Coronary Artery Calcification in Patients with Radiographic Axial Spondyloarthritis: A Comparative Study with Matched Controls in Southwestern Sweden
Abstract
1. Introduction
2. Materials and Methods
Statistical Analysis
3. Results
3.1. Comparison of CAC Score in Patients with r-axSpA Versus Controls
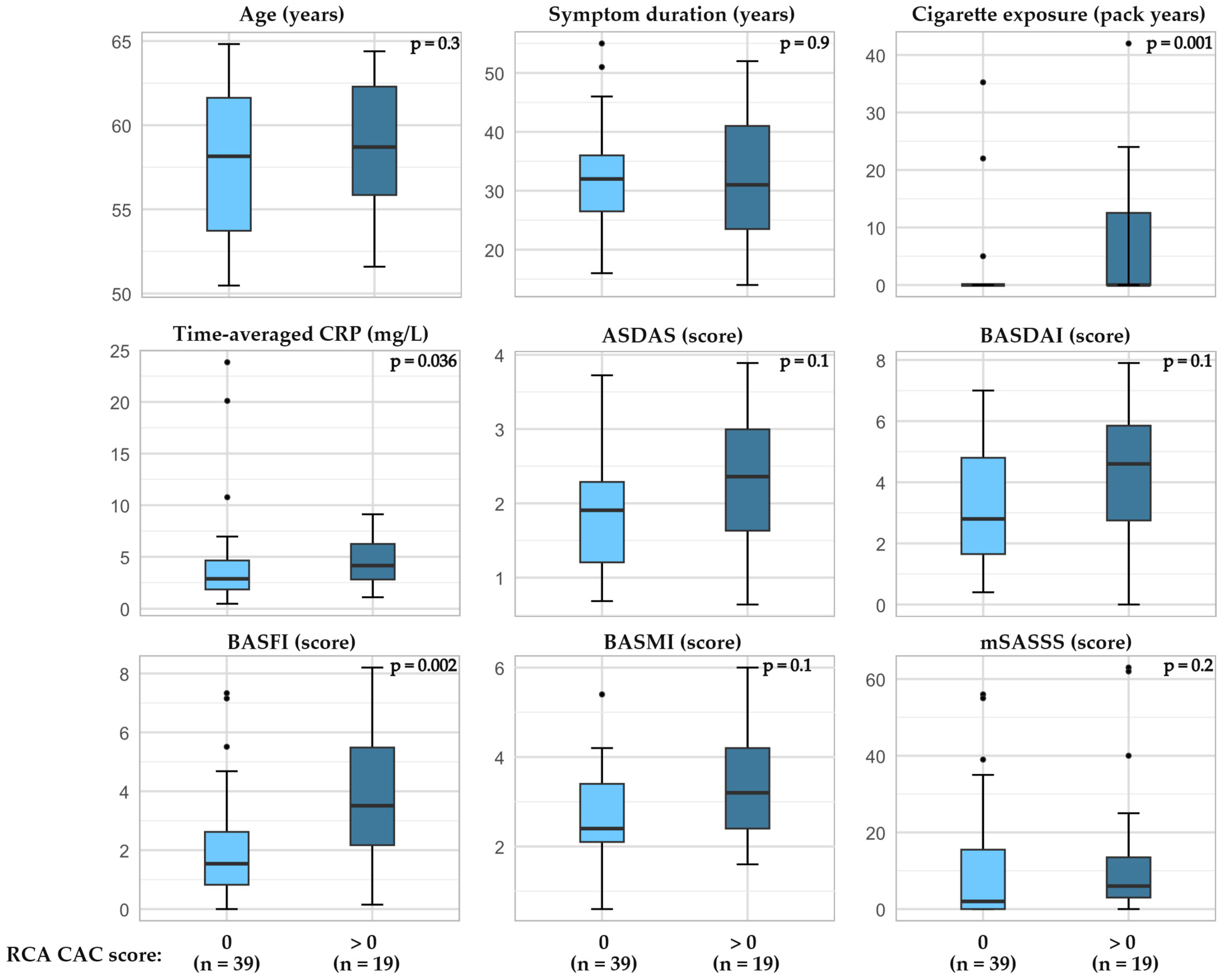
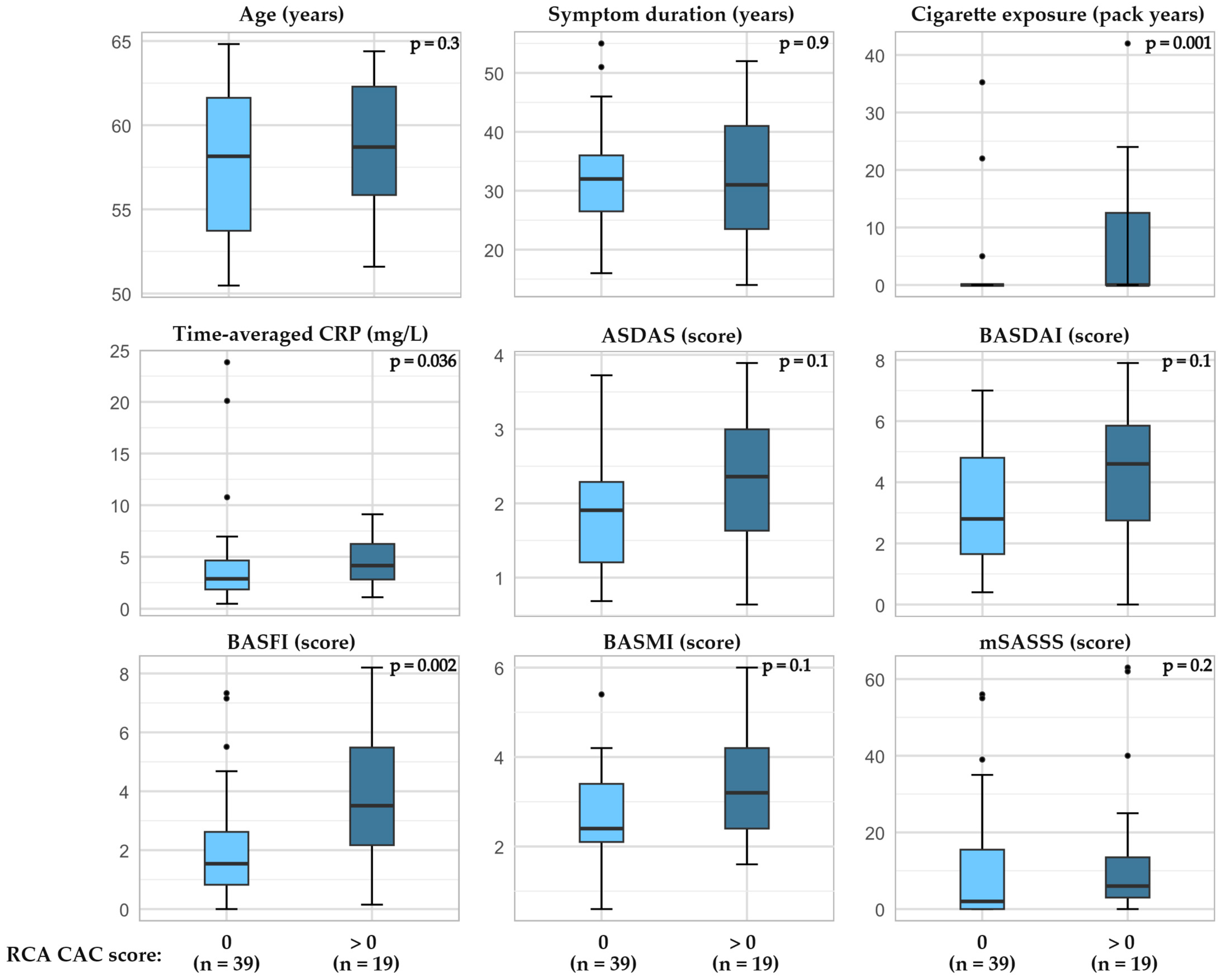
3.2. Factors Associated with Higher CAC Score in Patients with r-axSpA
4. Discussion
Strengths and Limitations
5. Conclusions
Supplementary Materials
Author Contributions
Funding
Institutional Review Board Statement
Informed Consent Statement
Data Availability Statement
Acknowledgments
Conflicts of Interest
Abbreviations
| Apo | Apolipoprotein |
| ASDAS | Ankylosing Spondylitis Disease Activity Score with CRP |
| BASDAI | Bath Ankylosing Spondylitis Disease Activity Index |
| BASFI | Bath Ankylosing Spondylitis Functional Index |
| BASMI | The Bath Ankylosing Spondylitis Metrology Index |
| bDMARD | Biological disease-modifying antirheumatic drug |
| CAC | Coronary artery calcification |
| CRP | C-reactive protein |
| csDMARD | Conventional synthetic disease-modifying antirheumatic drug |
| CT | Computed tomography |
| CVD | Cardiovascular disease |
| CX | Circumflex |
| ESR | Erythrocyte sedimentation rate |
| HLA | Human leukocyte antigen |
| hsCRP | High-sensitivity C-reactive protein |
| LAD | Left anterior descending coronary artery |
| LM | Left main coronary artery |
| LM-LAD | The left main and left anterior descending coronary artery |
| LOAS | Long-term Outcome Ankylosing Spondylitis |
| mSASSS | Modified Stoke Ankylosing Spondylitis Spinal Score |
| NSAID | Non-steroidal anti-inflammatory drug |
| r-axSpA | Radiographic axial spondyloarthritis |
| RCA | Right coronary artery |
| SCAPIS | Swedish CArdioPulmonary BioImage Study |
References
- Law, L.; Beckman Rehnman, J.; Deminger, A.; Klingberg, E.; Jacobsson, L.T.H.; Forsblad-d’Elia, H. Factors related to health-related quality of life in ankylosing spondylitis, overall and stratified by sex. Arthritis Res. Ther. 2018, 20, 284. [Google Scholar] [CrossRef] [PubMed]
