Next Article in Journal
Contrasting Patterns of Fungal and Bacterial Endophytes Inhabiting Temperate Tree Leaves in Response to Thinning
Next Article in Special Issue
The Cryptochrome CryA Regulates Lipid Droplet Accumulation, Conidiation, and Trap Formation via Responses to Light in Arthrobotrys oligospora
Previous Article in Journal / Special Issue
MaAzaR, a Zn2Cys6/Fungus-Specific Transcriptional Factor, Is Involved in Stress Tolerance and Conidiation Pattern Shift in Metarhizium acridum
 
 
Font Type:
Arial Georgia Verdana
Font Size:
Aa Aa Aa
Line Spacing:
Column Width:
Background:
Article

Two-Sex Life Table Analysis for Optimizing Beauveria bassiana Application against Spodoptera exigua (Hübner) (Lepidoptera: Noctuidae)

State Key Laboratory of Green Pesticide, “Belt and Road” Technology Industry and Innovation Institute for Green and Biological Control of Agricultural Pests, College of Plant Protection, South China Agricultural University, Guangzhou 510642, China
*
Authors to whom correspondence should be addressed.
These authors contributed equally to this work.
J. Fungi 2024, 10(7), 469; https://doi.org/10.3390/jof10070469
Submission received: 9 May 2024 / Revised: 1 July 2024 / Accepted: 2 July 2024 / Published: 4 July 2024
(This article belongs to the Collection Entomopathogenic and Nematophagous Fungi)

Abstract

Spodoptera exigua (Hübner) (Lepidoptera: Noctuidae) is a highly dispersive, polyphagous insect pest that severely defoliates crops. Excessive reliance on synthetic insecticides leads to ecological pollution and resistance development, urging scientists to probe eco-friendly biopesticides. Here, we explore the virulence of an entomopathogenic fungus, Beauveria bassiana, against S. exigua, resulting in 88% larval mortality. Using an age–stage, two-sex life table, we evaluated the lethal and sublethal effects of B. bassiana on the demographic parameters of S. exigua, including survival, development, and reproduction. Sublethal (LC20) and lethal concentrations (LC50) of B. bassiana impacted the parental generation (F0), with these effects further influencing the demographic parameters of the first filial generation (F1). The infected F1 offsprings showed a reduced intrinsic rate of increase (r), mean generation time (T), and net reproduction rate (R0). Larval developmental duration varied significantly between the control (10.98 d) and treated groups (LC20: 10.42; LC50: 9.37 d). Adults in the treated groups had significantly reduced lifespans (M: 8.22; F: 7.32 d) than the control (M: 10.00; F: 8.22 d). Reduced fecundity was observed in the B. bassiana-infected groups (LC20: 313.45; LC50: 223.92 eggs/female) compared to the control (359.55 eggs/female). A biochemical assay revealed elevated levels of detoxification enzymes (esterases, glutathione S-transferases, and acetylcholinesterase) in the F0 generation after B. bassiana infection. However, the enzymatic activity remained non-significant in the F1 generation likely due to the lack of direct fungal exposure. Our findings highlight the enduring effects of B. bassiana on the biological parameters and population dynamics of S. exigua, stressing its use in eco-friendly management programs.

1. Introduction

Life tables are powerful tools for studying arthropod population dynamics [1]. Traditional age-specific life tables that solely consider females [2] can misrepresent the life history traits [3]. However, recent advancements in age- and stage-specific life table methodologies highlight the importance of incorporating both age–stage and two-sex-based data. This integrated approach provides a more accurate representation of life history parameters for organisms with complex developmental stages, such as insects [4,5]. Age–stage, two-sex life table analysis employs a comprehensive (often daily) schedule to track survival rates for both male and female individuals across a life cycle. This method facilitates the estimation of crucial life history characteristics, including age-specific survival, fecundity, and generation time [6]. Notably, these parameters can be assessed in response to various environmental factors, such as constant or fluctuating temperatures, pesticide resistance, and insect–pathogen interactions for biological control [7,8,9].
The beet armyworm, Spodoptera exigua (Hübner) (Lepidoptera: Noctuidae), a widely distributed polyphagous agricultural insect pest, causes severe defoliation of fiber, food, and flower crops, leading to substantial economic damage [10,11]. While synthetic insecticides remain the primary methods of pest control, their imprudent use can trigger insecticide resistance, pose health hazards, and disrupt the ecological cycle [12,13]. Therefore, identifying eco-friendly and sustainable control agents remains a priority.
One promising option lies in the use of biocontrol agents, such as entomopathogenic fungi. These fungi encompass diverse genera that are capable of effectively infecting and killing insect pests, exhibiting considerable host specificity that minimizes harm to non-target organisms [14,15]. Furthermore, secondary metabolites produced by entomopathogenic fungi have shown high mortality and antifeedant properties against various insect pests [16,17]. Toxicity tests have shown the effectiveness of several entomopathogenic fungi against the S. exigua larvae [18]. The application of Beauveria bassiana (6 × 107 conidiospore/mL) efficiently suppressed the larval population of S. exigua across two seasons in sugar beet fields [19]. Similar effectiveness of entomopathogenic fungi has been reported in several lepidopteran pests, such as Spodoptera frugiperda [20], Plutella xylostella [21], and Helicoverpa armigera [22].
Insects have an array of specialized detoxification enzymes that participate in the defense against pathogenic toxins [23]. Acetylcholinesterase (AChE) plays a role in terminating neurotransmission by hydrolyzing acetylcholine at synapses, making it a target for many insecticides [24]. Glutathione S-transferases (GSTs) play a crucial role in detoxifying cells and defending against oxidative stress by linking reduced glutathione to electrophilic sites in various natural and synthetic compounds, such as insecticides, allelochemicals, and endogenously activated substances [25]. Esterases (ESTs) play a vital role in insects, catalyzing the breakdown of esters derived from higher fatty acids, which affect flight, as well as degrading metabolic and xenobiotic esters, including insecticides [26]. Changes in enzymatic activities underlie both insecticide resistance and the degradation of secondary toxins produced by entomopathogenic fungi, thereby protecting insects during fungal infection [23,27]. This resistance mechanism stresses the evolutionary adaptations of insects to microbial pathogens, challenging pest control efforts. Understanding the biochemistry of these enzymes is necessary for developing effective pest management strategies.
Continuous monitoring and adaptive strategies are crucial to mitigate resistance and maintain effective pest management practices. An in-depth understanding of the pest demography in relation to entomopathogenic fungi is necessary to formulate effective control strategies. This information leads us toward the identification of optimal stages for the application of biocontrol agents [28,29,30]. Here, we investigate the pathogenicity of three entomopathogenic fungi: Metarhizium anisopliae, B. bassiana, and Isaria fumosorosea against S. exigua. Although all larval stages are damaging, we selected the third instar for life table analysis due to its reported fungal susceptibility, ability to continue feeding on foliage, and tendency to disperse toward fruit [19,31]. Furthermore, transgenerational and enzymatic effects were also evaluated to identify the most effective time and stage for applying the chosen entomopathogenic fungus to the control S. exigua populations. By understanding demographic parameters and potential resistance, this research aims to update the development of sustainable pest management strategies.

2. Materials and Methods

2.1. Insect and Pathogenic Fungi

S. exigua was obtained from the College of Agriculture, South China Agricultural University, China, and kept in an insecticide-free environment. Larvae were reared on an artificial diet as described previously [32]. Emerging adult insects were allowed to mate in a plastic container provided with a 10% honey solution. Eggs were collected and incubated at 25 ± 2 °C, with a 14:10 light–dark cycle, and 65 ± 5% relative humidity (RH).
Three entomopathogenic fungi (M. anisopliae, B. bassiana, and I. fumosorosea) were grown on potato dextrose agar (PDA) for two weeks and kept in total darkness at 25 ± 1 °C and 75–80% RH. Isolates were passaged multiple times to prevent aging [33]. Conidia were harvested into a 0.05% Tween-80 (Sigma Aldrich P1754, St. Louis, MO, USA) solution, and desired concentrations were prepared.

2.2. Bioassays

Five concentrations (3 × 104, 3 × 105, 3 × 106, 3 × 107, and 3 × 108 conidia/mL) for each fungus were tested against 3rd instar larvae, while 0.05% aqueous Tween-80 and distilled water alone were used as controls. To ensure assay effectiveness, germination tests were conducted by following previously described methods. Fungal suspensions were plated onto PDA plates and incubated in complete darkness at 25 °C ± 2 °C for 18 h [34]. Conidium was considered germinated when its germ tube reached a length at least twice the diameter of the conidium itself [35]. Moreover, 40 larvae (10/replicate × 4 replicates/assay) were exposed to each concentration by direct spraying using a fine aerosol sprayer and kept in sterilized containers containing an artificial diet. Mortality data were recorded every 24 h for 7 days and larvae with no movement were considered dead. Fungal pathogenicity was confirmed by placing the dead carcasses in a humid chamber to observe conidial growth. All mortality data were corrected via the Abbott formula. Lethal (LC50) and sublethal (LC20) concentrations were calculated and experimentally validated. The fungus with the highest mortality and least LC50 was selected for subsequent studies.

