Comparisons of Drug-Eluting Balloon versus Drug-Eluting Stent in the Treatment of Young Patients with Acute Myocardial Infarction
Abstract
1. Introduction
2. Methods
2.1. Study Design and Population
2.2. Interventional Procedure
2.3. Endpoints and Definitions
2.4. Clinical Follow-Up
2.5. Statistical Analysis
3. Results
4. Discussion
5. Limitations
6. Conclusions
Supplementary Materials
Author Contributions
Funding
Institutional Review Board Statement
Informed Consent Statement
Data Availability Statement
Conflicts of Interest
References
- Arora, S.; Stouffer, G.A.; Kucharska-Newton, A.M.; Qamar, A.; Vaduganathan, M.; Pandey, A.; Mph, D.L.B.; Caughey, M.C. Twenty Year Trends and Sex Differences in Young Adults Hospitalized With Acute Myocardial Infarction. Circulation 2019, 139, 1047–1056. [Google Scholar] [CrossRef] [PubMed]
- Gulati, R.; Behfar, A.; Narula, J.; Kanwar, A.; Lerman, A.; Cooper, L.; Singh, M. Acute Myocardial Infarction in Young Individuals. Mayo Clin. Proc. 2020, 95, 136–156. [Google Scholar] [CrossRef] [PubMed]
- Rallidis, L.S.; Xenogiannis, I.; Brilakis, E.S.; Bhatt, D.L. Causes, Angiographic Characteristics, and Management of Premature Myocardial Infarction: JACC State-of-the-Art Review. J. Am. Coll. Cardiol. 2022, 79, 2431–2449. [Google Scholar] [CrossRef] [PubMed]
- DeFilippis, E.M.; Collins, B.L.; Singh, A.; Biery, D.W.; Fatima, A.; Qamar, A.; Berman, A.N.; Gupta, A.; Cawley, M.; Wood, M.J.; et al. Women who experience a myocardial infarction at a young age have worse outcomes compared with men: The Mass General Brigham YOUNG-MI registry. Eur. Heart J. 2020, 41, 4127–4137. [Google Scholar] [CrossRef]
- Kerola, A.M.; Palomäki, A.; Rautava, P.; Kytö, V. Less revascularization in young women but impaired long-term outcomes in young men after myocardial infarction. Eur. J. Prev. Cardiol. 2022, 29, 1437–1445. [Google Scholar] [CrossRef] [PubMed]
- Winter, M.-P.; Blessberger, H.; Alimohammadi, A.; Pavo, N.; Huber, K.; Wojta, J.; Lang, I.M.; Wiesbauer, F.; Goliasch, G. Long-term outcome and risk assessment in premature acute myocardial infarction: A 10-year follow-up study. Int. J. Cardiol. 2017, 240, 37–42. [Google Scholar] [CrossRef]
- Minhas, A.M.K.; Awan, M.U.; Raza, M.; Virani, S.S.; Sharma, G.; Blankstein, R.; Blaha, M.J.; Al-Kindi, S.G.; Kaluksi, E.; Nasir, K.; et al. Clinical and Economic Burden of Percutaneous Coronary Intervention in Hospitalized Young Adults in the United States, 2004–2018. Curr. Probl. Cardiol. 2022, 47, 101070. [Google Scholar] [CrossRef]
- Wu, M.; Wang, W.; Zhang, X.; Li, J. The prevalence of acute stress disorder after acute myocardial infarction and its psychosocial risk factors among young and middle-aged patients. Sci. Rep. 2022, 12, 7675. [Google Scholar] [CrossRef]
