Abstract
Spontaneous type-1 Brugada patterns are associated with an elevated risk of major arrhythmic events, yet the relationship between varying degrees of pattern burden and the occurrence of a first major arrhythmic event remains unclear. This retrospective cohort study included 64 adult patients with a spontaneous type-1 Brugada pattern, who were identified at Mayo Clinic sites and followed for ≥12 months after the initial diagnosis. All patients underwent at least three 12-lead electrocardiograms (ECGs) within the first year. Individuals with prior major arrhythmic events were excluded. The percentage of ECGs showing a type-1 pattern was calculated and categorized as paroxysmal (<50%), persistent (50–99%), or permanent (100%). During a median follow-up of 92 months, seven patients (11%) experienced their first major arrhythmic event. Of these, one had paroxysmal, four had persistent, and two had permanent spontaneous type-1 Brugada patterns. Although statistical significance was not reached, the hazard ratios suggested a trend toward increased risk with persistent and permanent patterns compared to paroxysmal patterns. No sudden cardiac deaths occurred during follow-up. These findings suggest that a higher burden of spontaneous type-1 Brugada patterns may be associated with increased arrhythmic risk.
1. Introduction
Risk stratification in Brugada Syndrome remains challenging due to the variability in arrhythmic risk across patient populations. Current efforts focus on identifying patients at high risk of sudden cardiac death or major arrhythmic events while avoiding overtreatment in low-risk individuals. The spontaneous type-1 Brugada pattern is a well-known risk factor associated with major arrhythmic events in Brugada syndrome []. A recent study reported fluctuations in patients with spontaneous type-1 Brugada patterns during follow-up and evaluated the association between the burden of the type-1 Brugada pattern on 12-lead Holter monitoring and the history of major arrhythmic events []. However, no studies have explored the specific association between the burden of spontaneous type-1 Brugada pattern and the occurrence of first major arrhythmic events. Therefore, our study aims to define the burden of type-1 Brugada patterns and assess their association with patients’ first major arrhythmic events.
2. Methods
2.1. Study Design and Population
This retrospective cohort study included 64 patients with spontaneous type-1 Brugada pattern. All study protocols were approved by the Institutional Review Board of Mayo Clinic.
The population in this study was a part of the previously published Brugada registry at the Mayo Clinic []. In brief, this study attempted to include all adult patients (age ≥ 18 years) with a spontaneous type-1 Brugada pattern encountered at 3 hospitals and 15 community and specialty clinic sites at Mayo Clinic Campuses (Arizona: Phoenix; Scottsdale, Florida: Jacksonville; and Minnesota: Rochester) and 19 hospitals and 65 community and specialty clinic sites at Mayo Clinic Health System (Minnesota: 29 cities; Iowa: 2 cities; and Wisconsin: 18 cities).
In the original Brugada registry, the enrollment protocol started with the identification of all patients with any of the following documented keywords: ‘Brugada pattern, Brugada electrocardiogram, Brugada syndrome, type-1 Brugada pattern, or Brugada Type-1’, found in Mayo Clinic medical records, including electrocardiogram (ECG) reading results, between 1 January 1992, and 31 December 2021. We subsequently retrieved all ECGs of those patients and performed a manual review to identify patients who had at least one ECG with a type-1 Brugada pattern, according to the standard definition [], performed at Mayo Clinic. Known Brugada syndrome patients who were referred from out-of-network hospitals without an ECG performed at Mayo Clinic were excluded from the study.
The inclusion criteria of this study were as follows: (1) adults (age ≥18 years) with spontaneous type-1 Brugada pattern, (2) followed up at Mayo Clinic for ≥12 months, and (3) had ≥three 12-lead electrocardiograms documented in the first 12 months after the first spontaneous type-1 Brugada pattern diagnosis. To clarify, this study did not include patients with a type-1 Brugada pattern associated with other etiologies such as fever, exercise, electrolyte abnormalities, conductive diseases (Lyme disease, Long QT syndrome), chest contusion, and known substances and medications leading to the type-1 Brugada pattern. We excluded all patients who had experienced any major arrhythmic events prior to the first documented type-1 Brugada ECG at Mayo Clinic.
