Inhibitory Properties of Cinnamon Bark Oil against Postharvest Pathogen Penicillium digitatum In Vitro
Abstract
1. Introduction
2. Materials and Methods
2.1. Fungus, Fruit and Essential Oil
2.2. Antifungal Assays of CBO
2.3. Fluorescence Staining
2.4. Expression Analysis of Genes by qRT-PCR
2.5. Transcriptomic Analysis
2.6. qRT-PCR Validation
2.7. Statistical Analysis
3. Results
3.1. Determining the Minimum Effective Concentration of CBO In Vitro
3.2. Inhibitory Effects of CBO on P. digitatum Growth
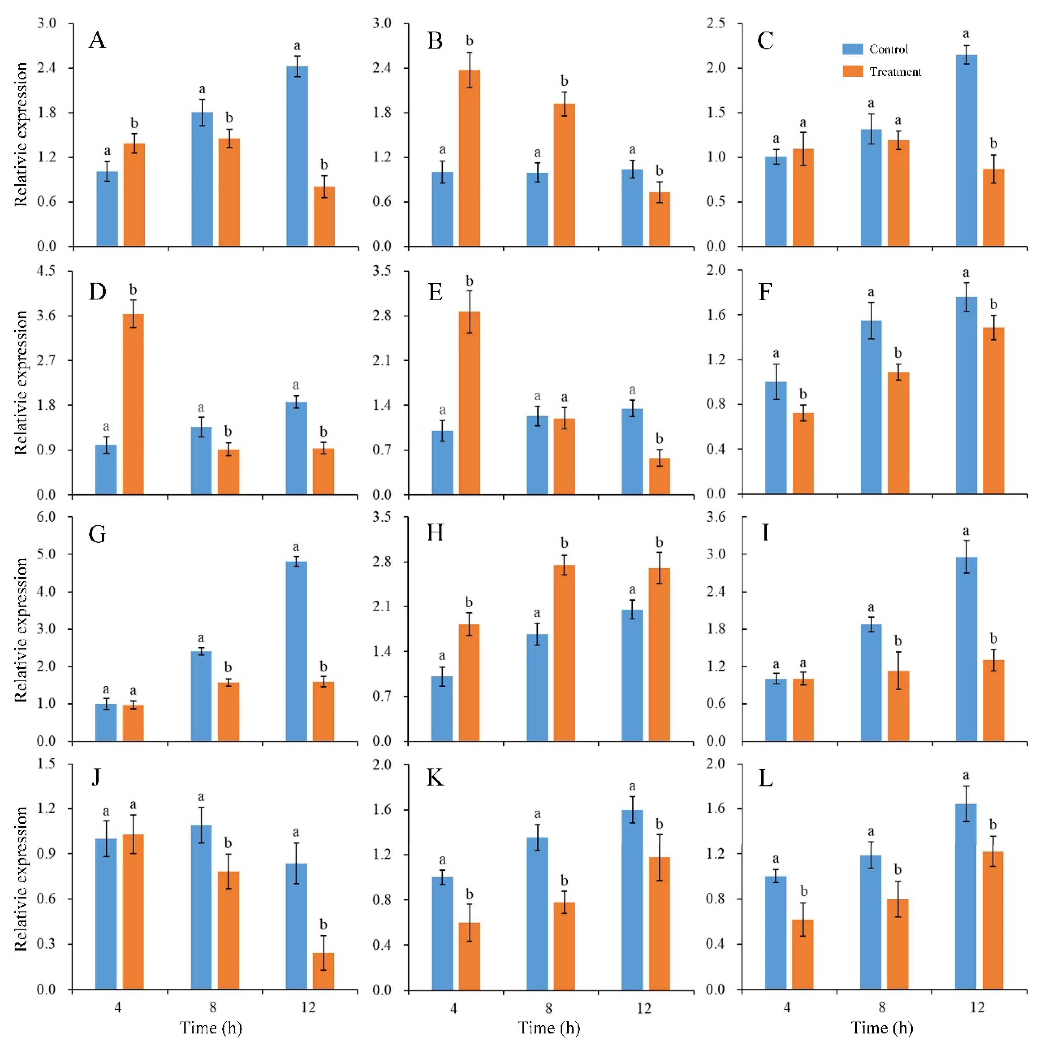
3.3. Effects of CBO on the Expression of Growth and Virulence-Related Genes
3.4. Transcriptomic Changes of P. digitatum under CBO Treatment
4. Discussion
5. Conclusions
Supplementary Materials
Author Contributions
Funding
Data Availability Statement
Conflicts of Interest
References
- Bhatta, U.K. Alternative management approaches of citrus diseases caused by Penicillium digitatum (green mold) and Penicillium italicum (blue mold). Front. Plant Sci. 2022, 12, 833328. [Google Scholar] [CrossRef] [PubMed]
- Droby, S.; Eick, A.; Macarisin, D.; Cohen, L.; Rafael, G.; Stange, R.; McColum, G.; Dudai, N.; Nasser, A.; Wisniewski, M.; et al. Role of citrus volatiles in host recognition, germination and growth of Penicillium digitatum and Penicillium italicum. Postharvest Biol. Technol. 2008, 49, 386–396. [Google Scholar] [CrossRef]
- Lin, Y.L.; Fan, L.Q.; Xia, X.H.; Wang, Z.K.; Yin, Y.P.; Cheng, Y.L.; Li, Z.G. Melatonin decreases resistance to postharvest green mold on citrus fruit by scavenging defense-related reactive oxygen species. Postharvest Biol. Technol. 2019, 153, 21–30. [Google Scholar] [CrossRef]
- Papoutsis, K.; Mathioudakis, M.M.; Hasperué, J.H.; Ziogas, V. Non-chemical treatments for preventing the postharvest fungal rotting of citrus caused by Penicillium digitatum (green mold) and Penicillium italic (blue mold). Trends Food Sci. Technol. 2019, 86, 479–491. [Google Scholar] [CrossRef]
- Araújo, É.D.V.; Vendramini, P.H.; Costa, J.H.; Eberlin, M.N.; Montagner, C.C.; Fill, T.P. Determination of tryptoquialanines A and C produced by Penicillium digitatum in oranges: Are we safe? Food Chem. 2019, 301, 125285. [Google Scholar] [CrossRef] [PubMed]
- Costa, J.H.; Bazioli, J.M.; Barbosa, L.D.; Júnior, P.L.T.D.S.; Reis, F.C.G.; Klimeck, T.; Crnkovic, C.M.; Berlinck, R.G.S.; Sussulini, A.; Rodrigues, M.L.; et al. Phytotoxic tryptoquialanines produced in vivo by Penicillium digitatum are exported in extracellular vesicles. mBio 2021, 12, e03393-20. [Google Scholar] [CrossRef] [PubMed]
