Endothelial Activation and Stress Index Predicts Poor Coronary Collateral Development in Chronic Total Occlusion
Abstract
1. Introduction
2. Materials and Methods
2.1. Study Design and Patient Population
2.2. Clinical and Laboratory Data Collection
2.3. Angiographic Assessment
- Grade 0, no visible collateral flow;
- Grade 1, filling of side branches without visualization of the epicardial segment;
- Grade 2, partial filling of the epicardial segment;
- Grade 3, complete filling of the epicardial segment.
2.4. Statistical Analysis
3. Results
3.1. Laboratory Findings
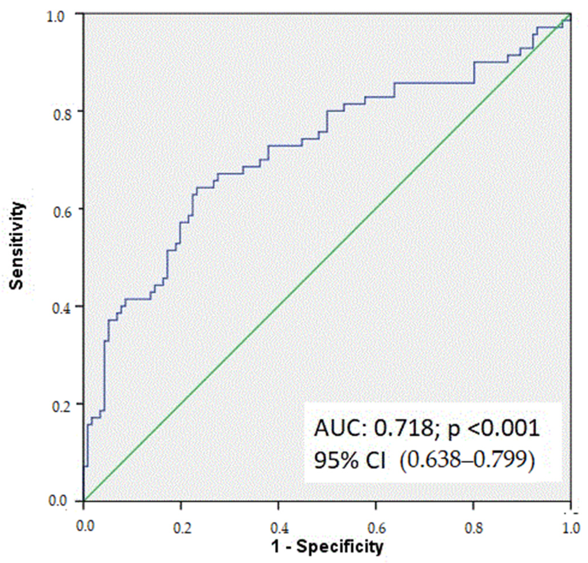
3.2. Logistic Regression and ROC Analysis
4. Discussion
Author Contributions
Funding
Institutional Review Board Statement
Informed Consent Statement
Data Availability Statement
Conflicts of Interest
References
- Bertolone, D.T.; Gallinoro, E.; Esposito, G.; Paolisso, P.; Bermpeis, K.; De Colle, C.; Fabbricatore, D.; Mileva, N.; Valeriano, C.; Munhoz, D.; et al. Contemporary Management of Stable Coronary Artery Disease. High Blood Press. Cardiovasc. Prev. 2022, 29, 207–219. [Google Scholar] [CrossRef]
- Moliterno, D.J. CTO-Chronic Total Occlusions and Continuous Training Opportunity. JACC Cardiovasc. Interv. 2017, 10, 2231–2232. [Google Scholar] [CrossRef]
- Berry, C.; Balachandran, K.P.; L’Allier, P.L.; Lesperance, J.; Bonan, R.; Oldroyd, K.G. Importance of collateral circulation in coronary heart disease. Eur. Heart J. 2007, 28, 278–291. [Google Scholar] [CrossRef]
- Lee, C.W.; Park, S.W.; Cho, G.Y.; Hong, M.K.; Kim, J.J.; Kang, D.H.; Song, J.K.; Lee, H.J.; Park, S.J. Pressure-derived fractional collateral blood flow: A primary determinant of left ventricular recovery after reperfused acute myocardial infarction. J. Am. Coll. Cardiol. 2000, 35, 949–955. [Google Scholar] [PubMed]
- Arnold, R.; Gervasoni, R.; Leclercq, F. Chronic Total Occlusions: Current Approaches, Evidence and Outcomes. J. Clin. Med. 2025, 14, 4695. [Google Scholar] [CrossRef]
- Meier, P.; Schirmer, S.H.; Lansky, A.J.; Timmis, A.; Pitt, B.; Seiler, C. The collateral circulation of the heart. BMC Med. 2013, 11, 143. [Google Scholar] [CrossRef]
- Lambiase, P.D.; Marber, M.S. Factors determining heterogeneity in coronary collateral development: A clinical perspective. Exp. Clin. Cardiol. 2002, 7, 120–127. [Google Scholar]
- Seiler, C.; Stoller, M.; Pitt, B.; Meier, P. The human coronary collateral circulation: Development and clinical importance. Eur. Heart J. 2013, 34, 2674–2682. [Google Scholar] [CrossRef] [PubMed]
- Carmeliet, P. Angiogenesis in health and disease. Nat. Med. 2003, 9, 653–660. [Google Scholar] [CrossRef] [PubMed]
- Neshat, N.; Shayestehyekta, H.; Moradi, M.; Frishman, W.H.; Aronow, W.S. Coronary Collaterals: A Comprehensive Review. Cardiol. Rev. 2025. [Google Scholar] [CrossRef]
- Akin, F.; Ayca, B.; Celik, O.; Sahin, C. Predictors of poor coronary collateral development in patients with stable coronary artery disease: Neutrophil-to-lymphocyte ratio and platelets. Anatol. J. Cardiol. 2015, 15, 218–223. [Google Scholar]