The demographic information was obtained by manually reviewing patients’ charts at time zero, which was defined as the date of the first documented ECG with the spontaneous type-1 Brugada pattern in the Mayo Clinic Network. This study followed the patients from the first documented ECG with spontaneous type-1 Brugada pattern until January 2023.
2.2. Brugada Burden
All ECGs performed at Mayo Clinic after the date of the first ECG with a type-1 Brugada pattern until the last follow-up date of each patient were retrieved and reviewed manually. The definition of the type-1 Brugada pattern was strictly followed in accordance with Heart Rhythm Society guidelines [] and consensus statement diagnostic criteria []. The burden of type-1 Brugada pattern was calculated as shown below Equation (1).
The patients were divided retrospectively into three groups based on Brugada burden: paroxysmal (<50%), persistent (≥50%), and permanent (100%).
2.3. Outcome
The main outcome of this study was the first major arrhythmic event after diagnosis of the spontaneous type-1 Brugada pattern. Major arrhythmic events were defined as sustained ventricular arrhythmias, appropriate defibrillator therapy, sudden cardiac arrest, or sudden cardiac death [].
2.4. Statistical Analysis
All continuous variables were tested for normality and were reported as a mean ± SD or median (Q1–Q3). Differences in continuous variables between 3 groups were tested using one-way analysis of variance (ANOVA) or a Kruskal–Wallis test as appropriate. Differences in categorical variables were tested using Pearson’s chi-square. Significant variables subsequently underwent pairwise post hoc testing with adjusted p values via Bonferroni correction for multiple tests.
The incidence rate per person-year was calculated by dividing the number of arrhythmic events by the total person-years of observation in each group. Poisson regression was used to compute the incidence rate ratio.
One minus the Kaplan–Meier survival function was selected to compute the cumulative probability of a patient experiencing their first arrhythmic event over the follow-up time. A Cox proportional hazards model was used to compare the time to first arrhythmic event between patients with a paroxysmal, persistent, and permanent type-1 Brugada pattern. We subsequently compared the cumulative probability of the first arrhythmic event in patients with a low Brugada burden (<50%) and a high Brugada burden (≥50%).
All statistical tests were performed by IBM SPSS Statistics version 29.0.2.0 (IBM Corporation, Armonk, NY, USA). p-values of <0.050 were considered statistically significant for all analyses.
3. Results
3.1. Patient Population and Baseline Characteristics
Between January 1992 and December 2021, a total of 110 patients with spontaneous type-1 Brugada pattern were identified at three Mayo Clinic sites (Arizona, Florida, and Rochester). Of these, 64 patients met the inclusion criteria of having at least 12 months of follow-up and a minimum of three separate 12-lead ECG recordings in the first year after diagnosis. The included patients were predominantly male (78%), with a mean age of 49.5 ± 14.7 years; the majority were White (88%), followed by Asian (6%) and Black (5%) patients (Table 1).

Table 1.
Baseline characteristics of the patients stratified by spontaneous type-1 Brugada burden.
At baseline, the distribution of type-1 Brugada pattern burden, defined by the percentage of ECGs demonstrating a spontaneous type-1 pattern over the follow-up period, was as follows: paroxysmal (<50% burden) in 19 patients (30%), persistent (50–99% burden) in 20 patients (31%), and permanent (100% burden) in 25 patients (39%).
Eight patients (12.5%) had a history of cardiac syncope and nine patients (14%) had a family history of sudden cardiac death. Eighteen patients underwent genetic testing, of whom ten (56%) tested positive for an SCN5A mutation. An implantable cardioverter-defibrillator (ICD) was placed in 16 patients (25%) for primary prevention.