- Neumann, F.J.; Sousa-Uva, M.; Ahlsson, A.; Alfonso, F.; Banning, A.P.; Benedetto, U.; Byrne, R.A.; Collet, J.P.; Falk, V.; Head, S.J.; et al. 2018 ESC/EACTS Guidelines on myocardial revascularization. Eur. Heart J. 2019, 40, 87–165. [Google Scholar] [CrossRef]
- Kuramitsu, S.; Sonoda, S.; Ando, K.; Otake, H.; Natsuaki, M.; Anai, R.; Honda, Y.; Kadota, K.; Kobayashi, Y.; Kimura, T. Drug-eluting stent thrombosis: Current and future perspectives. Cardiovasc. Interv. Ther. 2021, 36, 158–168. [Google Scholar] [CrossRef]
- Park, K.W.; Hwang, S.-J.; Kwon, D.-A.; Oh, B.-H.; Park, Y.-B.; Chae, I.-H.; Gwon, H.-C.; Park, S.-J.; Seung, K.B.; Ahn, T.; et al. Characteristics and predictors of drug-eluting stent thrombosis: Results from the multicenter ‘Korea Stent Thrombosis (KoST)’ registry. Circ. J. 2011, 75, 1626–1632. [Google Scholar] [CrossRef]
- Waksman, R.; Kirtane, A.J.; Torguson, R.; Cohen, D.J.; Ryan, T.; Räber, L.; Applegate, R.; Waxman, S.; Gordon, P.; Kaneshige, K.; et al. Correlates and outcomes of late and very late drug-eluting stent thrombosis: Results from DESERT (International Drug-Eluting Stent Event Registry of Thrombosis). JACC Cardiovasc. Interv. 2014, 7, 1093–1102. [Google Scholar] [CrossRef] [PubMed]
- Zhang, P. Study of Anxiety/Depression in Patients with Coronary Heart Disease After Percutaneous Coronary Intervention. Cell Biochem. Biophys. 2015, 72, 503–507. [Google Scholar] [CrossRef] [PubMed]
- Jeger, R.V.; Eccleshall, S.; Wan Ahmad, W.A.; Ge, J.; Poerner, T.C.; Shin, E.-S.; Alfonso, F.; Latib, A.; Ong, P.J.; Rissanen, T.T.; et al. Drug-Coated Balloons for Coronary Artery Disease: Third Report of the International DCB Consensus Group. JACC Cardiovasc. Interv. 2020, 13, 1391–1402. [Google Scholar] [CrossRef] [PubMed]
- Buccheri, D.; Lombardo, R.M.; Cortese, B. Drug-coated balloons for coronary artery disease: Current concepts and controversies. Future Cardiol. 2019, 15, 437–454. [Google Scholar] [CrossRef]
- Garcia-Garcia, H.M.; McFadden, E.P.; Farb, A.; Mehran, R.; Stone, G.W.; Spertus, J.; Onuma, Y.; Morel, M.-A.; Van Es, G.-A.; Zuckerman, B.; et al. Standardized End Point Definitions for Coronary Intervention Trials: The Academic Research Consortium-2 Consensus Document. Circulation 2018, 137, 2635–2650. [Google Scholar] [CrossRef]
- Ponikowski, P.; Voors, A.; Anker, S.; Bueno, H.; Cleland, J.G.F.; Coats, A.J.S.; Falk, V.; González-Juanatey, J.R.; Harjola, V.-P.; Jankowska, E.A.; et al. 2016 ESC Guidelines for the diagnosis and treatment of acute and chronic heart failure: The Task Force for the diagnosis and treatment of acute and chronic heart failure of the European Society of Cardiology (ESC) Developed with the special contribution of the Heart Failure Association (HFA) of the ESC. Eur. Heart J. 2016, 37, 2129–2200. [Google Scholar]