- Kadi, H.; Ozyurt, H.; Ceyhan, K.; Koc, F.; Celik, A.; Burucu, T. The relationship between high-density lipoprotein cholesterol and coronary collateral circulation in patients with coronary artery disease. J. Investig. Med. 2012, 60, 808–812. [Google Scholar] [CrossRef]
- Ornek, E.; Kurtul, A. Relationship of mean platelet volume to lymphocyte ratio and coronary collateral circulation in patients with stable angina pectoris. Coron. Artery Dis. 2017, 28, 492–497. [Google Scholar] [CrossRef]
- Sahin, I.; Karabulut, A.; Kaya, A.; Gungor, B.; Avci, İ.İ.; Okuyan, E.; Can, M.M.; Sigirci, S.; Ayca, B.; Dinckal, M.H. Increased level of red cell distribution width is associated with poor coronary collateral circulation in patients with stable coronary artery disease. Turk. Kardiyol. Dern. Ars. 2015, 43, 123–130. [Google Scholar] [PubMed]
- Li, Y.; Chen, X.; Li, S.; Ma, Y.; Li, J.; Lin, M.; Wan, J. Non-high-density lipoprotein cholesterol/high-density lipoprotein cholesterol ratio serve as a predictor for coronary collateral circulation in chronic total occlusive patients. BMC Cardiovasc. Disord. 2021, 21, 311. [Google Scholar]
- Moreno-Castano, A.B.; Salas, M.Q.; Palomo, M.; Martinez-Sanchez, J.; Rovira, M.; Fernandez-Aviles, F.; Martinez, C.; Cid, J.; Castro, P.; Escolar, G.; et al. Early vascular endothelial complications after hematopoietic cell transplantation: Role of the endotheliopathy in biomarkers and target therapies development. Front. Immunol. 2022, 13, 1050994. [Google Scholar] [CrossRef]
- Kamaci Sener, D.; Haki, C.; Koc Yamanyar, G.; Kandemir, F.N.; Kamisli, S.; Sarac, K. Association of Endothelial Activation and Stress Index with Prognosis in Posterior Circulation Infarcts Treated with Recanalization Therapy. Diagnostics 2025, 15, 3234. [Google Scholar] [CrossRef]
- Finke, D.; Hund, H.; Frey, N.; Luft, T.; Lehmann, L.H. EASIX (endothelial activation and stress index) predicts mortality in patients with coronary artery disease. Clin. Res. Cardiol. 2025, 114, 1008–1018. [Google Scholar] [PubMed]
- Estler, B.; Frohlich, H.; Tager, T.; Hund, H.; Frey, N.; Luft, T.; Frankenstein, L. Endothelial dysfunction assessed by the endothelial activation and stress index (EASIX) predicts risk of mortality in chronic heart failure patients. Int. J. Cardiol. 2025, 438, 133566. [Google Scholar] [CrossRef]
- Yin, F.; Wang, K. Independent prognostic importance of endothelial activation and stress index (EASIX) in critically ill patients with heart failure: Modulating role of inflammation. Front. Med. 2025, 12, 1560947. [Google Scholar] [CrossRef] [PubMed]
- Rentrop, K.P.; Cohen, M.; Blanke, H.; Phillips, R.A. Changes in collateral channel filling immediately after controlled coronary artery occlusion by an angioplasty balloon in human subjects. J. Am. Coll. Cardiol. 1985, 5, 587–592. [Google Scholar] [CrossRef] [PubMed]
- Peduzzi, P.; Concato, J.; Kemper, E.; Holford, T.R.; Feinstein, A.R. A simulation study of the number of events per variable in logistic regression analysis. J. Clin. Epidemiol. 1996, 49, 1373–1379. [Google Scholar] [CrossRef]