2.3. Effects of B. bassiana on Parental Generation (F0)

The 3rd instar larvae (10/replicate × 4 replicates/assay) were exposed to LC20 and LC50 concentrations of B. bassiana, with aqueous Tween-80 serving as the control. Larval mortality, percent pupation, percent emergence, male/female longevity, and fecundity were evaluated.

2.4. Transgenerational Effects of B. bassiana on the First Filial Generation (F1)

B. bassiana-infected (LC20 and LC50) and control group eggs (n = 100) were randomly selected and examined for transgenerational effects. Developmental changes from larvae through pupae to adult emergence were recorded. The emerged adults were counted, paired into opposite sexes, and transferred to cages (1 pair/cage) for data regarding fecundity and survival.

2.5. Enzymatic Assays

Detoxification enzyme activity was evaluated following the previously described methods [36]. Briefly, S. exigua larvae (n = 5) from F0 and F1 generations were sampled from B. bassiana (LC20 and LC50)-treated and control groups. Samples were homogenized in a 1.5 mL Eppendorf tube with 400 μL of 0.15 M NaCl and subsequently centrifuged. Supernatants were analyzed for AChE, GST, and EST activities [37], with protein concentrations determined using the Bradford method. [38]

2.5.1. AChE

AChE activity was measured by following the previously described methods [39]. Briefly, 15 μL of supernatant was incubated with acetylthiocholine iodide (substrate) in a reaction mixture containing 10 mM DTNB (5,5′-dithiobis-2-nitrobenzoic acid) and 100 mM sodium phosphate buffer (pH = 7.5). Differences in absorbance were measured at a 412 nm wavelength [40].

2.5.2. EST

EST levels were determined by using p-nitrophenyl acetate (pNPA) and 50 mM phosphate buffer (pH 7.4) as substrate. Absorbance activity was recorded for 4 min at a 405 nm wavelength [37].

2.5.3. GST

GST activity was evaluated by following the previously described methods [41]. Briefly, supernatant from the respective sample, 5 mM glutathione reductase (GR), and 1 mM CDNB (1-chloro-2,4-dinitrobenzene) were mixed with 0.1 M Tris buffer [42]. Absorbance levels were recorded for 4 min at 340 nm wavelengths.

2.6. Statistical Analysis

LC20 and LC50 were calculated using POLO-PC (version 2.0) software [43]. Mortality data underwent one-way ANOVA analysis, with means distinguished by Tukey’s HSD test in Minitab (version 16) software at a 5% significance level. Enzymatic activity was analyzed using ANOVA and means were separated by Tukey’s HSD test. Development, fecundity, and longevity were analyzed using the age–stage, two-sex life table (TWO-SEX MS Chart) [4,5,44]. The bootstrap technique (n = 100,000) [45] was used for the mean and standard error of life table parameters [4,5,44].
R0 (net reproductive rate) is the total offspring produced by an adult throughout its lifetime.
R 0 = x = 0 l x m x
lx indicates the survival likelihood to age x for a newly laid egg.
l x = j = 1 k s x j
mx is the mean fecundity of individuals at age x and can be obtained from the following equation:
m x = j = 1 k s x j f x j j = 1 k s x j
The intrinsic rate of increase (r) was assessed using the iterative bisection method and adjusted with the age-indexed Euler–Lotka equation [46]:
x = 0 e r x + 1 l x m x = 1
The finite rate was calculated using the following equation:
λ = e r
The mean generational time (T) indicates the duration for a population to increase R0-fold at the stable age–stage distribution:
T = ( l n R 0 ) r
exj signifies that the expected lifespan of an individual at age (x) and stage (j) was calculated from the following equation [47]:
e x j = i = x y = j β S i y
The age–stage reproductive value (vxj) (role of individuals of age x and stage j to the population) was calculated as follows [48,49]:
V x j = e r x + 1 s x j i = x e r i + 1 y = j k S i y f i y

3. Results

3.1. Larvicidal Assay and Fungus Selection

Five different concentrations (3 × 104, 3 × 105, 3 × 106, 3 × 107, and 3 × 108 conidia/mL) were tested against S. exigua. The highest mortality was recorded at the concentration of 3 × 108 conidia/mL of all three fungi compared to the control. Among these, B. bassiana showed the highest larvicidal activity (88%), followed by M. anisopliae (69.5%) and I. fumosorosea (69%) (F = 67, df = 6, p = 0.002) compared to the control groups (Figure 1). The calculated LC50 values are shown in Table 1. B. bassiana exhibited the lowest LC50 value with the highest larval mortality, and was subsequently selected for life table studies. Furthermore, the LC50 (2.5 × 103 conidia/mL) and LC20 (3.1 × 102 conidia/mL) values of B. bassiana were experimentally validated (Supplementary Figure S1).

3.2. Effects of Lethal (LC50) and Sublethal (LC20) Concentrations of B. bassiana on F0

Concentration-dependent results were observed after treating LC20 and LC50 concentrations of B. bassiana on the F0 generation, with larval mortality percentages of 21.92% and 52.33%, respectively. Significant differences in percent pupation were observed in B. bassiana-treated groups (47.67% in LC50 and 78.01% in LC20) and control groups (98.80%). Similarly, the maximum percentage of emergence was recorded in the control group (96.55%) compared to the treated groups (42.4% in LC50 and 69.11% in LC20). Maximum male longevity of 10.22 days was observed in the control group, which was significantly reduced to 9.71 and 7.11 days in the LC20 and LC50 treated groups, respectively. Similarly, adult females in the control group had longer lifespans (9.0 ± 0.22 days) compared to those in the treated groups (LC50: 6.22 ± 0.23; LC20: 8.22 ± 1.54 days) (p < 0.05). In addition, reduced fecundity (eggs/female) was observed in the treated females at LC50 (273 ± 6.22) and LC20 (380.18 ± 7.21) compared to the control (450.11 ± 7.11) (F: 84, df: 2, p < 0.05) (Table 2). Together, these findings illustrate that B. bassiana not only causes larval mortality but also disrupts developmental stages, reduces adult longevity, and impairs reproductive capacity in S. exigua, thereby influencing both the population dynamics and life history traits.

3.3. Effects of Lethal (LC50) and Sublethal (LC20) Concentrations of B. bassiana on F1

3.3.1. Biological Parameters

Transgenerational effects of B. bassiana (LC20 and LC50) on S. exigua are presented in Table 3. Eggs from treated females hatched earlier (LC20: 1.94 ± 0.24; LC50: 1.90 ± 0.30 days) compared to those in the control (2.00 ± 0.00 days). Total larval developmental time (L1–L5) differed significantly between the control (10.98 ± 0.08 days) and treated groups (LC20: 10.42 ± 0.04; for LC50: 9.37 ± 0.14 days). The pupal duration was also affected by the treatment: 5.98 ± 0.84 days (LC20) and 7.27 ± 1.70 days (LC50) compared to 6.58 ± 0.31 days in the control group. Male adults in the treated groups had significantly shorter lifespans (LC20: 9.65 ± 0.98; LC50: 8.22 ± 2.41 days) than controls (10.00 ± 1.35 days). A similar trend was observed in female longevity (control: 8.22 ± 0.43 days; LC20: 8.00 ± 0.05; LC50: 7.32 ± 1.65 days). Additionally, fungus-treated females laid significantly fewer eggs during their lifespan (LC20: 313.45 ± 4.33; LC50: 223.92 ± 4.31 eggs/female) compared to the control group (359.55 ± 7.87 eggs/female) (F: 97, p < 0.001). These findings highlight the transgenerational effects of B. bassiana on S. exigua, demonstrating accelerated development, altered metamorphosis, shortened adult lifespan, and reduced fecundity.