- Schulman, S.; Kearon, C. Definition of major bleeding in clinical investigations of antihemostatic medicinal products in non-surgical patients. J. Thromb. Haemost. 2005, 3, 692–694. [Google Scholar] [CrossRef]
- Kuramitsu, S.; Ohya, M.; Shinozaki, T.; Otake, H.; Horie, K.; Kawamoto, H.; Yamanaka, F.; Natsuaki, M.; Shiomi, H.; Nakazawa, G.; et al. Risk Factors and Long-Term Clinical Outcomes of Second-Generation Drug-Eluting Stent Thrombosis. Circ. Cardiovasc. Interv. 2019, 12, e007822. [Google Scholar] [CrossRef]
- Sagris, M.; Antonopoulos, A.S.; Theofilis, P.; Oikonomou, E.; Siasos, G.; Tsalamandris, S.; Antoniades, C.; Brilakis, E.S.; Kaski, J.C.; Tousoulis, D. Risk factors profile of young and older patients with myocardial infarction. Cardiovasc. Res. 2022, 118, 2281–2292. [Google Scholar] [CrossRef]
- Fang, C.; Dai, J.; Zhang, S.; Wang, Y.; Wang, J.; Li, L.; Wang, Y.; Yu, H.; Wei, G.; Zhang, X.; et al. Culprit lesion morphology in young patients with ST-segment elevated myocardial infarction: A clinical, angiographic and optical coherence tomography study. Atherosclerosis 2019, 289, 94–100. [Google Scholar] [CrossRef]
- Xie, J.; Qi, J.; Mao, H.; Wang, N.; Ye, X.; Zhou, L.; Tong, G.; Yang, J.; Pan, H.; Huang, J. Coronary plaque tissue characterization in patients with premature coronary artery disease. Int. J. Cardiovasc. Imaging 2020, 36, 1003–1011. [Google Scholar] [CrossRef]
- Ruiz-García, J.; Lerman, A.; Weisz, G.; Maehara, A.; Mintz, G.S.; Fahy, M.; Xu, K.; Lansky, A.J.; Cristea, E.; Farah, T.G.; et al. Age- and gender-related changes in plaque composition in patients with acute coronary syndrome: The PROSPECT study. EuroIntervention 2012, 8, 929–938. [Google Scholar] [CrossRef] [PubMed]
- Hu, S.; Wang, C.; Zhe, C.; Zhu, Y.; Yonetsu, T.; Jia, H.; Hou, J.; Zhang, S.; Jang, I.-K.; Yu, B. Plaque erosion delays vascular healing after drug eluting stent implantation in patients with acute coronary syndrome: An In Vivo Optical Coherence Tomography Study. Catheter. Cardiovasc. Interv. 2017, 89, 592–600. [Google Scholar] [CrossRef] [PubMed]
- Hong, Y.J.; Jeong, M.H.; Kim, S.W.; Choi, Y.H.; Ma, E.H.; Ko, J.S.; Lee, M.G.; Park, K.H.; Sim, D.S.; Yoon, N.S.; et al. Relation between plaque components and plaque prolapse after drug-eluting stent implantation—Virtual histology-intravascular ultrasound. Circ. J. 2010, 74, 1142–1151. [Google Scholar] [CrossRef]