3.2. Follow-Up and Major Arrhythmic Events
The median follow-up was 92 months (Q1–Q3 33–153 months). Seven patients (11%) experienced their first major arrhythmic event during follow-up, which included three sustained ventricular arrhythmias, three appropriate ICD therapies, and one sudden cardiac arrest. Among these seven patients, only one patient exhibited a paroxysmal type-1 Brugada pattern with a type-1 burden of 17%, four patients had persistent patterns (type-1 burdens ranging from 50% to 83%), and two patients had a permanent pattern. Two of the seven patients experienced two major arrhythmic events during follow-up. The type of major arrhythmic events was demonstrated in Table 2. No death occurred during follow-up.

Table 2.
Outcomes and incidences of major arrhythmic events by spontaneous type-1 Brugada burden.
The crude incidence rates of major arrhythmic events were 0.4%, 2.6%, and 2.1% per person-year in patients with paroxysmal, persistent, and permanent type-1 Brugada patterns, respectively. When compared to patients with paroxysmal type-1 Brugada pattern, the incidence rate ratios of major arrhythmic events in patients with persistent, and permanent type-1 Brugada patterns were 4.9 (95% CI: 0.6–43.0; p = 0.45) and 2.5 (95% CI: 0.2–26.7; p = 0.15), respectively.
3.3. Risk Comparison of First Major Arrhythmic Event
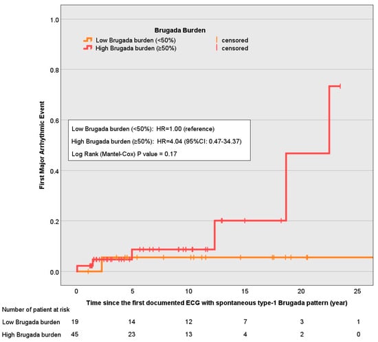
Survival analyses showed a non-significant increase in risk (p-value = 0.26) of a first major arrhythmic event among patients with persistent/permanent spontaneous Brugada Type-1 patterns compared to the paroxysmal pattern (Figure 1). In a Cox proportional hazards model, the hazard ratio (HR) for persistent patterns was 5.28 (95% CI: 0.57–48.98), and for permanent patterns it was 2.75 (95% CI: 0.24–31.16), using the paroxysmal pattern as a reference. Similarly, when dichotomized into low (<50%) versus high (≥50%) type-1 burden, there was a trend toward increased risk in the high-burden group (HR = 4.04; 95% CI: 0.47–34.37), although this did not achieve statistical significance (p-value = 0.17), Figure 2.

Figure 1.
One minus survival functions of time to first major arrhythmic event stratified by Brugada burden categories: paroxysmal (<50%), persistent (≥50% but <100%), and permanent (100%).

Figure 2.
One minus survival functions of time to first major arrhythmic event by high (≥50%) and low (<50%) Brugada burden.
4. Discussion
Spontaneous type-1 Brugada ECG pattern was described as a significant predictor of major arrhythmic events, with studies demonstrating its association with a two-fold increased risk compared to drug-induced Brugada patterns [,,]. The consistent finding holds for both asymptomatic and symptomatic Brugada individuals, and it remains a significant predictor of arrhythmic events in multivariate analysis []. However, not every patient consistently shows a spontaneous type-1 Brugada pattern when their ECGs are repeatedly analyzed [].
It is interesting that only about one-third of our patients showed a permanent type-1 Brugada pattern, one-third showed a persistent type-1 Brugada pattern, and one-third showed a paroxysmal type-1 Brugada pattern. A recent meta-analysis of 19 studies involving 5112 patients showed an inconsistent degree of association between spontaneous type-1 Brugada pattern and the risk of major arrhythmic events. The odds ratio ranged from 0.43 to 39.86, with a pooled odds ratio of 1.71 and significant heterogeneity between the included studies []. We propose that the considerable heterogeneity between studies is likely due to the different degrees of the burden of the type-1 Brugada pattern.
The concept of Brugada burden and its impact on clinical outcomes has been minimally explored, despite the established dynamic nature of the type-1 Brugada ECG pattern. The spontaneous type-1 Brugada pattern demonstrates significant daily and circadian fluctuations, with an increased prevalence in the evening and after meals [,]. Previous studies showed that some patients initially diagnosed with a drug-induced type-1 Brugada pattern revealed a spontaneous type-1 Brugada pattern during 12-lead Holter monitoring or repeated ECGs [,]. Similarly, Gray et al. reported that patients with arrhythmic events exhibited a longer burden of ST-segment elevation during 24 h Holter monitoring compared to event-free patients []. This finding suggests that quantifying Brugada burden could impact risk stratification.