3.3.2. Population Parameters

Transgenerational effects of B. bassiana (LC20 and LC50) on population parameters of S. exigua are presented in Table 4. The control group exhibited a higher intrinsic rate of increase (r) (0.2127 ± 0.006) compared to LC20 (0.2129 ± 0.003) and LC50 (0.2048 ± 0.001). The net reproduction rate (R0) (offspring/individual) was highest in the control group (143.82 ± 12.11) and decreased in the B. bassiana-treated groups (LC20: 125.38 ± 7.11; LC50: 107.48 ± 6.21) groups. The mean generation time (T) was the highest in the control (24.25 days) with substantial reduction (p < 0.05) observed in LC20 (22.7 days) and LC50 (20.99 days)-treated groups. Lastly, a significant difference (per day) was observed in the mean finite rate of increase (λ) between the control (1.278 ± 0.02) and LC50-treated (1.217 ± 0.05) groups (F: 91, p < 0.03). These results highlight the transgenerational effects of B. bassiana on S. exigua population dynamics, revealing not only reduced reproductive capacity and accelerated generation turnover but also diminished intrinsic growth potential.
The age-specific life expectancy (ex), fecundity (mx), reproductive value (vx), and survival rate (lx) are plotted in Figure 2. The age-specific life expectancy (ex) approximates the longevity of an individual of age x. The results showed that the longevity of S. exigua in the LC50-treated individual at age zero (e0) was lower compared to those in the control group (Figure 2A). The curve of age-specific fecundity (mx) demonstrated that reproduction began at different ages in different groups (control/treated), with a significantly lower number of eggs recorded in the B. bassiana-infected group (Figure 2B). The age-specific reproductive value (vₓ) computes the expected future reproductive contribution of an individual at a specific age (x) to the population. When the reproduction commenced, consistent reproductive values were observed between the control and B. bassiana-treated groups. However, over time, i.e., on the 21st day, the difference became noticeable, with the value of vₓ peaking at a maximum in the control group (89.10 days) and remaining lower in the LC50 group (50.88 days). This trend continued throughout the remaining days as shown in Figure 2C. At early stages, the survival rate (lx) curve between the control and treated groups remained non-significant; however, with time, i.e., at 25 days, the survival rate of insects in the LC50 group reduced significantly as shown in Figure 2D.
The cohort-specific egg-to-adult survival rates (sxj) were significantly reduced in B. bassiana-infected groups compared to the control group (Figure 3). The sxj values for adult females and males in the LC50 treated group were 0.29 and 0.50, respectively, compared to 0.37 and 0.53 in the control group, indicating a significant effect of B. bassiana (Figure 3A–C). The age–stage, two-sex life table also estimated the expected lifespans of different stages in the population (Figure 4). Our analysis of the life expectancy of S. exigua across different life stages (exj) revealed a higher survival probability of the first larval instar (L1) in the control group than in LC50-treated groups. Additionally, the control group exhibited a longer lifespan compared to the treated groups (Figure 4A–C).
The age–stage reproductive value (vxj) for females was significantly lower in the LC20- and LC50-treated groups than in the control (Figure 5). Peak reproduction occurred at 13–17 days in the control (Figure 5A), whereas maximum reproduction rates in the LC20 and LC50 groups were observed at 13–15 and 14–16 days, respectively (Figure 5B,C). In addition, the LC20 and LC50-treated groups exhibited reduced fecundity, demonstrating the impact of B. bassiana on the population dynamics (Figure 6).

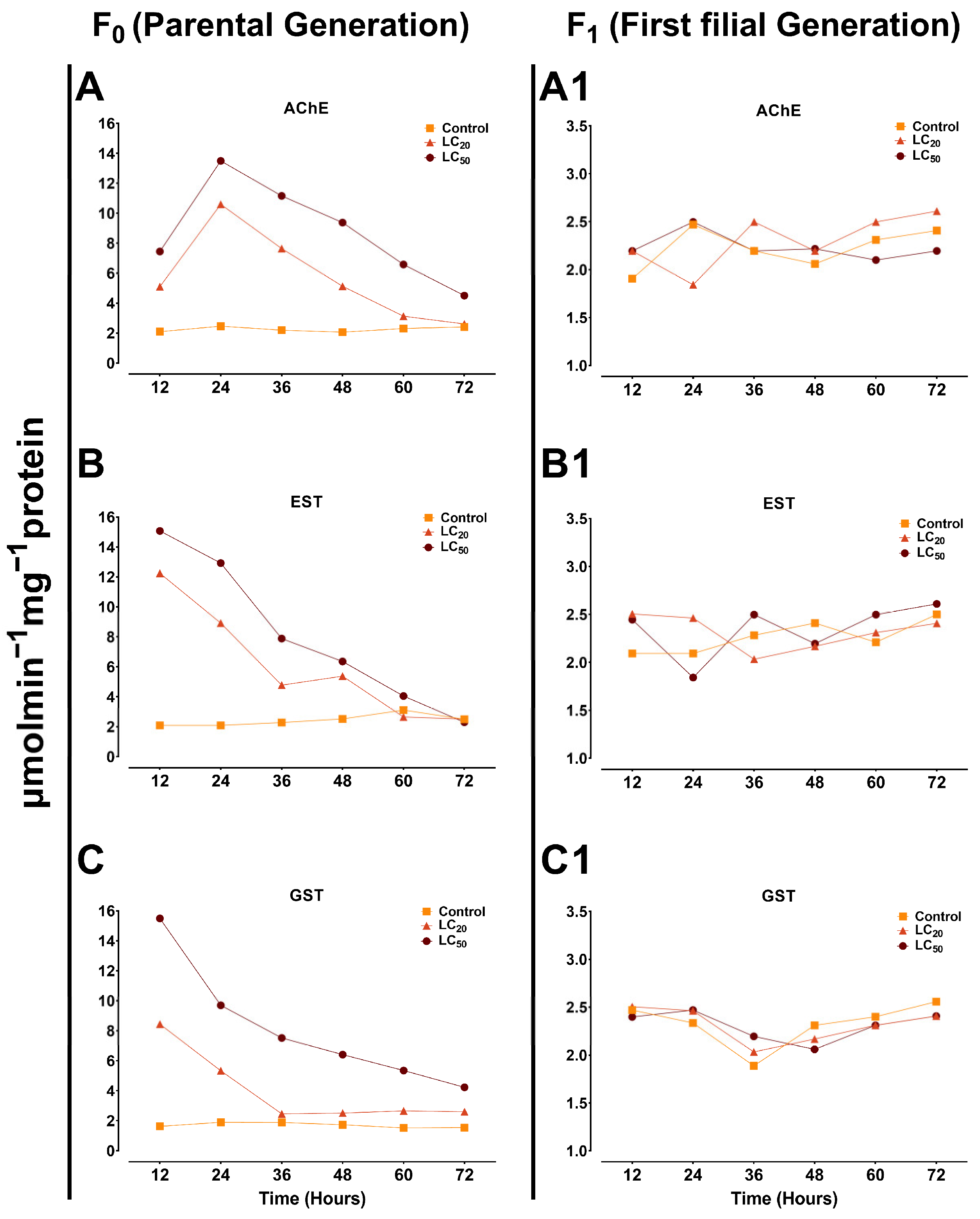
3.4. Detoxification Enzyme Activity in S. exigua following B. bassiana Infection (F0 and F1)

AChE, EST, and GST enzymes play crucial roles in the detoxification of xenobiotics in insects, influencing their response to intoxication and potentially contributing to resistance development [23,27]. Figure 7 shows the detoxification enzyme activity in F0 and F1 generations of S. exigua in response to B. bassiana (LC20 and LC50) infection.

3.4.1. AChE

In F0 generation, the maximum AChE activity was observed at 24 h in both LC50 (13.49 μmol/min/mg protein) and LC20 (10.59 μmol/min/mg protein)-treated groups compared to the control (2.4 μmol/min/mg protein), which gradually decreased as time progressed (Figure 7A). F1 generation exhibited similar trends (non-significant) in the control and B. bassiana (LC20 and LC50)-treated groups (Figure 7A1).

3.4.2. EST

Maximum EST activity in F0 generation was observed at 12 h post-treatment, with the LC50 (15.07 μmol/min/mg protein)-treated group exhibiting the highest activity followed by LC20 (12.24 μmol/min/mg protein) compared to the control (2.09 μmol/min/mg protein) (Figure 7B). Similar to the AChE enzyme, the EST showed non-significant trends in F1 generation (Figure 7B1).

3.4.3. GST

The peak GST activity was observed at 12 h post-treatment in F0 generation, with higher activity detected in the LC50 (15.5 μmol/min/mg protein) and LC20 (8.43 μmol/min/mg protein)-treated groups compared to the untreated control (1.62 μmol/min/mg protein). A noticeable decrease was observed at 36–72 h post-treatment (Figure 7C). However, no significant differences in GST activity were observed in the F1 generation (Figure 7C1).
The stable activity of detoxification enzymes in the F1 generation could be attributed to the lack of exposure to harmful fungal compounds. However, further studies are required to elucidate the exact mechanisms behind this observation