- Haine, S.; Wouters, K.; Miljoen, H.; Vandendriessche, T.; Claeys, M.; Bosmans, J.; Vrints, C. A higher volume of fibrotic tissue on virtual histology prior to coronary stent implantation predisposes to more pronounced neointima proliferation. Acta Cardiol. 2018, 73, 171–178. [Google Scholar] [CrossRef]
- Combaret, N.; Souteyrand, G.; Barber-Chamoux, N.; Malcles, G.; Amonchot, A.; Pereira, B.; Le Bivic, L.; Eschalier, R.; Trésorier, R.; Motreff, P. Management of ST-elevation myocardial infarction in young patients by limiting implantation of durable intracoronary devices and guided by optical frequency domain imaging: “proof of concept” study. EuroIntervention 2017, 13, 397–406. [Google Scholar] [CrossRef] [PubMed]
- Vos, N.S.; Fagel, N.D.; Amoroso, G.; Herrman, J.-P.R.; Patterson, M.S.; Piers, L.H.; van der Schaaf, R.J.; Slagboom, T.; Vink, M.A. Paclitaxel-Coated Balloon Angioplasty Versus Drug-Eluting Stent in Acute Myocardial Infarction: The Revelation Randomized Trial. JACC Cardiovasc. Interv. 2019, 12, 1691–1699. [Google Scholar] [CrossRef]
- Scheller, B.; Ohlow, M.-A.; Ewen, S.; Kische, S.; Rudolph, T.K.; Clever, Y.P.; Wagner, A.; Richter, S.; El-Garhy, M.; Böhm, M.; et al. Bare metal or drug-eluting stent versus drug-coated balloon in non-ST-elevation myocardial infarction: The randomised PEPCAD NSTEMI trial. EuroIntervention 2020, 15, 1527–1533. [Google Scholar] [CrossRef]
- Hui, L.; Shin, E.-S.; Jun, E.J.; Bhak, Y.; Garg, S.; Kim, T.-H.; Sohn, C.-B.; Choi, B.J.; Kun, L.; Yuan, S.L.; et al. Impact of Dissection after Drug-Coated Balloon Treatment of De Novo Coronary Lesions: Angiographic and Clinical Outcomes. Yonsei Med. J. 2020, 61, 1004–1012. [Google Scholar] [CrossRef]
- Cortese, B.; Orrego, P.S.; Agostoni, P.; Buccheri, D.; Piraino, D.; Andolina, G.; Seregni, R.G. Effect of Drug-Coated Balloons in Native Coronary Artery Disease Left with a Dissection. JACC Cardiovasc. Interv. 2015, 8, 2003–2009. [Google Scholar] [CrossRef] [PubMed]
- Iijima, R.; Kougame, N.; Hara, H.; Moroi, M.; Nakamura, M. Clinical Outcomes of Drug-Coated Balloons in Coronary Artery Disease Unsuitable for Drug-Eluting Stent Implantation. Circ. J. 2018, 82, 2025–2031. [Google Scholar] [CrossRef] [PubMed]
- Mitomo, S.; Jabbour, R.J.; Mangieri, A.; Ancona, M.; Regazzoli, D.; Tanaka, A.; Giannini, F.; Carlino, M.; Montorfano, M.; Chieffo, A.; et al. Mid-term clinical outcomes after bailout drug-eluting stenting for suboptimal drug-coated balloon results: Insights from a Milan registry. Int. J. Cardiol. 2018, 263, 17–23. [Google Scholar] [CrossRef] [PubMed]
- Paulo, M.; Sandoval, J.; Lennie, V.; Dutary, J.; Medina, M.; Gonzalo, N.; Jimenez-Quevedo, P.; Escaned, J.; Bañuelos, C.; Hernandez, R.; et al. Combined use of OCT and IVUS in spontaneous coronary artery dissection. JACC Cardiovasc. Imaging 2013, 6, 830–832. [Google Scholar] [CrossRef]