- Allahwala, U.K.; Khachigian, L.M.; Nour, D.; Ridiandres, A.; Billah, M.; Ward, M.; Weaver, J.; Bhindi, R. Recruitment and maturation of the coronary collateral circulation: Current understanding and perspectives in arteriogenesis. Microvasc. Res. 2020, 132, 104058. [Google Scholar] [CrossRef]
- Luft, T.; Benner, A.; Jodele, S.; Dandoy, C.E.; Storb, R.; Gooley, T.; Sandmaier, B.M.; Becker, N.; Radujkovic, A.; Dreger, P.; et al. EASIX in patients with acute graft-versus-host disease: A retrospective cohort analysis. Lancet Haematol. 2017, 4, e414–e423. [Google Scholar] [CrossRef]
- Li, J.; Wu, Z.; Yang, Z.; Zhang, X.; Yang, G.; Zhang, Y.; Wang, H.; Liu, X.; Sun, J. Correlation between EASIX and short- and long-term prognosis of patients with ischemic stroke. BMC Neurol. 2025, 26, 62. [Google Scholar] [CrossRef]
- Elbahlawan, L.; Khiami, M.; Blackshear, C.; Ghafoor, S.; Schaller, A.; Johnson, S.; Maron, G.; Datta, R.; Qudeimat, A.; McArthur, J. Unraveling the Easix Score: Its Association with Vasopressor Need in Critically Ill Septic Pediatric Hematology-Oncology Patients. J. Clin. Med. 2025, 14, 7105. [Google Scholar] [CrossRef]
- Escribano-Serrat, S.; Salas, M.Q.; Pascual-Izquierdo, C.; Fernandez Villalobos, M.; Gomez-Segui, I.; Fidalgo, T.; Fernandez Docampo, M.; Martinez Nieto, J.; Lamas, O.; Lozano, M.; et al. EASIX, a new tool to predict response and refractoriness in immune-mediated thrombotic thrombocytopenic purpura. Front. Immunol. 2025, 16, 1700907. [Google Scholar] [CrossRef]
- Murat, E.; Karpat, M.S.; Ozturk, Y.; Taskan, H.; Koksal, O.; Saatci Yasar, A.; Ocal, A.; Asil, S.; Yasar, S.; Celik, M.; et al. The role of the EASIX score in patients with hypertension: A cross-sectional study. Egypt. Heart J. 2025, 77, 112. [Google Scholar] [CrossRef] [PubMed]
- Xia, Y.; Liang, A.; Wang, M.; Zhang, J. Risk analysis of the association between EASIX and all-cause mortality in critical ill patients with atrial fibrillation: A retrospective study from MIMIC-IV database. Eur. J. Med. Res. 2025, 30, 344. [Google Scholar] [CrossRef] [PubMed]
- Sang, M.; Ma, X.; Zhu, F.; Zhu, C.; Ying, Z. Association between endothelial activation and stress index and 30-day mortality risk in acute myocardial infarction patients: A study based on the medical information mart for intensive care-IV database. BMC Cardiovasc. Disord. 2024, 24, 699. [Google Scholar] [CrossRef]
- Gimbrone, M.A., Jr.; Garcia-Cardena, G. Endothelial Cell Dysfunction and the Pathobiology of Atherosclerosis. Circ. Res. 2016, 118, 620–636. [Google Scholar] [CrossRef]
- Barrak, M.; Dawood, F.; Abed Shubar, S.; Al-Fahham, A. Pathophysiology, The Biochemical and Clinical Significance of Lactate Dehydrogenase. Int. J. Health Med. Res. 2024, 3, 440–443. [Google Scholar] [CrossRef]
- Wang, J.H.; Lin, Y.L.; Hsu, B.G. Endothelial dysfunction in chronic kidney disease: Mechanisms, biomarkers, diagnostics, and therapeutic strategies. Tzu Chi Med. J. 2025, 37, 125–134. [Google Scholar] [CrossRef]
- Gawaz, M.; Langer, H.; May, A.E. Platelets in inflammation and atherogenesis. J. Clin. Investig. 2005, 115, 3378–3384. [Google Scholar] [CrossRef] [PubMed]