- Hintenberger, R.; Affenzeller, B.; Vladychuk, V.; Pieringer, H. Cardiovascular risk in axial spondyloarthritis—A systematic review. Clin. Rheumatol. 2023, 42, 2621–2633. [Google Scholar] [CrossRef] [PubMed]
- Greenland, P.; Blaha, M.J.; Budoff, M.J.; Erbel, R.; Watson, K.E. Coronary Calcium Score and Cardiovascular Risk. J. Am. Coll. Cardiol. 2018, 72, 434–447. [Google Scholar] [CrossRef] [PubMed]
- van der Linden, S.; Valkenburg, H.A.; Cats, A. Evaluation of diagnostic criteria for ankylosing spondylitis. A proposal for modification of the New York criteria. Arthritis Rheum. 1984, 27, 361–368. [Google Scholar] [CrossRef] [PubMed]
- Klingberg, E.; Lorentzon, M.; Mellström, D.; Geijer, M.; Göthlin, J.; Hilme, E.; Hedberg, M.; Carlsten, H.; Forsblad-d’Elia, H. Osteoporosis in ankylosing spondylitis-prevalence, risk factors and methods of assessment. Arthritis Res. Ther. 2012, 14, R108. [Google Scholar] [CrossRef] [PubMed]
- Sieper, J.; Rudwaleit, M.; Baraliakos, X.; Brandt, J.; Braun, J.; Burgos-Vargas, R.; Dougados, M.; Hermann, K.G.; Landewé, R.; Maksymowych, W.; et al. The Assessment of SpondyloArthritis international Society (ASAS) handbook: A guide to assess spondyloarthritis. Ann. Rheum. Dis. 2009, 68 (Suppl. 2), ii1–ii44. [Google Scholar] [CrossRef] [PubMed]
- Agatston, A.S.; Janowitz, W.R.; Hildner, F.J.; Zusmer, N.R.; Viamonte, M., Jr.; Detrano, R. Quantification of coronary artery calcium using ultrafast computed tomography. J. Am. Coll. Cardiol. 1990, 15, 827–832. [Google Scholar] [CrossRef] [PubMed]
- Bergström, G.; Berglund, G.; Blomberg, A.; Brandberg, J.; Engström, G.; Engvall, J.; Eriksson, M.; de Faire, U.; Flinck, A.; Hansson, M.G.; et al. The Swedish CArdioPulmonary BioImage Study: Objectives and design. J. Intern. Med. 2015, 278, 645–659. [Google Scholar] [CrossRef] [PubMed]
- Rueda-Gotor, J.; Llorca, J.; Corrales, A.; Parra, J.A.; Portilla, V.; Genre, F.; Blanco, R.; Agudo, M.; Fuentevilla, P.; Expósito, R.; et al. Cardiovascular risk stratification in axial spondyloarthritis: Carotid ultrasound is more sensitive than coronary artery calcification score to detect high-cardiovascular risk axial spondyloarthritis patients. Clin. Exp. Rheumatol. 2018, 36, 73–80. [Google Scholar] [CrossRef] [PubMed]