- Schroeder, S.; Baumbach, A.; Mahrholdt, H.; Haase, K.; Oberhoff, M.; Herdeg, C.; Athanasiadis, A.; Karsch, K. The impact of untreated coronary dissections on acute and long-term outcome after intravascular ultrasound guided PTCA. Eur. Heart J. 2000, 21, 137–145. [Google Scholar] [CrossRef]
- Yamamoto, T.; Sawada, T.; Uzu, K.; Takaya, T.; Kawai, H.; Yasaka, Y. Possible mechanism of late lumen enlargement after treatment for de novo coronary lesions with drug-coated balloon. Int. J. Cardiol. 2020, 321, 30–37. [Google Scholar] [CrossRef]


| Characteristic | Overall (n = 276) | DEB (n = 67) | DES (n = 209) | p Value |
|---|---|---|---|---|
| Age, years | 39.3 ± 4.1 | 38.7 ± 4.5 | 39.4 ± 4.0 | 0.23 |
| Male gender | 262 (94.9) | 66 (98.5) | 196 (93.8) | 0.20 |
| BMI, kg/m2 | 27.8 ± 4.0 | 27.9 ± 3.4 | 27.7 ± 4.2 | 0.73 |
| Overweight | 212 (76.8) | 52 (77.6) | 160 (76.6) | 0.86 |
| Hypertension | 126 (45.7) | 31 (46.3) | 95 (45.5) | 0.90 |
| Diabetes mellitus | 51 (18.5) | 15 (22.4) | 36 (17.2) | 0.34 |
| Hyperlipidemia | 62 (22.5) | 18 (26.9) | 44 (21.1) | 0.32 |
| Asthma | 5 (1.8) | 2 (3.0) | 3 (1.4) | 0.60 |
| Chronic kidney disease | 8 (2.9) | 2 (3.0) | 6 (2.9) | 1.00 |
| Stroke | 11 (4.0) | 3 (4.5) | 8 (3.8) | 0.73 |
| Current smoking | 226 (81.9) | 53 (79.1) | 173 (82.8) | 0.50 |
| Prior PCI and CABG | 4 (1.4) | 2 (3.0) | 2 (1.0) | 0.25 |
| Family history of coronary artery disease | 122 (44.2) | 27 (40.3) | 95 (45.5) | 0.46 |
| Clinical presentation at admission | ||||
| STEMI | 172 (62.3) | 32 (47.8) | 140 (67.0) | 0.01 |
| NSTEMI | 104 (37.7) | 35 (52.3) | 69 (33.3) | 0.01 |
| Admission hemodynamics | ||||
| Systolic blood pressure, mmHg | 128.8 ± 19.7 | 130.1 ± 19.7 | 128.3 ± 19.7 | 0.52 |
| Diastolic blood pressure, mmHg | 79.0 ± 14.6 | 80.7 ± 14.4 | 78.5 ± 14.6 | 0.29 |
| Heart rate, bpm | 80.8 ± 16.6 | 82.1 ± 12.4 | 80.4 ± 17.8 | 0.46 |
| Killip class at admission | ||||
| 1 | 194 (70.3) | 52 (77.6) | 142 (67.9) | 0.13 |
| 2–3 | 82 (29.7) | 15 (22.4) | 67 (32.1) | 0.13 |
| LVEF, % | 59.7 ± 10.4 | 58.8 ± 10.3 | 60.0 ± 10.4 | 0.39 |
| Laboratory findings at admission | ||||
| TNI, ng/mL | 16.16 (1.44, 62.42) | 10.11 (0.61, 39.62) | 16.81 (1.55, 64.90) | 0.37 |
| CKMB, ng/mL | 18.89 (2.40, 84.70) | 13.70 (1.80, 75.70) | 21.95 (2.68, 93.73) | 0.20 |
| BNP, pg/mL | 70.00 (33.00, 164.50) | 66.0 (41.0, 174.0) | 72.5 (31.25, 159.50) | 0.75 |
| ALB, g/L | 43.22 ± 5.26 | 42.77 ± 4.45 | 43.36 ± 5.49 | 0.42 |
| GLB, g/L | 27.38 ± 4.75 | 26.62 ± 4.95 | 27.62 ± 4.67 | 0.13 |
| TC, mmol/L | 5.20 ± 1.31 | 5.32 ± 1.55 | 5.16 ± 1.23 | 0.40 |
| TG, mmol/L | 2.82 ± 2.45 | 3.10 ± 2.79 | 2.73 ± 2.33 | 0.28 |