- Chen, C.C.; Cai, N.; Chen, J.J.; Wan, C.P. Clove essential oil as an alternative approach to control postharvest blue mold caused by Penicillium italicum in citrus fruit. Biomolecules 2019, 9, 197. [Google Scholar] [CrossRef] [PubMed]
- Palou, L.; Smilanick, J.L.; Droby, S. Alternatives to conventional fungicides for the control of citrus postharvest green and blue moulds. Agric. Food Sci. 2008, 2, 2. [Google Scholar]
- Jeong, R.D.; Chu, E.H.; Lee, G.W.; Cho, C.; Park, H.J. Inhibitory effect of gamma irradiation and its application for control of postharvest green mold decay of Satsuma mandarins. Int. J. Food Microbiol. 2016, 234, 1–8. [Google Scholar] [CrossRef]
- Usall, J.; Ippolito, A.; Sisquella, M.; Neri, F. Physical treatments to control postharvest diseases of fresh fruits and vegetables. Postharvest Biol. Technol. 2016, 122, 30–40. [Google Scholar] [CrossRef]
- Chen, P.S.; Peng, Y.H.; Chung, W.C.; Chung, K.R.; Huang, H.C.; Huang, J.W. Inhibition of Penicillium digitatum and Citrus green mold by volatile compounds produces by Enterobacter cloacae. J. Plant Pathol. Microbiol. 2016, 7, 3. [Google Scholar] [CrossRef]
- Liu, Y.; Yao, S.X.; Deng, L.L.; Ming, J.; Zeng, K.F. Different mechanisms of action of isolated epiphytic yeasts against Penicillium digitatum and Penicillium italicum on citrus fruit. Postharvest Biol. Technol. 2019, 152, 100–110. [Google Scholar] [CrossRef]
- Chen, O.; Deng, L.L.; Ruan, C.Q.; Yi, L.H.; Zeng, K.F. Pichia galeiformis induces resistance in postharvest citrus by activating the phenylpropanoid biosynthesis pathway. J. Agric. Food Chem. 2021, 69, 2619–2631. [Google Scholar] [CrossRef] [PubMed]
- Montesinos-Herrero, C.; Palou, L. Synergism between potassium sorbate dips and brief exposure to high CO2 or O2 at curing temperature for the control of citrus postharvest green and blue molds. Crop Prot. 2016, 81, 43–46. [Google Scholar] [CrossRef]
- Martínez-Blay, V.; Taberner, V.; Pérez-Gago, M.B.; Palou, L. Control of major citrus postharvest diseases by sulfur-containing food additives. Int. J. Food Microbiol. 2020, 330, 108713. [Google Scholar] [CrossRef] [PubMed]
- Youssef, K.; Hussien, A. Electrolysed water and salt solutions can reduce green and blue molds while maintain the quality properties of ‘Valencia’ late oranges. Postharvest Biol. Technol. 2020, 159, 111025. [Google Scholar] [CrossRef]
- Zhu, H.M.; Zhao, L.; Zhang, X.Y.; Foku, J.M.; Li, J.; Hu, W.C.; Zhang, H.Y. Efficacy of Yarrowia lipolytica in the biocontrol of green mold and blue mold in Citrus reticulata and the mechanisms involved. Biol. Control 2019, 139, 104096. [Google Scholar] [CrossRef]