- Piepoli, M.F.; Hoes, A.W.; Agewall, S.; Albus, C.; Brotons, C.; Catapano, A.L.; Cooney, M.T.; Corra, U.; Cosyns, B.; Deaton, C.; et al. 2016 European Guidelines on cardiovascular disease prevention in clinical practice: The Sixth Joint Task Force of the European Society of Cardiology and Other Societies on Cardiovascular Disease Prevention in Clinical Practice (constituted by representatives of 10 societies and by invited experts)Developed with the special contribution of the European Association for Cardiovascular Prevention & Rehabilitation (EACPR). Eur. Heart J. 2016, 37, 2315–2381. [Google Scholar] [CrossRef] [PubMed]
- Colaco, K.; Ocampo, V.; Ayala, A.P.; Harvey, P.; Gladman, D.D.; Piguet, V.; Eder, L. Predictive Utility of Cardiovascular Risk Prediction Algorithms in Inflammatory Rheumatic Diseases: A Systematic Review. J. Rheumatol. 2020, 47, 928–938. [Google Scholar] [CrossRef] [PubMed]
- Ozdowska, P.; Wardziak, Ł.; Kruk, M.; Kępka, C.; Kowalik, I.; Szwed, H.; Głuszko, P.; Rupiński, R.; Kwiatkowska, B.; Sikorska-Siudek, K.; et al. Increased prevalence of subclinical coronary atherosclerosis in young patients with ankylosing spondylitis. Pol. Arch. Intern. Med. 2018, 128, 455–461. [Google Scholar] [CrossRef] [PubMed]
- Dimova-Mileva, M.; Markov, M.M.; Kosturkova, M.K.; Georgiev, T.A. Preliminary insights into cardiovascular risk and erterial stiffness in patients with ankylosing spondylitis and psoriatic arthritis: A comparative study. Eur. Heart J.-Cardiovasc. Imaging 2025, 26, jeae333.402. [Google Scholar] [CrossRef]
- Min, H.K.; Kim, H.R.; Lee, S.H.; Park, S.; Park, M.; Hong, Y.S.; Kim, M.Y.; Park, S.H.; Kang, K.Y. Increased risks of aortic regurgitation and atrial fibrillation in radiographic axial spondyloarthritis patients: A 10-year nationwide cohort study. Ther. Adv. Musculoskelet. Dis. 2022, 14, 1759720x221088094. [Google Scholar] [CrossRef] [PubMed]
- Navarini, L.; Currado, D.; Marino, A.; Di Donato, S.; Biaggi, A.; Caso, F.; Costa, L.; Tasso, M.; Ruscitti, P.; Pavlych, V.; et al. Persistence of C-reactive protein increased levels and high disease activity are predictors of cardiovascular disease in patients with axial spondyloarthritis. Sci. Rep. 2022, 12, 7498. [Google Scholar] [CrossRef] [PubMed]