- Prior, B.M.; Lloyd, P.G.; Ren, J.; Li, Z.; Yang, H.T.; Laughlin, M.H.; Terjung, R.L. Arteriogenesis: Role of nitric oxide. Endothelium 2003, 10, 207–216. [Google Scholar] [CrossRef]
- Rakhit, R.D.; Seiler, C.; Wustmann, K.; Zbinden, S.; Windecker, S.; Meier, B.; Eberli, F.R. Tumour necrosis factor-alpha and interleukin-6 release during primary percutaneous coronary intervention for acute myocardial infarction is related to coronary collateral flow. Coron. Artery Dis. 2005, 16, 147–152. [Google Scholar] [CrossRef] [PubMed]
- Fan, Y.; Li, S.; Li, X.L.; Zhu, C.G.; Guo, Y.L.; Wu, N.Q.; Qing, P.; Gao, Y.; Dong, Q.; Liu, G.; et al. C-reactive protein as a predictor for poor collateral circulation in patients with chronic stable coronary heart disease. Ann. Med. 2016, 48, 83–88. [Google Scholar] [CrossRef]
- Mineo, C.; Deguchi, H.; Griffin, J.H.; Shaul, P.W. Endothelial and antithrombotic actions of HDL. Circ. Res. 2006, 98, 1352–1364. [Google Scholar] [CrossRef]
- Riwanto, M.; Landmesser, U. High density lipoproteins and endothelial functions: Mechanistic insights and alterations in cardiovascular disease. J. Lipid Res. 2013, 54, 3227–3243. [Google Scholar] [CrossRef]


| Variable | Poorly Developed CCC (n = 70) | Well-Developed CCC (n = 116) | p Value |
|---|---|---|---|
| Age, years | 60 (54–70) | 62 (55–71) | 0.432 |
| Body mass index, kg/m2 | 27.74 (25.45–30.47) | 27.66 (26.15–30.43) | 0.818 |
| Male sex, n (%) | 55 (78.6) | 99 (85.3) | 0.238 |
| Smoking, n (%) | 34 (48.6) | 62 (53.4) | 0.547 |
| Diabetes mellitus, n (%) | 25 (35.7) | 47 (40.5) | 0.538 |
| Hypertension, n (%) | 41 (58.6) | 76 (65.5) | 0.352 |
| Systolic blood pressure, mmHg | 120 (110–130) | 110 (110–120) | 0.166 |
| Diastolic blood pressure, mmHg | 70 (70–80) | 70 (70–80) | 0.919 |
| Heart rate, beats/min | 75 (70–80) | 75 (68–80) | 0.173 |
| Left ventricular ejection fraction, % | 55 (50–60) | 55 (48–60) | 0.522 |
| Location of occluded artery | 0.415 | ||
| – Left anterior descending artery, n (%) | 22 (31.4) | 45 (38.8) | |
| – Circumflex artery, n (%) | 14 (20.0) | 26 (22.4) | |
| – Right coronary artery, n (%) | 34 (48.6) | 45 (38.8) | |
| Medication use | |||
| Beta-blocker, n (%) | 45 (64.3) | 77 (66.4) | 0.874 |
| Renin–angiotensin system blockers, n (%) | 34 (48.6) | 63 (54.3) | 0.454 |
| Statin, n (%) | 65 (92.9) | 102 (87.9) | 0.328 |
| Variable | Poorly Developed CCC (n = 70) | Well-Developed CCC (n = 116) | p Value |
|---|---|---|---|
| LDL cholesterol, mg/dL | 89 (63–118) | 83 (66–121) | 0.507 |
| HDL cholesterol, mg/dL | 38 (35–41) | 40 (35–45) | 0.043 |
| Triglycerides, mg/dL | 151 (109–210) | 134 (97–207) | 0.353 |
| Hemoglobin, g/dL | 13.74 ± 2.02 | 13.55 ± 1.89 | 0.523 |
| White blood cell count, ×103/µL | 7.81 (6.59–9.57) | 8.27 (7.01–10.07) | 0.258 |
| Platelet count, ×109/L | 235.09 ± 48.23 | 249.78 ± 50.80 | 0.053 |
| Neutrophil-to-lymphocyte ratio | 2.59 (2.19–3.59) | 2.41 (1.59–3.49) | 0.028 |
| Monocyte-to-HDL cholesterol ratio | 0.0158 (0.0114–0.0213) | 0.0154 (0.0117–0.0194) | 0.664 |
| Lactate dehydrogenase, U/L | 173 (137–184) | 129 (107–149) | <0.001 |
| Creatinine, mg/dL | 0.97 (0.80–1.20) | 0.91 (0.78–1.00) | 0.017 |