- Che, J.X.; Chen, X.M.; Quyang, Q.L.; Tao, N.G. p-Anisaldehyde exerts its antifungal activity against Penicillium digitatum and Penicilium italicum by disrupting the cell wall integrity and membrane permeability. J. Microbiol. Biotechnol. 2020, 30, 878–884. [Google Scholar] [CrossRef] [PubMed]
- Chen, C.Y.; Wan, C.P.; Peng, X.; Chen, J.Y. A flavonone pinocembroside inhibits Penicillium italicum growth and blue mold development in ‘Newhall’ navel oranges by targeting membrane damage mechanism. Pestic. Biochem. Phys. 2020, 165, 104505. [Google Scholar] [CrossRef]
- Koltz, E.A.; Santos, I.D.; Dalemole-Giaretta, R.; Pazolini, K.; Leite, C.D.; Steilmann, P. Combining Brassica sachets and extracts with thermotherapy against postharvest green mold of orange. Sci. Hortic. 2020, 268, 109389. [Google Scholar] [CrossRef]
- Blaszczyk, N.; Rosiak, A.; Kałużna-Czaplińska, J. The potential role of cinnamon in human health. Forests 2021, 12, 648. [Google Scholar] [CrossRef]
- Li, Y.Q.; Kong, D.X.; Wu, H. Analysis and evaluation of essential oil components of cinnamon barks using GC-MS and FTIR spectroscopy. Ind. Crops Prod. 2013, 41, 269–278. [Google Scholar] [CrossRef]
- Brnawi, W.I.; Hettiarachchy, N.S.; Horax, R.; Kumar-Phillips, G.; Seo, H.S.; Marcy, J. Comparison of cinnamon essential oils from leaf and bark with respect to antimicrobial activity and sensory acceptability in strawberry shake. J. Food Sci. 2018, 83, 475–480. [Google Scholar] [CrossRef]
- Wang, Y.; Zhang, Y.; Shi, Y.Q.; Pan, X.H.; Lu, Y.H.; Cao, P. Antibacterial effects of cinnamon (Cinnamomum zeylanicum) bark essential oil on Porphyromonas gingivalis. Microb. Pathog. 2018, 116, 26–32. [Google Scholar] [CrossRef] [PubMed]
- Champa, W.A.H.; Gunasekera, N.; Wilson, W.S.; Hewajulige, I.G.N.; Weerasinghe, W.M.S.S.K.; Kumara, B.A.M.S. Postharvest treatment of cinnamon (Cinnamomum zeylanicum) bark oil and hexanal incorporated bio-wax maintains quality and extends marketable life of lime (Citrus aurantifolia Swingle). Int. J. Fruit Sci. 2020, 20, 76–88. [Google Scholar] [CrossRef]
- Nirmal, N.P.; Chunhavacharatorn, P.; Khanashyam, A.C.; Li, L.; Al-Asmari, F. Cinnamon bark oil in water nanoemulsion formulation, characterization, and antimicrobial activities. LWT-Food Sci. Technol. 2023, 179, 114671. [Google Scholar] [CrossRef]
- Chen, J.Y.; Shen, Y.T.; Chen, C.Y.; Wan, C.P. Inhibition of key citrus postharvest fungal strains by plant extracts in vitro and in vivo: A review. Plants 2019, 8, 26. [Google Scholar] [CrossRef] [PubMed]