4. Discussion

B. bassiana is a potent biocontrol agent, capable of controlling several susceptible and resistant/multi-resistant insect pests [50], including S. exigua [19]. Here, we investigate the virulence of B. bassiana against S. exigua and its impact on fitness parameters across the F0 and F1 generations using age–stage, two-sex life table analysis. This knowledge can be valuable for developing integrated pest management (IPM) programs by potentially reducing the lethal time and increasing S. exigua mortality.
Three entomopathogenic fungi viz. M. anisopliae, B. bassiana, and I. fumosorosea, were evaluated for their effectiveness against the 3rd instar larvae of S. exigua. Among them, M. anisopliae and B. bassiana exhibited high pathogenicity with LC50 values recorded at 3.2 × 104 and 2.5 × 103 conidia/mL, respectively. Several studies have examined their potential application as biocontrol agents. Han et al. examined the susceptibility of 2nd instar larvae of S. exigua to M. anisopliae (FT83) and reported 100% cumulative mortality after treatment with 1 × 107 conidia/mL [51]. Similarly, various isolates of B. bassiana proved to be highly effective against S. exigua [52]. Studies have explored the virulence of these fungi in other lepidopterans. Kirubakaran et al. reported that virulent strains of B. bassiana (MTCC7690) and M. anisopliae (MTCC4104) had LC50 values of 9.09 × 104 and 6.08 × 105 conidia/mL, respectively, against the rice leaf-folder Cnaphalocrocis medinalis (Lepidoptera: Pyralidae) [53]. Similarly, B. bassiana exhibited an LC50 of 9.3 × 105 conidia/mL against P. xylostella (Lepidoptera: Plutellidae) [21] and 1.3 × 104 conidia/mL against H. armigera (Lepidoptera: Noctuidae) [54]. The variation in virulence is likely due to the diversification in physiological characteristics of fungal strains, host susceptibility, and experimental conditions [55]. Owing to the lowest LC50 and high larvicidal activity, B. bassiana was selected for subsequent biochemical and life table analyses.
B. bassiana infection disturbed the fitness parameters of S. exigua. In the F0 generation, concentration-dependent results were observed after being treated with LC20 and LC50 of B. bassiana with reported larval mortality rates of 21.92% and 52.33%, respectively. In addition to lethal effects, decreases in percent emergence, adult longevity, and fecundity were also reported as potential effects of B. bassiana infection. Studies have documented similar fitness costs associated with entomopathogenic fungi [56]. Consistent with our findings, sublethal exposure to B. bassiana significantly impaired the development and reproductive capacity of various insect pests, including Nilaparvata lugens [57], Eurygaster integriceps [58], Sogatella furcifera [59], and H. armigera [60]. These sublethal effects are potentially linked to entomopathogenic fungi-mediated nutritional deficiency [61]. Upon penetrating the insect host, fungal pathogens not only release secondary toxins but also absorb essential sugars from tracheoles, weakening the insects and ultimately impacting their biology and population dynamics [62,63].
The negative effects of B. bassiana on S. exigua extended beyond the directly exposed generation. In the F1 generation, declines in pre-adult duration, adult longevity, and female fecundity were observed, consistent with the findings reported for B. bassiana infection in Cyclocephala lurida [64] and M. anisopliae infection in H. armigera [65]. Notably, prolonged pupal duration was observed in the LC50 (7.27 days)-treated group compared to the control (6.58); similar to our study, the extended pupal period was reported in B. bassiana-exposed H. armigera [56,60]. We theorize that the fungal infection imposes physiological and ecological costs on the developing organism, resulting in nutritionally deficient eggs and potentially leading to the continuation of sublethal effects into the F1 generation [57,66]. Moreover, the values of the intrinsic rate of increase (r), net reproduction rate (R0), mean length of generation (T), and finite rate of increase (λ) showed significant reduction in response to lethal and sublethal treatments of B. bassiana. Supporting our findings, studies have shown reduced λ and R0 but prolonged T values in the M. anisopliae-infected tomato leaf miner, Tuta absoluta (Lepidoptera: Gelechiidae) [67]. Similarly, lethal and sublethal treatments of B. bassiana had detrimental effects on the life-history parameters of Bactericera cockerelli in the F0 and F1 generations [68]. The reduced r, R0, and λ values in treatment groups relative to the control indicate the potential impacts of B. bassiana infection on the population growth rate and generation. Notably, r is considered a particularly sensitive measure of insect response to stressors, as it directly reflects the population’s growth potential [69,70].
Cohort-specific (egg-to-adult) biological parameters (exj, sxj, and vxj) are vital indicators for assessing the fitness of the insect population. Similar to our findings, the overlapping age–stage survival rate (sxj) curves between control and treated groups in M. anisopliae-infected Oxycarenus hyalinipennis were reported [71]. In addition, developmental timings were also affected by fungal infection. Similar trends were also reported in B. bassiana-infected Aedes albopictus [29], supporting our findings.
AChE, EST, and GST are important physiological metabolic detoxification enzymes that help insects cleanse and resist harmful intoxicants [72]. Our results indicated that the detoxification enzyme activity was significantly elevated in response to B. bassiana infection compared to the control. Significant increases in the levels of EST and GST activities in Dendrolimus tabulaeformis (Lepidoptera: Lasiocampidae) larvae were closely related to the concentration of conidia and the metabolites of Beauveria brongniartii [73], potentially due to the larvae reacting to conidial infection and fungal toxins by relieving oxidative stress. Likewise, in Diaphorina citri, higher levels of GST and EST were reported in response to I. fumosorosea and B. bassiana infections [37], indicating the activation of the antifungal immune response. Exposure to B. bassiana and its secondary metabolites has been linked to changes in the activity of AChE in the Sunn pest, E. integriceps [74]. A significant increase in AChE activity was observed in the hemolymph of H. armigera in response to B. bassiana infection [75]. These alterations in AChE activity can be attributed to the production of the secondary metabolite bassianolide by the Beauveria spp. Bassianolide, a cyclooligomer depsipeptide, has been detected in the cadavers of silkworm larvae infected with B. bassiana [76], demonstrating that its production coincides with infection. Bassianolide can inhibit the acetylcholine receptors of insect muscles, reducing the production of AChE [77]. Furthermore, secondary toxins produced by entomopathogenic fungi are known to induce host cell apoptosis via an increase in oxidative stress and interference with hormonal and mitochondrial signaling while also affecting acetylcholine receptors [78]. However, the enzymatic activity remained non-significant in the F1 generation potentially due to the absence or lack of direct fungal exposure. These findings highlight the potential and practical implication of B. bassiana for the management of S. exigua by targeting the fitness parameters and improving the existing pest control strategies. However, additional research is required to explore the underlying molecular mechanisms.

5. Conclusions

In conclusion, our findings demonstrate the promising potential of B. bassiana as a pest control agent against S. exigua. The fungus caused significant mortality and, through the life table analysis, was shown to disrupt biological parameters and population dynamics, potentially by impairing detoxification mechanisms in the F0 generation. Notably, the harmful effects extended beyond the exposed generation, with reduced development time, adult lifespan, and female fecundity observed in the F1 generation. These results strongly suggest that B. bassiana warrants further investigation as a valuable tool for integrated pest management (IPM) programs.

Supplementary Materials

The following supporting information can be downloaded at https://www.mdpi.com/article/10.3390/jof10070469/s1, Figure S1: Experimental validation of lethal (LC50) and sublethal (LC20) concentrations of B. bassiana on S. exigua.

Author Contributions

Conceptualization, J.Z. and R.F.S.; methodology, J.Z.; software, R.F.S.; validation, J.Z., R.F.S., and Z.Z.; formal analysis, R.F.S. and D.F.; investigation, J.Z.; resources, X.X.; data curation, Z.Z. and D.F.; writing—original draft preparation, J.Z.; writing—review and editing, X.X.; visualization, X.X. and F.J.; supervision, X.X. and F.J.; project administration, X.X.; funding acquisition, X.X. and F.J. All authors have read and agreed to the published version of the manuscript.

Funding

This work was supported by grants from the National Natural Science Foundation of China (32172498, 31972345) and the Natural Science Foundation of Guangdong, China (2023A1515010305).

Institutional Review Board Statement

Not applicable.

Informed Consent Statement

Not applicable.

Data Availability Statement

The original contributions presented in the study are included in the article/supplementary material, further inquiries can be directed to the corresponding authors.

Acknowledgments

We thank the editors and anonymous referees for their invaluable comments and suggestions. We would like to express our gratitude to Shoaib Freed for providing us with the isolates of entomopathogenic fungi.

Conflicts of Interest

The authors declare no conflicts of interest.