- Madenidou, A.V.; Mavrogeni, S.; Nikiphorou, E. Cardiovascular Disease and Cardiac Imaging in Inflammatory Arthritis. Life 2023, 13, 909. [Google Scholar] [CrossRef] [PubMed]
- Leigh, A.; McEvoy, J.W.; Garg, P.; Carr, J.J.; Sandfort, V.; Oelsner, E.C.; Budoff, M.; Herrington, D.; Yeboah, J. Coronary Artery Calcium Scores and Atherosclerotic Cardiovascular Disease Risk Stratification in Smokers. JACC Cardiovasc. Imaging 2019, 12, 852–861. [Google Scholar] [CrossRef] [PubMed]




| Patients, n = 58 Median (25p, 75p) or N (%) | Controls, n = 232 Median (25p, 75p) or N (%) | p-Value 1 | |
|---|---|---|---|
| Age (year) | 58.4 (54.4, 62.0) | 57.9 (53.9, 60.8) | 0.3 |
| Sex (male) | 30 (52) | 120 (52) | 1.0 |
| Body mass index (kg/m2) | 26.8 (23.9, 29.3) | 26.4 (23.8, 28.9) | 0.6 |
| HLA-B27+ | 48 (83) | - | |
| ASDAS (score) | 2.02 (1.32, 2.57) | - | |
| BASDAI (score) | 3.5 (1.8, 5.63) | - | |
| BASFI (score) | 2.6 (2.2, 3.8) | - | |
| BASMI (score) | 3.5 (1.8, 5.63) | - | |
| mSASSS (score) | 4 (0, 16.3) | - | |
| ESR (mm/h) | 11 (5.8, 18) | - | |
| hsCRP (mg/L) | 1.7 (1.1, 3.7) | 0.98 (0.5, 2.1) | 0.001 |
| hsCRP > 3 mg/L | 17 (29) | 41 (18) | 0.040 |
| Time-averaged CRP (mg/L) | 3.0 (1.9, 5.2) | - | |
| Symptom duration (years) | 32 (24, 38) | - | |
| Hypertension diagnosis 2 | 22 (39) | 50 (22) | 0.016 |
| Diabetes diagnosis 2 | 2 (4) | 6 (3) | 0.6 |
| Ever been a smoker | 26 (45) | 130 (56) | 0.1 |
| Apo B/A1 (ratio) | 0.6 (0.5, 0.7) | 0.6 (0.5, 0.7) | 0.2 |
| NSAID usage >2 times/w 3 | 17 (29) | - | |
| csDMARD | 10 (17) | - | |
| bDMARD | 22 (38) | - | |
| Total CAC score grading | 0.4 | ||
| None (<1) | 29 (50) | 137 (59) | |
| Minimal/mild (1–99) | 19 (33) | 66 (28) | |
| Moderate (≥100) | 10 (17) | 29 (13) | |
| Total CAC score | 0.5 (0, 73.5) | 0 (0, 19) | 0.2 |
| Mean ± SD | 82.6 ± 220 | 49.8 ± 162 | |
| CX | 0 (0, 0.3) | 0 (0, 0) | 0.1 |
| Mean ± SD | 16.3 ± 64.7 | 7.6 ± 42.2 | |
| LM-LAD | 0 (0, 20.3) | 0 (0, 0) | 0.3 |
| Mean ± SD | 52.5 ± 145 | 29.3 ± 84.1 | |
| RCA | 0 (0, 3.3) | 0 (0, 0) | 0.036 |
| Mean ± SD | 13.8 ± 40.6 | 12.9 ± 74.2 | |