- Wan, C.P.; Kahramanoğlu, İ.; Okantan, V. Application of plant natural products for the management of postharvest diseases in fruits. Folia Hort. 2021, 33, 203–215. [Google Scholar] [CrossRef]
- Freche, E.; Gieng, J.; Pignotti, G.; Ibrahim, S.A.; Feng, X. Applications of lemon or cinnamon essential oils in strawberry fruit preservation: A review. J. Food Process Preserv. 2022, 46, e16526. [Google Scholar] [CrossRef]
- Tran, H.M.; Le, D.H.; Nguyen, V.T.; Vu, T.X.; Thanh, N.T.K.; Giang, D.H.; Dat, N.T.; Pham, H.T.; Muller, M.; Nguyen, H.Q.; et al. Penicillium digitatum as a model fungus for detecting antifungal activity of botanicals: An evaluation on Vietnamese medicinal plant extracts. J. Fungi 2022, 8, 956. [Google Scholar] [CrossRef]
- Zulu, L.; Gao, H.S.; Zhu, Y.J.; Wu, H.M.; Xie, Y.J.; Liu, X.Y.; Yao, H.F.; Rao, Q. Antifungal effects of seven plant essential oils against Penicillium digitatum. Chem. Bil. Technol. Agric. 2023, 10, 82. [Google Scholar] [CrossRef]
- Vasconcelos, N.G.; Croda, J.; Simionatto, S. Antibacterial mechanisms of cinnamon and its constituents: A review. Microb. Pathog. 2018, 120, 198–203. [Google Scholar] [CrossRef] [PubMed]
- Zhang, R.F.; Cui, Y.J.; Cheng, M.; Guo, Y.L.; Wang, X.Y.; Wang, J. Antifungal activity and mechanism of cinnamon essential oil loaded into mesoporous silica nanoparticles. Ind. Crops Prod. 2021, 171, 113846. [Google Scholar] [CrossRef]
- Lai, T.F.; Sun, Y.Y.; Liu, Y.Y.; Li, R.; Chen, Y.Z.; Zhou, T. Cinnamon oil inhibits Penicillium expansum growth by disturbing the carbohydrate metabolic process. J. Fungi 2021, 7, 123. [Google Scholar] [CrossRef] [PubMed]
- Lee, J.E.; Seo, S.M.; Huh, M.J.; Lee, S.C.; Park, I.K. Reactive oxygen species mediated-antifungal activity of cinnamon bark (Cinnamomum verum) and Lemongrass (Cymbopogon citratus) essential oils and their constituents against two phytopathogenic fungi. Pestic. Biochem. Phys. 2020, 168, 104644. [Google Scholar] [CrossRef] [PubMed]
- He, J.L.; Wu, D.T.; Zhang, Q.; Chen, H.; Li, H.Y.; Han, Q.H.; Lai, X.Y.; Wang, H.; Wu, Y.X.; Yuan, J.G.; et al. Efficacy and mechanism of cinnamon essential oil on inhibition of Colletotrichum acutatum isolated from ‘Hongyang’ kiwifruit. Front. Microbiol. 2018, 9, 1288. [Google Scholar] [CrossRef] [PubMed]
- Darvishi, E.; Omidi, M.; Bushehri, A.A.S.; Golshani, A.; Smith, M.L. The antifungal eugenol perturbs dual aromiatic and branched-chain amino acid permeases in the cytoplasmic membrane of yeast. PLoS ONE 2013, 8, e76028. [Google Scholar] [CrossRef] [PubMed]