The incidence rate of major arrhythmic events in our study is similar to findings from a large prospective study of asymptomatic patients with Brugada ECG patterns. In that study, the annual incidence of arrhythmic events for individuals with spontaneous type-1 Brugada ECG was reported to be 0.4% []. Similarly, our findings demonstrated that patients with paroxysmal spontaneous type-1 Brugada patterns had an incident rate matching this value at 0.4%. However, patients with persistent and permanent patterns in our cohort exhibited higher incidence rates of arrhythmic events at 2.6% and 2.1% per person-year, respectively, and higher hazard ratios of first major arrhythmic event development, although the differences were not statistically significant. Notably, one patient with a paroxysmal type-1 Brugada pattern experienced sudden cardiac arrest. While a lower Brugada burden tends to be associated with a lower incidence of major arrhythmic events, it does not entirely eliminate the risk of life-threatening arrhythmias.
Current guidelines recommend ICD implantation as a form of secondary prevention for spontaneous type-1 Brugada patients with a history of major arrhythmic events. However, the decision to implement an ICD placement for primary prevention in asymptomatic patients remains challenging []. The potential risk of sudden cardiac death must be carefully weighed against the risk of device-related complications. Our study suggests that a higher burden of spontaneous type-1 Brugada patterns may be associated with an increased risk of first major arrhythmic events. If confirmed in future studies, these findings could enhance risk stratification and guide ICD implantation decisions, helping to identify asymptomatic patients with spontaneous type-1 Brugada ECG who are most likely to benefit while minimizing unnecessary interventions.
This study has several limitations. First, although the population in this study is larger than in previously mentioned studies [,], the sample size is not large enough and lacks the statistical power to detect significant differences between groups. Based on sample size calculations for cohort studies obtained using Statcalc [], with an estimated 5.3% outcome rate in the unexposed group and 13.3% in the exposed group, a total of 525 patients with a spontaneous type-1 Brugada pattern would be required to achieve statistical significance. Due to the rarity of Brugada syndrome, a multicenter approach is necessary to enroll a sufficient sample size and achieve the statistical power needed to validate the association between Brugada pattern burden and major arrhythmic events. Second, the burden of the type-1 Brugada pattern in this study was calculated using 12-lead ECGs after diagnosis. While this provides some insight, it is less precise than 12-lead Holter monitoring, which can capture the dynamic and temporal fluctuations of the Brugada pattern more effectively. Additionally, repeated ECGs in this study did not account for the timing of recording, even though prior studies have shown that evening ECGs are more likely to detect a type-1 Brugada pattern due to increased vagal tone in the evening. Another limitation is the predominantly White patient population, which limits the generalizability of our findings to other ethnic groups. Finally, the shorter follow-up duration in the permanent type-1 Brugada pattern group restricted our ability to detect the first arrhythmic events. Despite these limitations, this study serves as a pilot study for the Brugada burden and its impact on major arrhythmic outcome.
5. Conclusions
Our study showed possible association trends between the burden of 50% or more type-1 Brugada patterns and the first major arrhythmic events. A larger study with 12-lead Holter monitoring with a long-term follow-up is needed to confirm this observation. This study could lead to a new definition of spontaneous type-1, as it informs the classification of paroxysmal (<50%), persistent (≥50%), and permanent (100%) type-1 Brugada patterns to facilitate a better prognostic evaluation.
Author Contributions
Conceptualization, P.R. and D.S.; methodology, P.R.; investigation, data curation and validation, T.Y., P.R. and N.K.; formal analysis, T.Y. and P.R.; writing—original draft preparation, T.Y. and P.R.; writing—review and editing, W.-K.S. and D.S.; visualization, T.Y.; supervision, W.-K.S. and D.S. All authors have read and agreed to the published version of the manuscript.