References

  1. Carey, J.R. Applied Demography for Biologists: With Special Emphasis on Insects; Oxford University Press: Oxford, UK, 1993. [Google Scholar]
  2. Hutchison, W.D.; Hogg, D.B. Demographic Statistics for the Pea Aphid (Homoptera: Aphididae) in Wisconsin and a Comparison with Other Populations. Environ. Entomol. 1984, 13, 1173–1181. [Google Scholar] [CrossRef]
  3. Huang, Y.B.; Chi, H. Age-stage, two-sex life tables of Bactrocera cucurbitae (Coquillett)(Diptera: Tephritidae) with a discussion on the problem of applying female age-specific life tables to insect populations. Insect Sci. 2012, 19, 263–273. [Google Scholar] [CrossRef]
  4. Chi, H. Life-Table Analysis Incorporating Both Sexes and Variable Development Rates Among Individuals. Environ. Entomol. 1988, 17, 26–34. [Google Scholar] [CrossRef]
  5. Chi, H. TWOSEX-MSChart: A Computer Program for the Age-Stage, Two-Sex Life Table Analysis. 2015. Available online: http://140.120.197.173/Ecology/prod02.htm (accessed on 1 September 2023).
  6. Chi, H.; Fu, J.; You, M. Age-stage, two-sex life table and its application in population ecology and integrated pest management. Acta Entomol. Sin. 2019, 62, 255–262. [Google Scholar]
  7. Wang, H.-h.; Xue, Y.; Lei, Z.-r. Life tables for experimental populations of Frankliniella occidentalis (Thysanoptera: Thripidae) under constant and fluctuating temperature. Sci. Agric. Sin. 2014, 47, 61–68. [Google Scholar]
  8. Shoukat, R.F.; Hassan, B.; Shakeel, M.; Zafar, J.; Li, S.; Freed, S.; Xu, X.; Jin, F. Pathogenicity and transgenerational effects of Metarhizium anisopliae on the demographic parameters of Aedes albopictus (Culicidae: Diptera). J. Med. Entomol. 2020, 57, 677–685. [Google Scholar] [CrossRef] [PubMed]
  9. Zhu, L.; Zhang, S.; Lu, F.; Zhang, K.; Han, Q.; Ying, Q.; Zhang, X.; Zhang, C.; Zhou, S.; Chen, A. Cross-resistance, fitness costs, and biochemical mechanism of laboratory-selected resistance to tenvermectin A in Plutella xylostella. Pest Manag. Sci. 2021, 77, 2826–2835. [Google Scholar] [CrossRef] [PubMed]
  10. Taylor, J.E.; Riley, D.G. Artificial infestations of beet armyworm, Spodoptera exigua (Lepidoptera: Noctuidae), used to estimate an economic injury level in tomato. Crop Prot. 2008, 27, 268–274. [Google Scholar] [CrossRef]
  11. Hafeez, M.; Ullah, F.; Khan, M.M.; Li, X.; Zhang, Z.; Shah, S.; Imran, M.; Assiri, M.A.; Fernández-Grandon, G.M.; Desneux, N.; et al. Metabolic-based insecticide resistance mechanism and ecofriendly approaches for controlling of beet armyworm Spodoptera exigua: A review. Environ. Sci. Pollut. Res. 2022, 29, 1746–1762. [Google Scholar] [CrossRef]
  12. Sharma, A.; Kumar, V.; Shahzad, B.; Tanveer, M.; Sidhu, G.P.S.; Handa, N.; Kohli, S.K.; Yadav, P.; Bali, A.S.; Parihar, R.D.; et al. Worldwide pesticide usage and its impacts on ecosystem. SN Appl. Sci. 2019, 1, 1446. [Google Scholar] [CrossRef]
  13. Ahmad, M.; Arif, M.I. Resistance of beet armyworm Spodoptera exigua (Lepidoptera: Noctuidae) to endosulfan, organophosphorus and pyrethroid insecticides in Pakistan. Crop Prot. 2010, 29, 1428–1433. [Google Scholar] [CrossRef]
  14. Islam, W.; Adnan, M.; Shabbir, A.; Naveed, H.; Abubakar, Y.S.; Qasim, M.; Tayyab, M.; Noman, A.; Nisar, M.S.; Khan, K.A. Insect-fungal-interactions: A detailed review on entomopathogenic fungi pathogenicity to combat insect pests. Microb. Pathog. 2021, 159, 105122. [Google Scholar] [CrossRef] [PubMed]
  15. Perinotto, W.M.S.; Terra, A.L.M.; Angelo, I.C.; Fernandes, É.K.K.; Golo, P.S.; Camargo, M.G.; Bittencourt, V.R.E.P. Nomuraea rileyi as biological control agents of Rhipicephalus microplus tick. Parasitol. Res. 2012, 111, 1743–1748. [Google Scholar] [CrossRef] [PubMed]
  16. Amiri, B.; Ibrahim, L.; Butt, T.M. Antifeedant Properties of Destruxins and their Potential Use with the Entomogenous Fungus Metarhizium anisopliae for Improved Control of Crucifer Pests. Biocontrol Sci. Technol. 1999, 9, 487–498. [Google Scholar] [CrossRef]
  17. Isaka, M.; Kittakoop, P.; Kirtikara, K.; Hywel-Jones, N.L.; Thebtaranonth, Y. Bioactive substances from insect pathogenic fungi. Acc. Chem. Res. 2005, 38, 813–823. [Google Scholar] [CrossRef] [PubMed]
  18. Gandarilla-Pacheco, F.L.; de Luna-Santillana, E.d.J.; Alemán-Huerta, M.E.; Pérez-Rodríguez, R.; Quintero-Zapata, I. Isolation of Native Strains of Entomopathogenic Fungi from Agricultural Soils of Northeastern Mexico and their Virulence on Spodoptera exigua (Lepidoptera: Noctuidae). Fla. Entomol. 2021, 104, 245–252+248. [Google Scholar] [CrossRef]
  19. El Husseini, M.M.M. Effect of the fungus, Beauveria bassiana (Balsamo) Vuillemin, on the beet armyworm, Spodoptera exigua (Hübner) larvae (Lepidoptera: Noctuidae), under laboratory and open field conditions. Egypt. J. Biol. Pest Control 2019, 29, 52. [Google Scholar] [CrossRef]
  20. Vivekanandhan, P.; Swathy, K.; Lucy, A.; Sarayut, P.; Patcharin, K. Entomopathogenic fungi based microbial insecticides and their physiological and biochemical effects on Spodoptera frugiperda (J.E. Smith). Front. Cell. Infect. Microbiol. 2023, 13, 1254475. [Google Scholar] [CrossRef]
  21. Zafar, J.; Shoukat, R.F.; Zhang, Y.; Freed, S.; Xu, X.; Jin, F. Metarhizium anisopliae challenges immunity and demography of Plutella xylostella. Insects 2020, 11, 694. [Google Scholar] [CrossRef]
  22. Zhong, K.; Liu, Z.-C.; Wang, J.-L.; Liu, X.-S. The entomopathogenic fungus Nomuraea rileyi impairs cellular immunity of its host Helicoverpa armigera. Arch. Insect Biochem. Physiol. 2017, 96, e21402. [Google Scholar] [CrossRef]
  23. Serebrov, V.; Gerber, O.; Malyarchuk, A.; Martemyanov, V.; Alekseev, A.; Glupov, V. Effect of entomopathogenic fungi on detoxification enzyme activity in greater wax moth Galleria mellonella L.(Lepidoptera, Pyralidae) and role of detoxification enzymes in development of insect resistance to entomopathogenic fungi. Biol. Bull. 2006, 33, 581–586. [Google Scholar] [CrossRef]
  24. Thapa, S.; Lv, M.; Xu, H. Acetylcholinesterase: A primary target for drugs and insecticides. Mini Rev. Med. Chem. 2017, 17, 1665–1676. [Google Scholar] [CrossRef]
  25. Enayati, A.A.; Ranson, H.; Hemingway, J. Insect glutathione transferases and insecticide resistance. Insect Mol. Biol. 2005, 14, 3–8. [Google Scholar] [CrossRef] [PubMed]
  26. Terriere, L.C. Induction of detoxication enzymes in insects. Annu. Rev. Entomol. 1984, 29, 71–88. [Google Scholar] [CrossRef] [PubMed]
  27. Dubovskiy, I.; Slyamova, N.; Kryukov, V.Y.; Yaroslavtseva, O.; Levchenko, M.; Belgibaeva, A.; Adilkhankyzy, A.; Glupov, V. The activity of nonspecific esterases and glutathione-S-transferase in Locusta migratoria larvae infected with the fungus Metarhizium anisopliae (Ascomycota, Hypocreales). Entomol. Rev. 2012, 92, 27–31. [Google Scholar] [CrossRef]
  28. Ding, H.-Y.; Lin, Y.-Y.; Tuan, S.-J.; Tang, L.-C.; Chi, H.; Atlıhan, R.; Özgökçe, M.S.; Güncan, A. Integrating demography, predation rate, and computer simulation for evaluation of Orius strigicollis as biological control agent against Frankliniella intonsa. Entomol. Gen. 2021, 41, 179. [Google Scholar] [CrossRef]
  29. Shoukat, R.F.; Zafar, J.; Shakeel, M.; Zhang, Y.; Freed, S.; Xu, X.; Jin, F. Assessment of lethal, sublethal, and transgenerational effects of Beauveria bassiana on the demography of Aedes albopictus (Culicidae: Diptera). Insects 2020, 11, 178. [Google Scholar] [CrossRef] [PubMed]
  30. Mousavi, M.; Mehrkhou, F.; Güz, N.; Goosta, Y.; Atlihan, R. Sublethal effects of two entomopathogenic fungi species, Metarhizium anisopliae and Beauveria bassiana, on the cabbage aphid (Brevicoryne brassicae). Turk. J. Agric. For. 2022, 46, 441–452. [Google Scholar] [CrossRef]
  31. Roberts, P.; Douce, G. Foliage Feeding Insects. Available online: https://wiki.bugwood.org/Archive:GATop50/Spodoptera_exigua (accessed on 28 June 2024).
  32. Ren, X.-L.; Chen, R.-R.; Zhang, Y.; Ma, Y.; Cui, J.-J.; Han, Z.-J.; Mu, L.-L.; Li, G.-Q. A Spodoptera exigua Cadherin Serves as a Putative Receptor for Bacillus thuringiensis Cry1Ca Toxin and Shows Differential Enhancement of Cry1Ca and Cry1Ac Toxicity. Appl. Environ. Microbiol. 2013, 79, 5576–5583. [Google Scholar] [CrossRef]
  33. Butt, T.; Ibrahim, L.; Ball, B.; Clark, S. Pathogenicity of the entomogenous fungi Metarhizium anisopliae and Beauveria bassiana against crucifer pests and the honey bee. Biocontrol Sci. Technol. 1994, 4, 207–214. [Google Scholar] [CrossRef]
  34. Akutse, K.S.; Maniania, N.K.; Fiaboe, K.K.M.; Van den Berg, J.; Ekesi, S. Endophytic colonization of Vicia faba and Phaseolus vulgaris (Fabaceae) by fungal pathogens and their effects on the life-history parameters of Liriomyza huidobrensis (Diptera: Agromyzidae). Fungal Ecol. 2013, 6, 293–301. [Google Scholar] [CrossRef]
  35. Inglis, G.D.; Enkerli, J.; Goettel, M.S. Laboratory techniques used for entomopathogenic fungi: Hypocreales. Man. Tech. Invertebr. Pathol. 2012, 2, 18–53. [Google Scholar]
  36. Caballero, C.; López-Olguin, J.F.; Ruíz, M.A.; Ortego, F.; Castañera, P. Antifeedant activity and effects of terpenoids on detoxication enzymes of the beet armyworm, Spodoptera exigua (Hubner). Span. J. Agric. Res. 2008, 6, 177–184. [Google Scholar] [CrossRef]
  37. Naeem, A.; Freed, S.; Akmal, M. Biochemical analysis and pathogenicity of entomopathogenic fungi to Diaphorina citri Kuwayama (Hemiptera: Liviidae). Entomol. Res. 2020, 50, 245–254. [Google Scholar] [CrossRef]