- Kwon, J.A.; Yu, C.B.; Park, H.D. Bacteriocidal effects and inhibition of cell separation of cinnamic aldehyde on Bacillus cereus. Lett. Appl. Microbiol. 2003, 37, 61–65. [Google Scholar] [CrossRef]
- Nakaune, R.; Hamamoto, H.; Imada, J.; Akutsu, K. A novel ABC transporter gene, PMR5, is involved in multidrug resistance in the phytopathogenic fungus Penicillium digitatum. Mol. Genet Genom. 2002, 267, 179–185. [Google Scholar] [CrossRef]
- Wu, Z.; Wang, S.Q.; Yuan, Y.Z.; Zhang, T.F.; Liu, J.; Liu, D.L. A novel major facilitator superfamily transporter in Penicillium digitatum (PdMFS2) is required for prochloraz resistance, conidiation and full virulence. Biotechnol. Lett. 2016, 38, 1349–1357. [Google Scholar] [CrossRef]
- Ramón-Carbonell, M.D.; Sánchez-Torres, P. Penicillium digitatum MFS transporters can display different roles during pathogen-fruit interaction. Int. J. Food Microbiol. 2021, 337, 108918. [Google Scholar] [CrossRef]
- Ramón-Carbonell, M.D.; Sánchez-Torres, P. PdSlt2 Penicillium digitatum mitogen-activated-protein kinase controls sporulation and virulence during citrus fruit infection. Fungal Biol. 2017, 121, 1063–1074. [Google Scholar] [CrossRef] [PubMed]
- Zhu, C.Y.; Wang, M.S.; Wang, W.L.; Ruan, R.X.; Ma, H.J.; Mao, C.G.; Li, H.Y. Glucosylceramides are required for mycelial growth and full virulence in Penicillium digitatum. Biochem. Bioph. Res. Commun. 2014, 455, 165–171. [Google Scholar] [CrossRef] [PubMed]
- Ma, H.J.; Sun, X.P.; Wang, M.S.; Gai, Y.P.; Chung, K.R.; Li, H.Y. The citrus postharvest pathogen depends on the PdMpkB kinase for developmental and virulence functions. Int. J. Food Microbiol. 2016, 236, 167–176. [Google Scholar] [CrossRef] [PubMed]
- Ramón-Carbonell, M.D.; Sánchez-Torres, P. Unveiling the role displayed by Penicillium digitatum PdMut3 transcription factor in pathogen-fruit interaction. J. Fungi 2021, 7, 828. [Google Scholar] [CrossRef] [PubMed]
- Li, J.; Yang, S.Z.; Li, D.M.; Peng, L.T.; Gan, G.; Pan, S.Y. The plasma membrane H+-ATPase is critical for cell growth and pathogenicity in Penicillium digitatum. Appl. Microbiol. Biotechnol. 2022, 106, 5123–5136. [Google Scholar] [CrossRef]
- Zhang, T.Y.; Sun, X.P.; Xu, Q.; Candelas, L.G.; Li, H.Y. The pH signaling transcription factor PacC is required for full virulence in Penicillium digitatum. Appl. Microbiol. Biotechnol. 2013, 97, 9087–9098. [Google Scholar] [CrossRef] [PubMed]
