X. Clinical risk score for invasive fungal diseases in patients with hematological malignancies undergoing chemotherapy: China Assessment of Antifungal Therapy in Hematological Diseases (CAESAR) study. Front. Med. 2019, 13, 365–377. [Google Scholar] [CrossRef]
- Alali, M.; Giurcanu, M.; Elmuti, L.; Kumar, M. Pediatric Invasive Fungal Risk Score in Cancer and Hematopoietic Stem Cell Transplantation Patients With Febrile Neutropenia. J. Pediatr. Hematol. Oncol. 2021, 44, e334–e342. [Google Scholar] [CrossRef]
- Portugal, R.D.; Garnica, M.; Nucci, M. Index to predict invasive mold infection in high-risk neutropenic patients based on the area over the neutrophil curve. J. Clin. Oncol. 2009, 27, 3849–3854. [Google Scholar] [CrossRef]
- Donnelly, J.P.; Chen, S.C.; Kauffman, C.A.; Steinbach, W.J.; Baddley, J.W.; Verweij, P.E.; Pappas, P.G. Revision and Update of the Consensus Definitions of Invasive Fungal Disease from the European Organization for Research and Treatment of Cancer and the Mycoses Study Group Education and Research Consortium. Clin. Infect. Dis. 2020, 71, 1367–1376. [Google Scholar] [CrossRef]
- Monsereenusorn, C.; Sricharoen, T.; Rujkijyanont, P.; Suwanpakdee, D.; Photia, A.; Lertvivatpong, N.; Traivaree, C. Clinical Characteristics and Predictive Factors of Invasive Fungal Disease in Pediatric Oncology Patients with Febrile Neutropenia in a Country with Limited Resources. Pediatr. Health Med. Ther. 2021, 12, 335–345. [Google Scholar] [CrossRef]
- Moraitaki, E.; Kyriakidis, I.; Pelagiadis, I.; Katzilakis, N.; Stratigaki, M.; Chamilos, G.; Stiakaki, E. Epidemiology of Invasive Fungal Diseases: A 10-Year Experience in a Tertiary Pediatric Hematology–Oncology Department in Greece. J. Fungi 2024, 10, 498. [Google Scholar] [CrossRef]
- Gal Etzioni, T.R.; Fainshtain, N.; Nitzan-Luques, A.; Goldstein, G.; Weinreb, S.; Temper, V.; Averbuch, D. Invasive Fungal Infections in Children with Acute Leukemia: Epidemiology, Risk Factors, and Outcome. Microorganisms 2024, 12, 145. [Google Scholar] [CrossRef]
- Al Hajri, H.; Al-Salmi, W.; Al Hinai, K.; Al-Housni, S.; Al-Harrasi, A.; Al Hashami, H.; Al-Hatmi, A.M. Invasive Fungal Infect. Child. Leuk. A Tert. Hosp. Oman: Eight-Year review. Curr. Med. Mycol. 2023, 9, 16–22. [Google Scholar] [CrossRef]
- Roumani, A.M.; Benmouffok, N. Risk Factors for Invasive Fungal Disease in Pediatric Oncology. Int. J. Clin. Res. 2022, 3, 167–172. [Google Scholar] [CrossRef]
- Sezgin Evim, M.; Tüfekçi, Ö.; Baytan, B.; Ören, H.; Çelebi, S.; Ener, B.; Meral Güneş, A. Invasive Fungal Infections in Children with Leukemia: Clinical Features and Prognosis. Turk. J. Hematol. 2022, 39, 94–102. [Google Scholar] [CrossRef]
- Kobayashi, R.; Kaneda, M.; Sato, T.; Ichikawa, M.; Suzuki, D.; Ariga, T. The clinical feature of invasive fungal infection in pediatric patients with hematologic and malignant diseases: A 10-year analysis at a single institution at Japan. J. Pediatr. Hematol. Oncol. 2008, 30, 886–890. [Google Scholar] [CrossRef]
- Lin, G.L.; Chang, H.H.; Lu, C.Y.; Chen, C.M.; Lu, M.Y.; Lee, P.I.; Chang, L.Y. Clinical characteristics and outcome of invasive fungal infections in pediatric acute myeloid leukemia patients in a medical center in Taiwan. J. Microbiol. Immunol. Infect. 2018, 51, 251–259. [Google Scholar] [CrossRef]