Disclaimer/Publisher’s Note: The statements, opinions and data contained in all publications are solely those of the individual author(s) and contributor(s) and not of MDPI and/or the editor(s). MDPI and/or the editor(s) disclaim responsibility for any injury to people or property resulting from any ideas, methods, instructions or products referred to in the content. |
© 2025 by the authors. Licensee MDPI, Basel, Switzerland. This article is an open access article distributed under the terms and conditions of the Creative Commons Attribution (CC BY) license (https://creativecommons.org/licenses/by/4.0/).
Share and Cite
Hulander, E.; Deminger, A.; Enegren, S.; Hallström, M.; Feldthusen, C.; Fagman, E.; Angerås, O.; Zverkova Sandström, T.; Geijer, M.; Forsblad-d’Elia, H. Coronary Artery Calcification in Patients with Radiographic Axial Spondyloarthritis: A Comparative Study with Matched Controls in Southwestern Sweden. J. Cardiovasc. Dev. Dis. 2025, 12, 305. https://doi.org/10.3390/jcdd12080305
Hulander E, Deminger A, Enegren S, Hallström M, Feldthusen C, Fagman E, Angerås O, Zverkova Sandström T, Geijer M, Forsblad-d’Elia H. Coronary Artery Calcification in Patients with Radiographic Axial Spondyloarthritis: A Comparative Study with Matched Controls in Southwestern Sweden. Journal of Cardiovascular Development and Disease. 2025; 12(8):305. https://doi.org/10.3390/jcdd12080305
Chicago/Turabian StyleHulander, Erik, Anna Deminger, Sofia Enegren, Magnus Hallström, Caroline Feldthusen, Erika Fagman, Oskar Angerås, Tatiana Zverkova Sandström, Mats Geijer, and Helena Forsblad-d’Elia. 2025. "Coronary Artery Calcification in Patients with Radiographic Axial Spondyloarthritis: A Comparative Study with Matched Controls in Southwestern Sweden" Journal of Cardiovascular Development and Disease 12, no. 8: 305. https://doi.org/10.3390/jcdd12080305
APA StyleHulander, E., Deminger, A., Enegren, S., Hallström, M., Feldthusen, C., Fagman, E., Angerås, O., Zverkova Sandström, T., Geijer, M., & Forsblad-d’Elia, H. (2025). Coronary Artery Calcification in Patients with Radiographic Axial Spondyloarthritis: A Comparative Study with Matched Controls in Southwestern Sweden. Journal of Cardiovascular Development and Disease, 12(8), 305. https://doi.org/10.3390/jcdd12080305