- Zhang, T.Y.; Xu, Q.; Sun, X.P.; Li, H.Y. The calcineurin-responsive transcription factor Crz1 is required for conidation, full virulence and DMI resistance in Penicillium digitatum. Microbiol. Res. 2013, 168, 211–222. [Google Scholar] [CrossRef] [PubMed]
- Marcet-Houben, M.; Ballester, A.R.; De la Fuente, B.; Harries, E.; Marcos, J.F.; González-Candelas, L.; Gabaldón, T. Genome sequence of the necrotrophic fungus Penicillium digitatum, the main postharvest pathogen of citrus. BMC Genom. 2012, 13, 646. [Google Scholar] [CrossRef]
- Sun, X.P.; Ruan, R.X.; Lin, L.Y.; Zhu, C.Y.; Zhang, T.Y.; Wang, M.S.; Li, H.Y.; Yu, D.L. Genomewide investigation into DNA elements and ABC transporters involved in imazalil resistance in Penicillium digitatum. FEMS Microbiol. Lett. 2013, 348, 11–18. [Google Scholar] [CrossRef][Green Version]
- Wang, M.S.; Ruan, R.X.; Li, H.Y. The completed genome sequence of the pathogenic ascomycete fungus Penicillium digitatum. Genomics 2021, 113, 439–446. [Google Scholar] [CrossRef]
- Costa, J.H.; Bazioli, J.M.; Pontes, J.G.D.M.; Fill, T.P. Penicillium digitatum infection mechanisms in citrus: What do we know so far? Fungal Biol. 2019, 123, 584–593. [Google Scholar] [CrossRef]
- Yang, Q.Y.; Qian, X.; Dhanasekaran, S.; Boateng, N.A.S.; Yan, X.L.; Zhu, H.M.; He, F.T.; Zhang, H.Y. Study on the infection mechanism of Penicillium digitatum on postharvest citrus (Citrus reticulate Blanco) based on transcriptomics. Microorganisms 2019, 7, 672. [Google Scholar] [CrossRef]
- OuYang, Q.L.; Tao, N.G.; Jing, G.X. Transcriptional profiling analysis of Penicillium digitatum, the causal agent of citrus green mold, unravels an inhibited ergosterol biosynthesis pathway in response to citral. BMC Genom. 2016, 17, 599. [Google Scholar] [CrossRef]
- Feng, G.R.; Li, X.D.; Wang, W.J.; Deng, L.L.; Zeng, K.F. Effects of peptide thanatin on the growth and transcriptome of Penicillium digitatum. Front. Microbiol. 2020, 11, 606482. [Google Scholar] [CrossRef]
- Lin, S.H.; Luo, P.; Yuan, E.; Zhu, X.D.; Zhang, B.; Wu, X.Y. Physiological and proteomic analysis of Penicllium digitatum in response to X33 antifungal extract treatment. Front. Microbiol. 2020, 11, 584331. [Google Scholar] [CrossRef]
- Lin, S.H.; Wang, Y.X.; Lu, Q.L.; Zhang, B.; Wu, X.Y. Combined transcriptome and metabolome analyses reveal the potential mechanism for the inhibition of Penicillium digitatum by X33 antimicrobial oligopeptide. Bioresour. Bioprocess. 2021, 8, 120. [Google Scholar] [CrossRef]
- Yang, R.P.; Chen, X.; Huang, Q.; Chen, C.Y.; Rengasamy, K.R.R.; Chen, J.J.; Wan, C.P. Mining RNA-seq data to depict how Penicillium digitatum shapes its transcriptome in response to nanoemulsion. Front. Nutr. 2021, 8, 724419. [Google Scholar] [CrossRef]