Funding
This research received no external funding.
Institutional Review Board
This study was conducted in accordance with the Declaration of Helsinki, and the protocol was approved by the Institutional Review Board of Mayo Clinic, study ID 20-007290, on 27 August 2020. The Institutional Review Board determined that the research posed minimal risk to participants.
Informed Consent Statement
Informed consent was waived because this study involved retrospective observational analysis of de-identified clinical records and did not require any additional contact or intervention with patients.
Data Availability Statement
The datasets presented in this article are not readily available because the data are part on multiple ongoing studies. Requests to access the datasets should be directed D.S.
Conflicts of Interest
The authors declare no conflicts of interest.
References
- Antzelevitch, C.; Yan, G.X.; Ackerman, M.J.; Borggrefe, M.; Corrado, D.; Guo, J.; Gussak, I.; Hasdemir, C.; Horie, M.; Huikuri, H.; et al. J-Wave syndromes expert consensus conference report: Emerging concepts and gaps in knowledge. Heart Rhythm 2016, 13, e295–e324. [Google Scholar] [CrossRef]
- Gray, B.; Kirby, A.; Kabunga, P.; Freedman, S.B.; Yeates, L.; Kanthan, A.; Medi, C.; Keech, A.; Semsarian, C.; Sy, R.W. Twelve-lead ambulatory electrocardiographic monitoring in Brugada syndrome: Potential diagnostic and prognostic implications. Heart Rhythm 2017, 14, 866–874. [Google Scholar] [CrossRef] [PubMed]
- Rattanawong, P.; Mead-Harvey, C.; Fatunde, O.A.; Van Der Walt, C.; Ko, N.K.; Hooke, P.; Yinadsawaphan, T.; Kulthamrongsri, N.; Shen, W.K.; Sorajja, D. Prevalence and Incidence of Type 1 Brugada Pattern: A 30-Year Experience at Mayo Clinic. Mayo Clin. Proc. 2024, 100, 80–93. [Google Scholar] [CrossRef] [PubMed]
- Al-Khatib, S.M.; Stevenson, W.G.; Ackerman, M.J.; Bryant, W.J.; Callans, D.J.; Curtis, A.B.; Deal, B.J.; Dickfeld, T.; Field, M.E.; Fonarow, G.C.; et al. 2017 AHA/ACC/HRS guideline for management of patients with ventricular arrhythmias and the prevention of sudden cardiac death: A Report of the American College of Cardiology/American Heart Association Task Force on Clinical Practice Guidelines and the Heart Rhythm Society. Heart Rhythm 2018, 15, e73–e189. [Google Scholar] [CrossRef]
- Priori, S.G.; Wilde, A.A.; Horie, M.; Cho, Y.; Behr, E.R.; Berul, C.; Blom, N.; Brugada, J.; Chiang, C.E.; Huikuri, H.; et al. HRS/EHRA/APHRS expert consensus statement on the diagnosis and management of patients with inherited primary arrhythmia syndromes: Document endorsed by HRS, EHRA, and APHRS in May 2013 and by ACCF, AHA, PACES, and AEPC in June 2013. Heart Rhythm 2013, 10, 1932–1963. [Google Scholar] [CrossRef]
- Probst, V.; Veltmann, C.; Eckardt, L.; Meregalli, P.G.; Gaita, F.; Tan, H.L.; Babuty, D.; Sacher, F.; Giustetto, C.; Schulze-Bahr, E.; et al. Long-term prognosis of patients diagnosed with Brugada syndrome: Results from the FINGER Brugada Syndrome Registry. Circulation 2010, 121, 635–643. [Google Scholar] [CrossRef] [PubMed]
- Rattanawong, P.; Mattanapojanat, N.; Mead-Harvey, C.; Van Der Walt, C.; Kewcharoen, J.; Kanitsoraphan, C.; Vutthikraivit, W.; Prasitlumkum, N.; Putthapiban, P.; Chintanavilas, K.; et al. Predicting arrhythmic event score in Brugada syndrome: Worldwide pooled analysis with internal and external validation. Heart Rhythm 2023, 20, 1358–1367. [Google Scholar] [CrossRef] [PubMed]