- Lien, M.; Chou, C.; Lin, C.; Bai, L.; Chiu, C.; Yeh, S.; Ho, M. Epidemiology and risk factors for invasive fungal infections during induction chemotherapy for newly diagnosed acute myeloid leukemia: A retrospective cohort study. PLoS ONE 2018, 13, e0197851. [Google Scholar] [CrossRef]
- Cesaro, S.; Tridello, G.; Castagnola, E.; Calore, E.; Carraro, F.; Mariotti, I.; Caselli, D. Retrospective study on the incidence and outcome of proven and probable invasive fungal infections in high-risk pediatric onco-hematological patients. Eur. J. Haematol. 2017, 99, 240–248. [Google Scholar] [CrossRef]



| Variable (Median; IQR) (N; %) | IFD (N = 34) | No IFD (N = 140) | Total (N = 174) | p-Value |
|---|---|---|---|---|
| Demographic | ||||
| Age; years | 9.4 (5–13) | 6 (3.1–10.2) | 7.0 (3–13) | 0.0200 * |
| Male sex | 23 (67.7) | 68 (48.6) | 91 (52.3) | 0.0550 |
| Age range | 0.0540 ** | |||
| Infant | 4 (11.8) | 25 (17.9) | 29 (16.7) | Ref |
| Pre-school | 7 (20.6) | 51 (36.4) | 58 (33.3) | 0.8196 |
| School | 7 (20.6) | 30 (21.4) | 37 (21.3) | 0.5805 |
| Adolescent | 16 (47.0) | 34 (24.3) | 50 (28.7) | 0.0810 |
| Type of cancer | 0.5868 | |||
| Hematologic malignancies | 28 (82.4) | 121 (86.4) | 149 (85.6) | |
| Solid tumors | 6 (17.6) | 19 (13.6) | 25 (14.4) | |
| Use of CVC | 32 (94.1) | 126 (91.3) | 158 (91.9) | 0.7390 |
| Previous IFD | 2 (5.9) | 5 (3.6) | 7 (4.0) | 0.7390 |
| Bacterial co-infection | 29 (85.3) | 99 (70.7) | 128 (73.6) | 0.1270 |
| CRP ≥ 90 mg/L | 23 (67.6) | 55 (39.3) | 78 (44.8) | 0.0052 * |
| Hypotension | 6 (17.6) | 8 (5.7) | 21 (12.1) | 0.0331 * |
| Sepsis | 9 (26.5) | 14 (10) | 23 (13.2) | 0.0205 * |
| PICU admission | 22(64.7) | 25 (17.9) | 47(27.0) | 0.0001 * |
| Age (Years)/Gender | Type of Cancer | Clinical Focus and Imaging | Mycological Evidence | Outcome |
|---|---|---|---|---|
| Proven IFD | ||||
| 13M | Solid tumor | Renal; CT scan | UC (+) C. albicans | Alive |
| 4M | Lymphoma | Renal; CT scan | UC (+) C. albicans | Alive |
| 0.8F | AML | Candidemia | BC (+) C. parapsilosis | Dead |
| 6M | ALL relapse | Spleen lesions; CT scan | UC (+) C. glabrata | Alive |
| 11F | ALL | Renal abscess, CT scan | Renal biopsy; C. lusitaniae | Alive |
| 3F | ALL | Candidemia | BC (+) C. parapsilosis | Alive |
| 1M | AML | Catheter infection | CVC (+) C. albicans | Alive |
| 8M | ALL | Candidemia | BC (+) C. tropicalis | Alive |
| 1M | AML | Catheter infection | CVC (+) C. parapsilosis | Alive |
| 9F | Solid tumor | Candidemia | BC (+) C. parapsilosis | Alive |
| 8M | AML | Hepatosplenic; CT scan | UC (+) C. albicans | Alive |
| 13F | Solid tumor | Esophagitis | Esophageal biopsy; C. dublinensis | Alive |
| 13M | ALL | Hepatosplenic; CT scan | UC (+) C. albicans | Alive |
| 2M | Solid tumor | Candidemia | BC (+) C. tropicalis | Alive |
| 0.9M | Solid tumor | Candidemia | BC (+) C. tropicalis | Alive |
| 14M | ALL | Fungemia | BC (+) Rhodotorula mucilaginosa | Alive |
| 14M | AML | Pneumonia; CT scan | Lung biopsy; Aspergillus sp. | Alive |
| 3M | Solid tumor | Pneumonia; CT scan | Serum GM (3.8); (+) PCR Aspergillus sp. | Alive |
| 12M | ALL | Pneumonia; CT scan | Lung biopsy; Aspergillus fumigatus | Alive |
| 14M | ALL relapse | Pneumonia; CT scan | Sinus biopsy; Aspergillus sp. | Alive |