- Tan, X.L.; Long, C.Y.; Meng, K.X.; Shen, X.M.; Wang, Z.T.; Li, L.; Tao, N.G. Transcriptome sequencing reveals an inhibitory mechanism of Penicillium digitatum by sodium dehydroacetate on citrus fruit. Postharvest Biol. Technol. 2022, 188, 111898. [Google Scholar] [CrossRef]
- Ropero-Pérez, C.; Bolós, B.; Giner-Llorca, M.; Locascio, A.; Garrigues, S.; Gandía, M.; Manzanares, P.; Marcos, J.F. Transcriptomic profile of Penicillium digitatum reveals novel aspects of the mode of action of the antifungal protein AfpB. Microbiol. Spectr. 2023, 11, e0484622. [Google Scholar] [CrossRef]
- Rademacher, T.W.; Parekh, R.B.; Dwek, R.A. Glycobiology. Ann. Rev. Biochem. 1988, 57, 785–838. [Google Scholar] [CrossRef]
- Hildebrandt, T.M.; Nesi, A.N.; Araújo, W.; Braun, H.P. Amino acid catabolism in plants. Mol. Plant 2015, 8, 1563–1579. [Google Scholar] [CrossRef]
- Zhang, S.H.; Zeng, X.F.; Ren, M.; Mao, X.B.; Qiao, S.Y. Novel metabolic and physiological functions of branched chain amino acids: A review. J. Anim. Sci. Biotechnol. 2017, 8, 10. [Google Scholar] [CrossRef]
- Matsuki, H.; Goto, M.; Tamai, N. Membrane states of saturated glycerophospholipids: A thermodynamic study of bilayer phase transitions. Chem. Pharm. Bull. 2019, 67, 300–307. [Google Scholar] [CrossRef]
- Shadyro, O.; Samovich, S.; Edimecheva, I. Free-radical and biochemical reactions involving polar part of glycerophospholipids. Free Radic. Biol. Med. 2019, 144, 6–15. [Google Scholar] [CrossRef]
- Wang, X.F.; Li, S.; Liu, Y.; Ma, C. Redox regulated peroxisome homeostasis. Redox Biol. 2015, 4, 104–108. [Google Scholar] [CrossRef]
- Mooney, S.; Leuendorf, J.E.; Hendrickson, C.; Hellmann, H. Vitamin B6: A long known compound of surprising complexity. Molecules 2009, 14, 329–351. [Google Scholar] [CrossRef]
- Salvo, M.L.D.; Contestabile, R.; Safo, M.K. Vitamin B6 salvage enzymes: Mechanism, structure and regulation. BBA-Bioenerg. 2011, 1814, 1597–1608. [Google Scholar] [CrossRef]








| Treatment (%) | 4 h | 6 h | 8 h | 10 h | 12 h |
|---|---|---|---|---|---|
| Spore Germination (%) | |||||
| 0 | 4.33 ± 1.22 a | 36.62 ± 2.68 a | 61.51 ± 3.96 a | 82.34 ± 6.04 a | 89.02 ± 2.52 a |
| 0.010 | 2.43 ± 0.66 b | 28.50 ± 4.17 b | 37.51 ± 6.87 b | 44.12 ± 3.75 b | 58.29 ± 13.38 b |
| 0.015 | 1.80 ± 1.01 bc | 26.10 ± 3.94 bc | 33.20 ± 3.73 b | 42.61 ± 6.03 bc | 55.08 ± 5.93 b |
| 0.020 | 1.05 ± 0.41 c | 18.35 ± 4.49 c | 27.57 ± 6.72 bc | 38.28 ± 6.78 bc | 47.75 ± 5.32 b |