  38. Bradford, M.M. A rapid and sensitive method for the quantitation of microgram quantities of protein utilizing the principle of protein-dye binding. Anal. Biochem. 1976, 72, 248–254. [Google Scholar] [CrossRef] [PubMed]
  39. Ellman, G.L.; Courtney, K.D.; Andres, V.; Featherstone, R.M. A new and rapid colorimetric determination of acetylcholinesterase activity. Biochem. Pharmacol. 1961, 7, 88–95. [Google Scholar] [CrossRef]
  40. Pengsook, A.; Bullangpoti, V.; Koul, O.; Nobsathian, S.; Saiyaitong, C.; Yooboon, T.; Phankaen, P.; Pluempanupat, W.; Kumrungsee, N. Antifeedant Activity and Biochemical Responses in Spodoptera exigua Hübner (Lepidoptera: Noctuidae) Infesting Broccoli, Brassica oleracea var. alboglabra exposed to Piper ribesioides Wall Extracts and Allelochemicals. Chem. Biol. Technol. Agric. 2022, 9, 17. [Google Scholar] [CrossRef]
  41. Kristensen, M. Glutathione S-transferase and insecticide resistance in laboratory strains and field populations of Musca domestica. J. Econ. Entomol. 2005, 98, 1341–1348. [Google Scholar] [CrossRef] [PubMed]
  42. Nazar, M.Z.; Freed, S.; Hussain, S.; Sumra, M.W.; Shah, M.S.; Naeem, A. Characteristics of biochemical resistance mechanism of novel insecticides in Phenacoccus solenopsis Tinsley (Hemiptera: Pseudococcidae). Crop Prot. 2020, 138, 105320. [Google Scholar] [CrossRef]
  43. POLO-Plus, P. for Windows, Version 2.0; LeOra Software: Petaluma, CA, USA, 2005. [Google Scholar]
  44. Chi, H. Timing of control based on the stage structure of pest populations: A simulation approach. J. Econ. Entomol. 1990, 83, 1143–1150. [Google Scholar] [CrossRef]
  45. Meyer, J.S.; Ingersoll, C.G.; McDonald, L.L.; Boyce, M.S. Estimating uncertainty in population growth rates: Jackknife vs. bootstrap techniques. Ecology 1986, 67, 1156–1166. [Google Scholar] [CrossRef]
  46. Goodman, D. Optimal life histories, optimal notation, and the value of reproductive value. Am. Nat. 1982, 119, 803–823. [Google Scholar] [CrossRef]
  47. Chi, H.; Su, H.-Y. Age-stage, two-sex life tables of Aphidius gifuensis (Ashmead)(Hymenoptera: Braconidae) and its host Myzus persicae (Sulzer)(Homoptera: Aphididae) with mathematical proof of the relationship between female fecundity and the net reproductive rate. Environ. Entomol. 2006, 35, 10–21. [Google Scholar] [CrossRef]
  48. Tuan, S.J.; Lee, C.C.; Chi, H. Population and damage projection of Spodoptera litura (F.) on peanuts (Arachis hypogaea L.) under different conditions using the age-stage, two-sex life table. Pest Manag. Sci. 2014, 70, 805–813. [Google Scholar] [CrossRef] [PubMed]
  49. Tuan, S.-J.; Li, N.-J.; Yeh, C.-C.; Tang, L.-C.; Chi, H. Effects of green manure cover crops on Spodoptera litura (Lepidoptera: Noctuidae) populations. J. Econ. Entomol. 2014, 107, 897–905. [Google Scholar] [CrossRef] [PubMed]
  50. Wang, H.; Peng, H.; Li, W.; Cheng, P.; Gong, M. The toxins of Beauveria bassiana and the strategies to improve their virulence to insects. Front. Microbiol. 2021, 12, 705343. [Google Scholar] [CrossRef] [PubMed]
  51. Han, J.H.; Jin, B.R.; Kim, J.J.; Lee, S.Y. Virulence of entomopathogenic fungi Metarhizium anisopliae and Paecilomyces fumosoroseus for the microbial control of Spodoptera exigua. Mycobiology 2014, 42, 385–390. [Google Scholar] [CrossRef]
  52. Wraight, S.P.; Ramos, M.E.; Avery, P.B.; Jaronski, S.T.; Vandenberg, J.D. Comparative virulence of Beauveria bassiana isolates against lepidopteran pests of vegetable crops. J. Invertebr. Pathol. 2010, 103, 186–199. [Google Scholar] [CrossRef]
  53. Kirubakaran, S.A.; Sathish-Narayanan, S.; Revathi, K.; Chandrasekaran, R.; Senthil-Nathan, S. Effect of oil-formulated Metarhizium anisopliae and Beauveria bassiana against the rice leaffolder Cnaphalocrocis medinalis Guenée (Lepidoptera: Pyralidae). Arch. Phytopathol. Plant Prot. 2014, 47, 977–992. [Google Scholar] [CrossRef]
  54. Fite, T.; Tefera, T.; Negeri, M.; Damte, T.; Sori, W. Evaluation of Beauveria bassiana, Metarhizium anisopliae, and Bacillus thuringiensis for the management of Helicoverpa armigera (Hubner) (Lepidoptera: Noctuidae) under laboratory and field conditions. Biocontrol Sci. Technol. 2020, 30, 278–295. [Google Scholar] [CrossRef]
  55. Valero-Jiménez, C.A.; Debets, A.J.; van Kan, J.A.; Schoustra, S.E.; Takken, W.; Zwaan, B.J.; Koenraadt, C.J. Natural variation in virulence of the entomopathogenic fungus Beauveria bassiana against malaria mosquitoes. Malar. J. 2014, 13, 479. [Google Scholar] [CrossRef]
  56. Nguyen, N.T.; Borgemeister, C.; Poehling, H.-M.; Zimmermann, G. Laboratory investigations on the potential of entomopathogenic fungi for biocontrol of Helicoverpa armigera (Lepidoptera: Noctuidae) larvae and pupae. Biocontrol Sci. Technol. 2007, 17, 853–864. [Google Scholar] [CrossRef]
  57. Wang, Y.; Yu, N.; Chu, F.; Korai, S.K.; Liu, Z. Sublethal effects of Beauveria bassiana sensu lato isolate NJBb2101 on biological fitness and insecticide sensitivity of parental and offspring generations of brown planthopper, Nilaparvata lugens. Biol. Control 2018, 121, 44–49. [Google Scholar] [CrossRef]
  58. Trissi, A.N.; El-Bouhssini, M.; Skinner, M.; Parker, B.L. Sublethal effect of Beauveria bassiana on feeding and fecundity of the sunn pest, Eurygaster integriceps Puton (Hemiptera: Scutelleridae). EPPO Bull. 2019, 49, 570–577. [Google Scholar] [CrossRef]
  59. Xia, Y.; Yu, S.; Yang, Q.; Shang, J.; He, Y.; Song, F.; Li, Q.; Jiang, C. Sublethal Effects of Beauveria bassiana Strain BEdy1 on the Development and Reproduction of the White-Backed Planthopper, Sogatella furcifera (Horváth) (Hemiptera: Delphacidae). J. Fungi 2023, 9, 123. [Google Scholar] [CrossRef]
  60. Kalvnadi, E.; Mirmoayedi, A.; Alizadeh, M.; Pourian, H.-R. Sub-lethal concentrations of the entomopathogenic fungus, Beauveria bassiana increase fitness costs of Helicoverpa armigera (Lepidoptera: Noctuidae) offspring. J. Invertebr. Pathol. 2018, 158, 32–42. [Google Scholar] [CrossRef]
  61. Torrado-León, E.; Montoya-Lerma, J.; Valencia-Pizo, E. Sublethal effects of Beauveria bassiana (Balsamo) Vuillemin (Deuteromycotina: Hyphomycetes) on the whitefly Bemisia tabaci (Gennadius)(Hemiptera: Aleyrodidae) under laboratory conditions. Mycopathologia 2006, 162, 411–419. [Google Scholar] [CrossRef] [PubMed]
  62. Peng, G.; Jin, K.; Liu, Y.; Xia, Y. Enhancing the utilization of host trehalose by fungal trehalase improves the virulence of fungal insecticide. Appl. Microbiol. Biotechnol. 2015, 99, 8611–8618. [Google Scholar] [CrossRef]
  63. Jin, K.; Peng, G.; Liu, Y.; Xia, Y. The acid trehalase, ATM1, contributes to the in vivo growth and virulence of the entomopathogenic fungus, Metarhizium acridum. Fungal Genet. Biol. 2015, 77, 61–67. [Google Scholar] [CrossRef]
  64. Wu, S.; Youngman, R.R.; Kok, L.T.; Laub, C.A.; Pfeiffer, D.G. Interaction between entomopathogenic nematodes and entomopathogenic fungi applied to third instar southern masked chafer white grubs, Cyclocephala lurida (Coleoptera: Scarabaeidae), under laboratory and greenhouse conditions. Biol. Control 2014, 76, 65–73. [Google Scholar] [CrossRef]
  65. Jarrahi, A.; Safavi, S.A. Fitness costs to Helicoverpa armigera after exposure to sub-lethal concentrations of Metarhizium anisopliae sensu lato: Study on F1 generation. J. Invertebr. Pathol. 2016, 138, 50–56. [Google Scholar] [CrossRef] [PubMed]
  66. Elbanna, S.M.; Elhadidy, N.M.; Semida, F.M.; Abdel Rasool, T. Physiological and biochemical effect of entomopathogenic fungus Metarhizium anisopliae on the 5th instar of Schistocerca gregaria (Orthoptera: Acrididae). J. Res. Environ. Sci. Toxicol. 2012, 1, 7–18. [Google Scholar]
  67. Alikhani, M.; Safavi, S.A.; Iranipour, S. Effect of the entomopathogenic fungus, Metarhizium anisopliae (Metschnikoff) Sorokin, on demographic fitness of the tomato leaf miner, Tuta absoluta (Meyrick)(Lepidoptera: Gelechiidae). Egypt. J. Biol. Pest Control 2019, 29, 23. [Google Scholar] [CrossRef]
  68. Liu, J.-F.; Zhang, Z.-Q.; Beggs, J.R.; Paderes, E.; Zou, X.; Wei, X.-Y. Lethal and sublethal effects of entomopathogenic fungi on tomato/potato psyllid, Bactericera cockerelli (Šulc)(Hemiptera: Triozidae) in capsicum. Crop Prot. 2020, 129, 105023. [Google Scholar] [CrossRef]
  69. Forbes, V.E.; Calow, P. Is the per capita rate of increase a good measure of population-level effects in ecotoxicology? Environ. Toxicol. Chem. 1999, 18, 1544–1556. [Google Scholar] [CrossRef]
  70. Pullum, T.W. Population Dynamics: Classical Applications of Stable Population Theory. In International Encyclopedia of the Social & Behavioral Sciences, 2nd ed.; Wright, J.D., Ed.; Elsevier: Oxford, UK, 2015; pp. 562–565. [Google Scholar]
  71. Shaukat, R.F.; Freed, S.; Ahmed, R.; Raza, M.; Naeem, A. Virulence and transgenerational effects of Metarhizium anisopliae on Oxycarenus hyalinipennis. Pest Manag. Sci. 2023, 79, 3843–3851. [Google Scholar] [CrossRef] [PubMed]
  72. Fan, R.; Fan, Z.; Sun, Z.; Chen, Y.; Gui, F. Insecticide Susceptibility and Detoxification Enzyme Activity of Frankliniella occidentalis under Three Habitat Conditions. Insects 2023, 14, 643. [Google Scholar] [CrossRef] [PubMed]