| 13F | ALL | Fungal sinusitis | Sinus biopsy; Scedosporium sp., Serum GM (0.7) | Dead |
| Probable IFD | ||||
| 8M | AML | Fungal sinusitis | Sinus biopsy; thin septate hyphae | Alive |
| 13M | AML | Fungal sinusitis | Sinus biopsy; septate hyphae with 90-degree bifurcation | Alive |
| 18F | ALL relapse | Pneumonia; CT scan | BAL GM (2.1) | Alive |
| 9M | AML | Pneumonia; CT scan | Serum GM (0.6) | Alive |
| 4M | AML | Pneumonia; CT scan | Serum GM (0.7) | Alive |
| 17M | AML | Pneumonia; CT scan | Serum GM (1.5) | Alive |
| 9M | ALL | Pneumonia; CT scan | Serum GM (0.8) | Alive |
| 9F | ALL | Pneumonia; CT scan | Serum GM (0.6) | Alive |
| 14F | AML | Pneumonia; CT scan | Serum (1.9) and BAL (4.9) GM | Alive |
| 6M | ALL | Pneumonia; CT scan | BAL GM (4.1) | Alive |
| 11M | AML | Pneumonia; CT scan | Serum GM (1.1) | Alive |
| 12F | ALL | Pneumonia; CT scan | Serum (2.8) and BAL (6.5) GM (+) | Alive |
| 11F | ALL | Pneumonia; CT scan | Serum GM (0.8) | Dead |
| Variable | Input Model | Model 1 | Model 2 | |||
|---|---|---|---|---|---|---|
| Crude OR | 95% CI | Adjusted OR | 95% CI | Adjusted OR | 95% CI | |
| Male sex | 2.21 | 1.02–5.04 | 4.04 | 1.58–11.38 | 4.04 | 1.58–11.36 |
| Age range (ref Infant) | ||||||
| Adolescent | 2.94 | 0.94–11.23 | 4.65 | 1.20–21.87 | 4.74 | 1.21–22.61 |
| CRP ≥ 90 mg/L | 3.23 | 1.49–7.39 | 3.13 | 1.26–8.20 | 3.05 | 1.20–8.15 |
| Hypotension | 3.54 | 1.09–10.98 | ||||
| Sepsis | 3.24 | 1.23–8.25 | ||||
| PICU admission | 8.43 | 3.76–19.81 | 10.73 | 4.26–29.47 | 10.65 | 4.35–29.28 |
| Type of cancer (ref hematologic malignancy) | 1.36 | 0.46–3.57 | 1.18 | 0.32–3.97 | ||
Disclaimer/Publisher’s Note: The statements, opinions and data contained in all publications are solely those of the individual author(s) and contributor(s) and not of MDPI and/or the editor(s). MDPI and/or the editor(s) disclaim responsibility for any injury to people or property resulting from any ideas, methods, instructions or products referred to in the content. |
© 2026 by the authors. Licensee MDPI, Basel, Switzerland. This article is an open access article distributed under the terms and conditions of the Creative Commons Attribution (CC BY) license.
Share and Cite
Barraza, M.; Valenzuela, R.; Gutiérrez, V.; Greppi, C.; Álvarez, A.M.; Cerda, J.; Santolaya, M.E. Advancing the Identification of Risk Factors for Invasive Fungal Disease in Children with Cancer. J. Fungi 2026, 12, 60. https://doi.org/10.3390/jof12010060
Barraza M, Valenzuela R, Gutiérrez V, Greppi C, Álvarez AM, Cerda J, Santolaya ME. Advancing the Identification of Risk Factors for Invasive Fungal Disease in Children with Cancer. Journal of Fungi. 2026; 12(1):60. https://doi.org/10.3390/jof12010060
Chicago/Turabian StyleBarraza, Marlon, Romina Valenzuela, Valentina Gutiérrez, Claudia Greppi, Ana M. Álvarez, Jaime Cerda, and María Elena Santolaya. 2026. "Advancing the Identification of Risk Factors for Invasive Fungal Disease in Children with Cancer" Journal of Fungi 12, no. 1: 60. https://doi.org/10.3390/jof12010060
APA StyleBarraza, M., Valenzuela, R., Gutiérrez, V., Greppi, C., Álvarez, A. M., Cerda, J., & Santolaya, M. E. (2026). Advancing the Identification of Risk Factors for Invasive Fungal Disease in Children with Cancer. Journal of Fungi, 12(1), 60. https://doi.org/10.3390/jof12010060