| 0.025 | 0.91 ± 0.42 c | 6.00 ± 1.97 d | 18.42 ± 3.09 c | 33.20 ± 4.27 c | 43.87 ± 4.56 b |
| 0.030 | 0.74 ± 0.23 c | 1.73 ± 0.60 e | 4.26 ± 1.49 d | 15.80 ± 2.74 d | 18.73 ± 4.62 c |
| 0.035 | 0.67 ± 0.44 c | 1.30 ± 0.43 e | 1.75 ± 0.78 d | 5.42 ± 1.51 e | 12.37 ± 6.53 c |
| Germ tube length (μm) | |||||
| 0 | 4.38 ± 2.82 a | 27.73 ± 6.48 a | 47.80 ± 11.72 a | 94.70 ± 16.98 a | 253.05 ± 83.76 a |
| 0.010 | 3.53 ± 1.36 a | 19.03 ± 5.45 ab | 33.36 ± 9.25 ab | 77.94 ± 10.95 a | 169.16 ± 46.30 ab |
| 0.015 | 3.60 ± 1.20 a | 19.50 ± 4.17 ab | 28.75 ± 7.81 ab | 67.64 ± 10.67 ab | 120.12 ± 34.60 bc |
| 0.020 | 3.94 ± 0.90 a | 12.88 ± 4.66 b | 26.87 ± 6.33 b | 48.56 ± 11.14 b | 92.56 ± 23.60 c |
| 0.025 | 2.87 ± 1.17 a | 5.36 ± 2.51 c | 19.07 ± 6.49 b | 39.44 ± 6.46 b | 68.81 ± 19.40 c |
| 0.030 | 3.54 ± 0.80 a | 3.59 ± 1.44 c | 6.50 ± 2.89 c | 22.03 ± 5.52 c | 36.76 ± 5.70 d |
| 0.035 | 2.64 ± 0.81 a | 2.28 ± 0.93 c | 4.14 ± 2.02 c | 15.00 ± 4.33 c | 25.50 ± 5.93 d |
Disclaimer/Publisher’s Note: The statements, opinions and data contained in all publications are solely those of the individual author(s) and contributor(s) and not of MDPI and/or the editor(s). MDPI and/or the editor(s) disclaim responsibility for any injury to people or property resulting from any ideas, methods, instructions or products referred to in the content. |
© 2024 by the authors. Licensee MDPI, Basel, Switzerland. This article is an open access article distributed under the terms and conditions of the Creative Commons Attribution (CC BY) license (https://creativecommons.org/licenses/by/4.0/).
Share and Cite
Zhou, T.; Pan, J.; Wang, J.; Yu, Q.; Zhang, P.; Lai, T. Inhibitory Properties of Cinnamon Bark Oil against Postharvest Pathogen Penicillium digitatum In Vitro. J. Fungi 2024, 10, 249. https://doi.org/10.3390/jof10040249
Zhou T, Pan J, Wang J, Yu Q, Zhang P, Lai T. Inhibitory Properties of Cinnamon Bark Oil against Postharvest Pathogen Penicillium digitatum In Vitro. Journal of Fungi. 2024; 10(4):249. https://doi.org/10.3390/jof10040249
Chicago/Turabian StyleZhou, Ting, Jingjing Pan, Jingjing Wang, Qinru Yu, Pengcheng Zhang, and Tongfei Lai. 2024. "Inhibitory Properties of Cinnamon Bark Oil against Postharvest Pathogen Penicillium digitatum In Vitro" Journal of Fungi 10, no. 4: 249. https://doi.org/10.3390/jof10040249
APA StyleZhou, T., Pan, J., Wang, J., Yu, Q., Zhang, P., & Lai, T. (2024). Inhibitory Properties of Cinnamon Bark Oil against Postharvest Pathogen Penicillium digitatum In Vitro. Journal of Fungi, 10(4), 249. https://doi.org/10.3390/jof10040249