  73. Fan, J.; Xie, Y.; Xue, J.; Liu, R. The effect of Beauveria brongniartii and its secondary metabolites on the detoxification enzymes of the pine caterpillar, Dendrolimus tabulaeformis. J. Insect Sci. 2013, 13, 44. [Google Scholar] [CrossRef] [PubMed]
  74. Zibaee, A.; Bandani, A.R.; Tork, M. Effect of the entomopathogenic fungus, Beauveria bassiana, and its secondary metabolite on detoxifying enzyme activities and acetylcholinesterase (AChE) of the Sunn pest, Eurygaster integriceps (Heteroptera: Scutellaridae). Biocontrol Sci. Technol. 2009, 19, 485–498. [Google Scholar] [CrossRef]
  75. Bilal, M.; Freed, S.; Ashraf, M.Z.; Muhammad, S. Enhanced activities of acetylcholinesterase, acid and alkaline phosphatases in Helicoverpa armigera after exposure to entomopathogenic fungi. Invertebr. Surviv. J. 2017, 14, 464–476. [Google Scholar]
  76. Kwon, H.; Bang, E.; Choi, S.; Lee, W.; Cho, S.; I-Yeon, J.; Kim, S.; Lee, K. Cytotoxic Cyclodepsipetides of Bombycis corpus 101A. J.-Pharm. Soc. Korea 2000, 44, 115–118. [Google Scholar]
  77. Xu, Y.; Orozco, R.; Kithsiri Wijeratne, E.M.; Espinosa-Artiles, P.; Leslie Gunatilaka, A.A.; Patricia Stock, S.; Molnár, I. Biosynthesis of the cyclooligomer depsipeptide bassianolide, an insecticidal virulence factor of Beauveria bassiana. Fungal Genet. Biol. 2009, 46, 353–364. [Google Scholar] [CrossRef] [PubMed]
  78. Butt, T.; Coates, C.; Dubovskiy, I.; Ratcliffe, N. Entomopathogenic fungi: New insights into host–pathogen interactions. Adv. Genet. 2016, 94, 307–364. [Google Scholar] [PubMed]
Figure 1. Percentage of larval mortality (3rd instar) of S. exigua at different concentrations (3 × 104, 3 × 105, 3 × 106, 3 × 107, and 3 × 108 conidia/mL). While two controls are used. Error bars show 95% confidence intervals (CIs). Different letters indicate significant differences at p < 0.05.
Figure 1. Percentage of larval mortality (3rd instar) of S. exigua at different concentrations (3 × 104, 3 × 105, 3 × 106, 3 × 107, and 3 × 108 conidia/mL). While two controls are used. Error bars show 95% confidence intervals (CIs). Different letters indicate significant differences at p < 0.05.
Jof 10 00469 g001
Figure 2. The age-specific (A) life expectancy (ex); (B) fecundity (mx); (C) reproductive value (vx); and (D) survival rate (lx). The sublethal and lethal concentrations of B. bassiana-treated groups are represented as LC20 and LC50, respectively.
Figure 2. The age-specific (A) life expectancy (ex); (B) fecundity (mx); (C) reproductive value (vx); and (D) survival rate (lx). The sublethal and lethal concentrations of B. bassiana-treated groups are represented as LC20 and LC50, respectively.
Jof 10 00469 g002
Figure 3. Age–stage-specific survival rate (sxj) of S. exigua after treatment with sublethal (LC20) and lethal (LC50) concentrations of B. bassiana. (A) control group; (B,C) represent LC20 and LC50-treated groups, respectively. L1–L5 = 1st to 5th instar larvae.
Figure 3. Age–stage-specific survival rate (sxj) of S. exigua after treatment with sublethal (LC20) and lethal (LC50) concentrations of B. bassiana. (A) control group; (B,C) represent LC20 and LC50-treated groups, respectively. L1–L5 = 1st to 5th instar larvae.
Jof 10 00469 g003
Figure 4. Age–stage life expectancy (exj) of S. exigua after treatment with sublethal (LC20) and lethal (LC50) concentrations of B. bassiana. (A) control group; (B,C) represent LC20 and LC50-treated groups respectively. L1–L5 = 1st to 5th instar larvae.
Figure 4. Age–stage life expectancy (exj) of S. exigua after treatment with sublethal (LC20) and lethal (LC50) concentrations of B. bassiana. (A) control group; (B,C) represent LC20 and LC50-treated groups respectively. L1–L5 = 1st to 5th instar larvae.
Jof 10 00469 g004
Figure 5. Age–stage reproductive value (vxj) of S. exigua after treatment with sublethal (LC20) and lethal (LC50) concentrations of B. bassiana. (A) control group; (B,C) represent LC20 and LC50-treated groups. L1–L5 = 1st to 5th instar larvae.
Figure 5. Age–stage reproductive value (vxj) of S. exigua after treatment with sublethal (LC20) and lethal (LC50) concentrations of B. bassiana. (A) control group; (B,C) represent LC20 and LC50-treated groups. L1–L5 = 1st to 5th instar larvae.
Jof 10 00469 g005
Figure 6. Daily mean number of eggs from S. exigua after treatment with B. bassiana. The sublethal and lethal concentrations of B. bassiana are shown as LC20 and LC50, respectively.
Figure 6. Daily mean number of eggs from S. exigua after treatment with B. bassiana. The sublethal and lethal concentrations of B. bassiana are shown as LC20 and LC50, respectively.
Jof 10 00469 g006
Figure 7. The detoxification enzyme activity in S. exigua in response to sublethal (LC20) and lethal (LC50) concentrations of B. bassiana. Figure (AC) show the enzymatic activity in the parental/filial (F0) generation, while (A1C1) show the enzymatic activity in the first filial generation (F1). Different colors and symbols are used for different treatments.
Figure 7. The detoxification enzyme activity in S. exigua in response to sublethal (LC20) and lethal (LC50) concentrations of B. bassiana. Figure (AC) show the enzymatic activity in the parental/filial (F0) generation, while (A1C1) show the enzymatic activity in the first filial generation (F1). Different colors and symbols are used for different treatments.
Jof 10 00469 g007
Table 1. Lethal (LC50) and sublethal (LC20) concentrations of entomopathogenic fungi against S. exigua larvae.
Table 1. Lethal (LC50) and sublethal (LC20) concentrations of entomopathogenic fungi against S. exigua larvae.
FungiLC50LC20Slop ± SEχ2p-Valuedf
Metarhizium anisopliae3.2 × 1041.0 × 1020.154 + 0.0231.870.0035
Beauveria bassiana2.5 × 1033.1 × 1020.278 + 0.0111.250.0015
Isaria fumosorosea2.2 × 1064.1 × 1040.357 + 0.0541.540.0045
Abbreviations: SE = standard error; df = degrees of freedom; χ2 = chi-square value (confidence Interval 95%).
Table 2. Influence of B. bassiana on parental generation (F0) of S. exigua.
Table 2. Influence of B. bassiana on parental generation (F0) of S. exigua.
ParameterControlB. bassiana (LC20)B. bassiana (LC50)
Means ± SE
Larval mortality1.2 ± 0.21 c21.92 ± 1.87 b52.33 ± 2.11 a
Percent pupation98.80 ± 2.54 a78.01 ± 3.15 b47.67 ± 4.15 c
Percent emergence96.55 ± 4.11 a69.11 ± 3.14 b42.44 ± 2.98 c
Male longevity10.22 ± 1.32 a9.71 ± 1.32 b7.11 ± 2.11 c
Female longevity9.0 ± 0.22 a8.22 ± 1.54 b6.22 ± 0.23 c
Fecundity450.11 ± 7.11 a380.18 ± 7.21 b273 ± 6.22 c
Note: Units are days for male/female longevity. Fecundity (eggs/female). Different letters within rows mark statistically significant differences (p < 0.05) between means. Values with the same letter are not statistically significant.
Table 3. Effects of B. bassiana on the first filial generation (F1) of S. exigua.
Table 3. Effects of B. bassiana on the first filial generation (F1) of S. exigua.
ParametersControlB. bassiana (LC20)B. bassiana (LC50)
Means ± SE
Percent hatching95.0± 1.01 a90.22 ± 3.54 b87.33 ± 2.72 c
Egg duration2.00 ± 0.00 a1.94 ± 0.24 a1.9 ± 0.3 b
L12.00 ± 0.01 a1.84 ± 0.37 b1.56 ± 0.5 c
L21.98 ± 0.01 a1.92 ± 0.28 a1.57 ± 0.5 b
L32.00 ± 0.07 a1.9 ± 0.31 b1.65 ± 0.48 c
L42.00 ± 0.05 a1.94 ± 0.25 b1.77 ± 0.43 c
L53.00 ± 0.02 a2.82 ± 0.58 b2.82 ± 0.52 b
Total larval duration10.98 ± 0.08 a10.42 ± 0.04 b9.37 ± 0.14 c
Pupal duration6.58 ± 0.31 b5.98 ± 0.84 c7.27 ± 1.7 a
Adult pre-oviposition period19.58 ± 1.80 a18.36 ± 1.13 b18.49 ± 1.65 b
Female longevity8.22 ± 0.43 a8.00 ± 0.05 a7.32 ± 1.65 b
Male longevity10.00 ± 1.35 a9.65 ± 0.98 a8.22 ± 2.41 b
Fecundity359.55 ± 7.87 a313.45 ± 4.33 b223.92 ± 4.31 c
Note: L1–L5 = 1st to 5th instar larvae. Units are days. Except for fecundity (eggs/female). Different letters within rows mark statistically significant differences (p < 0.05) between means. Values with the same letter are not significantly different (p > 0.05).
Table 4. Lethal (LC50) and sublethal (LC20) effects of B. bassiana on the population parameters of S. exigua.
Table 4. Lethal (LC50) and sublethal (LC20) effects of B. bassiana on the population parameters of S. exigua.
ParametersControlB. bassiana (LC20)B. bassiana (LC50)
Means ± SE
Intrinsic rate of increase (r)0.2127 ± 0.006 a0.2129 ± 0.003 a0.2048 ± 0.001 b
Net reproduction rate (R0)143.82 ± 12.11 a125.38 ± 7.11 b107.48 ± 6.21 c
Mean length of a generation (T)24.25 ± 0.23 a22.7 ± 0.14 b20.99 ± 0.04 c
Finite rate of increase (λ)1.278 ± 0.02 a1.237 ± 0.03 b1.217 ± 0.05 c
Birth rate (at SASD)0.2327 ± 0.11 b0.243 ± 0.02 a0.243 ± 0.31 a
Survival rate (at SASD)0.995 ± 0.02 a0.991 ± 0.07 a0.993 ± 0.05 a
Death rate (at SASD)5.35 ± 1.07 c5.698 ± 1.21 b6.25 ± 1.57 a
r = Intrinsic rate of increase (per days); R0 = net reproduction rate (offspring/individual); T = mean length of a generation (days); λ = finite rate of increase (per days); SASD = stable age–stage distribution. Different letters within rows mark statistically significant differences (p < 0.05) between means. Values with the same letter are not statistically significant.
Disclaimer/Publisher’s Note: The statements, opinions and data contained in all publications are solely those of the individual author(s) and contributor(s) and not of MDPI and/or the editor(s). MDPI and/or the editor(s) disclaim responsibility for any injury to people or property resulting from any ideas, methods, instructions or products referred to in the content.