- Gaita, F.; Cerrato, N.; Saglietto, A.; Caponi, D.; Calo, L.; Giustetto, C. The Brugada syndrome: Risk stratification. Eur. Heart J. Suppl. 2023, 25, C27–C31. [Google Scholar] [CrossRef]
- Sieira, J.; Conte, G.; Ciconte, G.; Chierchia, G.B.; Casado-Arroyo, R.; Baltogiannis, G.; Di Giovanni, G.; Saitoh, Y.; Julia, J.; Mugnai, G.; et al. A score model to predict risk of events in patients with Brugada Syndrome. Eur. Heart J. 2017, 38, 1756–1763. [Google Scholar] [CrossRef] [PubMed]
- Veltmann, C.; Schimpf, R.; Echternach, C.; Eckardt, L.; Kuschyk, J.; Streitner, F.; Spehl, S.; Borggrefe, M.; Wolpert, C. A prospective study on spontaneous fluctuations between diagnostic and non-diagnostic ECGs in Brugada syndrome: Implications for correct phenotyping and risk stratification. Eur. Heart J. 2006, 27, 2544–2552. [Google Scholar] [CrossRef] [PubMed]
- Mizumaki, K.; Fujiki, A.; Tsuneda, T.; Sakabe, M.; Nishida, K.; Sugao, M.; Inoue, H. Vagal activity modulates spontaneous augmentation of ST elevation in the daily life of patients with Brugada syndrome. J. Cardiovasc. Electrophysiol. 2004, 15, 667–673. [Google Scholar] [CrossRef] [PubMed]
- Tatsumi, H.; Takagi, M.; Nakagawa, E.; Yamashita, H.; Yoshiyama, M. Risk stratification in patients with Brugada syndrome: Analysis of daily fluctuations in 12-lead electrocardiogram (ECG) and signal-averaged electrocardiogram (SAECG). J. Cardiovasc. Electrophysiol. 2006, 17, 705–711. [Google Scholar] [CrossRef]
- Shimeno, K.; Takagi, M.; Maeda, K.; Tatsumi, H.; Doi, A.; Yoshiyama, M. Usefulness of multichannel Holter ECG recording in the third intercostal space for detecting type 1 Brugada ECG: Comparison with repeated 12-lead ECGs. J. Cardiovasc. Electrophysiol. 2009, 20, 1026–1031. [Google Scholar] [CrossRef]
- Gaita, F.; Cerrato, N.; Giustetto, C.; Martino, A.; Bergamasco, L.; Millesimo, M.; Barbonaglia, L.; Carvalho, P.; Caponi, D.; Saglietto, A.; et al. Asymptomatic Patients With Brugada ECG Pattern: Long-Term Prognosis From a Large Prospective Study. Circulation 2023, 148, 1543–1555. [Google Scholar] [CrossRef] [PubMed]
- Krahn, A.D.; Behr, E.R.; Hamilton, R.; Probst, V.; Laksman, Z.; Han, H.C. Brugada Syndrome. JACC Clin. Electrophysiol. 2022, 8, 386–405. [Google Scholar] [CrossRef] [PubMed]
- Khaled Fahim, N.; Negida, A. Sample Size Calculation Guide—Part 2: How to Calculate the Sample Size for an Independent Cohort Study. Adv. J. Emerg. Med. 2019, 3, e12. [Google Scholar] [CrossRef] [PubMed]
Disclaimer/Publisher’s Note: The statements, opinions and data contained in all publications are solely those of the individual author(s) and contributor(s) and not of MDPI and/or the editor(s). MDPI and/or the editor(s) disclaim responsibility for any injury to people or property resulting from any ideas, methods, instructions or products referred to in the content. |
© 2025 by the authors. Licensee MDPI, Basel, Switzerland. This article is an open access article distributed under the terms and conditions of the Creative Commons Attribution (CC BY) license (https://creativecommons.org/licenses/by/4.0/).