| EASIX score | 0.67 (0.45–0.84) | 0.44 (0.36–0.59) | <0.001 |
| Variable | Univariate OR (95% CI) | p Value | Multivariate OR (95% CI) | p Value |
|---|---|---|---|---|
| Age, years | 0.985 (0.957–1.015) | 0.329 | – | – |
| Body mass index | 0.994 (0.929–1.064) | 0.859 | – | – |
| Diabetes mellitus | 0.816 (0.442–1.506) | 0.515 | – | – |
| Hypertension | 0.744 (0.404–1.370) | 0.343 | – | – |
| LDL cholesterol | 1.002 (0.994–1.010) | 0.656 | – | – |
| HDL cholesterol | 0.948 (0.900–0.997) | 0.039 | 0.948 (0.896–1.003) | 0.064 |
| Triglycerides | 1.001 (0.997–1.005) | 0.543 | – | – |
| White blood cell count | 0.924 (0.808–1.056) | 0.245 | – | – |
| Neutrophil-to-lymphocyte ratio | 1.152 (0.960–1.383) | 0.127 | 1.146 (0.960–1.368) | 0.131 |
| Platelet count | 0.994 (0.988–1.000) | 0.055 | – | – |
| Lactate dehydrogenase | 1.028 (1.017–1.039) | <0.001 | – | – |
| Creatinine | 16.020 (3.096–82.909) | 0.001 | – | – |
| EASIX (per 1-SD increase) | 2.537 (1.751–3.675) | <0.001 | 2.536 (1.734–3.710) | <0.001 |
Disclaimer/Publisher’s Note: The statements, opinions and data contained in all publications are solely those of the individual author(s) and contributor(s) and not of MDPI and/or the editor(s). MDPI and/or the editor(s) disclaim responsibility for any injury to people or property resulting from any ideas, methods, instructions or products referred to in the content. |
© 2026 by the authors. Licensee MDPI, Basel, Switzerland. This article is an open access article distributed under the terms and conditions of the Creative Commons Attribution (CC BY) license.
Share and Cite
Yalcin, M.U.; Gurses, K.M.; Aydoğan, C.; Butun, S.; Tunçez, A.; Tezcan, H.; Ozen, Y.; Demir, K.; Aygul, N.; Kirmizigul, M.; et al. Endothelial Activation and Stress Index Predicts Poor Coronary Collateral Development in Chronic Total Occlusion. J. Cardiovasc. Dev. Dis. 2026, 13, 124. https://doi.org/10.3390/jcdd13030124
Yalcin MU, Gurses KM, Aydoğan C, Butun S, Tunçez A, Tezcan H, Ozen Y, Demir K, Aygul N, Kirmizigul M, et al. Endothelial Activation and Stress Index Predicts Poor Coronary Collateral Development in Chronic Total Occlusion. Journal of Cardiovascular Development and Disease. 2026; 13(3):124. https://doi.org/10.3390/jcdd13030124
Chicago/Turabian StyleYalcin, Muhammed Ulvi, Kadri Murat Gurses, Canan Aydoğan, Sevil Butun, Abdullah Tunçez, Hüseyin Tezcan, Yasin Ozen, Kenan Demir, Nazif Aygul, Mustafa Kirmizigul, and et al. 2026. "Endothelial Activation and Stress Index Predicts Poor Coronary Collateral Development in Chronic Total Occlusion" Journal of Cardiovascular Development and Disease 13, no. 3: 124. https://doi.org/10.3390/jcdd13030124
APA StyleYalcin, M. U., Gurses, K. M., Aydoğan, C., Butun, S., Tunçez, A., Tezcan, H., Ozen, Y., Demir, K., Aygul, N., Kirmizigul, M., Toprak Su, A. M., Erdogan, B., Karaman, T., & Altunkeser, B. B. (2026). Endothelial Activation and Stress Index Predicts Poor Coronary Collateral Development in Chronic Total Occlusion. Journal of Cardiovascular Development and Disease, 13(3), 124. https://doi.org/10.3390/jcdd13030124