Share and Cite

MDPI and ACS Style

Zafar, J.; Shoukat, R.F.; Zhu, Z.; Fu, D.; Xu, X.; Jin, F. Two-Sex Life Table Analysis for Optimizing Beauveria bassiana Application against Spodoptera exigua (Hübner) (Lepidoptera: Noctuidae). J. Fungi 2024, 10, 469. https://doi.org/10.3390/jof10070469

AMA Style

Zafar J, Shoukat RF, Zhu Z, Fu D, Xu X, Jin F. Two-Sex Life Table Analysis for Optimizing Beauveria bassiana Application against Spodoptera exigua (Hübner) (Lepidoptera: Noctuidae). Journal of Fungi. 2024; 10(7):469. https://doi.org/10.3390/jof10070469

Chicago/Turabian Style

Zafar, Junaid, Rana Fartab Shoukat, Zhanpeng Zhu, Dongran Fu, Xiaoxia Xu, and Fengliang Jin. 2024. "Two-Sex Life Table Analysis for Optimizing Beauveria bassiana Application against Spodoptera exigua (Hübner) (Lepidoptera: Noctuidae)" Journal of Fungi 10, no. 7: 469. https://doi.org/10.3390/jof10070469

APA Style

Zafar, J., Shoukat, R. F., Zhu, Z., Fu, D., Xu, X., & Jin, F. (2024). Two-Sex Life Table Analysis for Optimizing Beauveria bassiana Application against Spodoptera exigua (Hübner) (Lepidoptera: Noctuidae). Journal of Fungi, 10(7), 469. https://doi.org/10.3390/jof10070469

Note that from the first issue of 2016, this journal uses article numbers instead of page numbers. See further details here.

Article Metrics

Back to TopTop