| HDL-C, mmol/L | 0.93 ± 0.22 | 0.90 ± 0.19 | 0.95 ± 0.23 | 0.10 |
| LDL-C, mmol/L | 3.43 ± 1.28 | 3.60 ± 1.57 | 3.37 ± 1.17 | 0.21 |
| LPA, mg/dL | 21.71 ± 21.11 | 24.06 ± 23.88 | 20.96 ± 20.15 | 0.30 |
| GLU, mmol/L | 8.04 ± 3.92 | 8.08 ± 3.97 | 8.03 ± 3.91 | 0.93 |
| CR, umol/L | 72.20 (64.65, 81.40) | 72.80 (62.7, 79.9) | 72.20 (65.4, 81.63) | 0.80 |
| WBC, 109/L | 10.86 ± 3.72 | 10.36 ± 3.16 | 11.02 ± 3.87 | 0.21 |
| HGB, g/L | 151.06 ± 20.08 | 151.27 ± 27.49 | 151.00 ± 17.12 | 0.92 |
| PLT, 109/L | 249.07 ± 72.73 | 250.21 ± 56.77 | 248.71 ± 77.27 | 0.88 |
| D-dimer, mg/L | 0.19 (0.13, 0.32) | 0.19 (0.12, 0.41) | 0.19 (0.14, 0.31) | 0.66 |
| FIB, mg/dL | 312.95 ± 109.22 | 335.57 ± 125.97 | 305.70 ± 102.57 | 0.08 |
| Characteristic | Overall (n = 276) | DEB Group (n = 67) | DES Group (n = 209) | p Value |
|---|---|---|---|---|
| Infarct-related artery | ||||
| Left anterior descending coronary artery | 115 (41.7) | 19 (28.4) | 96 (45.9) | 0.01 |
| Right coronary artery | 97 (35.1) | 19 (28.4) | 78 (37.3) | 0.18 |
| Left circumflex coronary artery | 64 (23.2) | 29 (43.3) | 35 (16.7) | <0.01 |
| TIMI flow grade before PCI | 0.44 | |||
| 0–1 | 183 (66.3) | 47 (70.1) | 136 (65.1) | |
| 2–3 | 93 (33.7) | 20 (29.9) | 73 (34.9) | |
| Device characteristics | ||||
| Total number | 1.0 (1.0, 2.0) | 1.0 (1.0, 1.0) | 2.0 (1.0, 2.0) | <0.01 |
| Total length, mm | 29.5 (22.00, 40.75) | 26.00 (20.00, 30.00) | 30.00 (23.5, 46.00) | <0.01 |
| Minimum diameter, mm | 3.00 (2.75, 3.50) | 2.75 (2.00, 3.00) | 3.00 (3.00, 3.50) | <0.01 |
| Maximal pressure, atm | 10.28 ± 1.86 | 9.31 ± 1.84 | 10.58 ± 1.76 | <0.01 |
| Inflation time, sec | 5 (5, 20) | 60 (60, 60) | 5 (5, 10) | <0.01 |
| Thrombus aspiration | 54 (19.6) | 6 (9.0) | 48 (23.0) | 0.01 |
| Intra-aortic balloon pump | 24 (8.7) | 7 (10.4) | 17 (8.1) | 0.56 |
| Glycoprotein IIb/IIIa therapy | 72 (26.1) | 15 (22.4) | 57 (27.3) | 0.92 |
| TIMI flow grade 3 post-PCI | 273 (98.9) | 66 (98.5) | 207 (99.0) | 0.57 |
| Non-infarct-related artery with stenosis > 70% | 174 (63.0) | 47 (70.1) | 127 (60.8) | 0.17 |
| Immediate complete revascularization (n = 174) | 54 (31.03) | 25 (53.2) | 29 (22.8) | <0.01 |
| Medication at discharge | ||||
| Aspirin | 276 (100.0) | 67 (100.0) | 207 (100.0) | 1.00 |
| Clopidogrel | 218 (79.0) | 56 (83.6) | 162 (77.5) | 0.29 |
| Ticagrelor | 58 (21.0) | 11 (16.4) | 47 (22.5) | 0.29 |
| Statins | 245 (88.8) | 60 (89.6) | 185 (88.5) | 0.82 |
| Beta-blockers | 207 (75.0) | 49 (73.1) | 158 (75.6) | 0.69 |
| ACEI/ARB | 161 (58.3) | 37 (55.2) | 124 (59.3) | 0.55 |
| DAPT duration | 12 (9, 12) | 6 (5, 6) | 12 (12, 12) | < 0.01 |
| Overall (n = 276) | DEB Group (n = 67) | DES Group (n = 209) | Log-Rank p Value | |
|---|---|---|---|---|
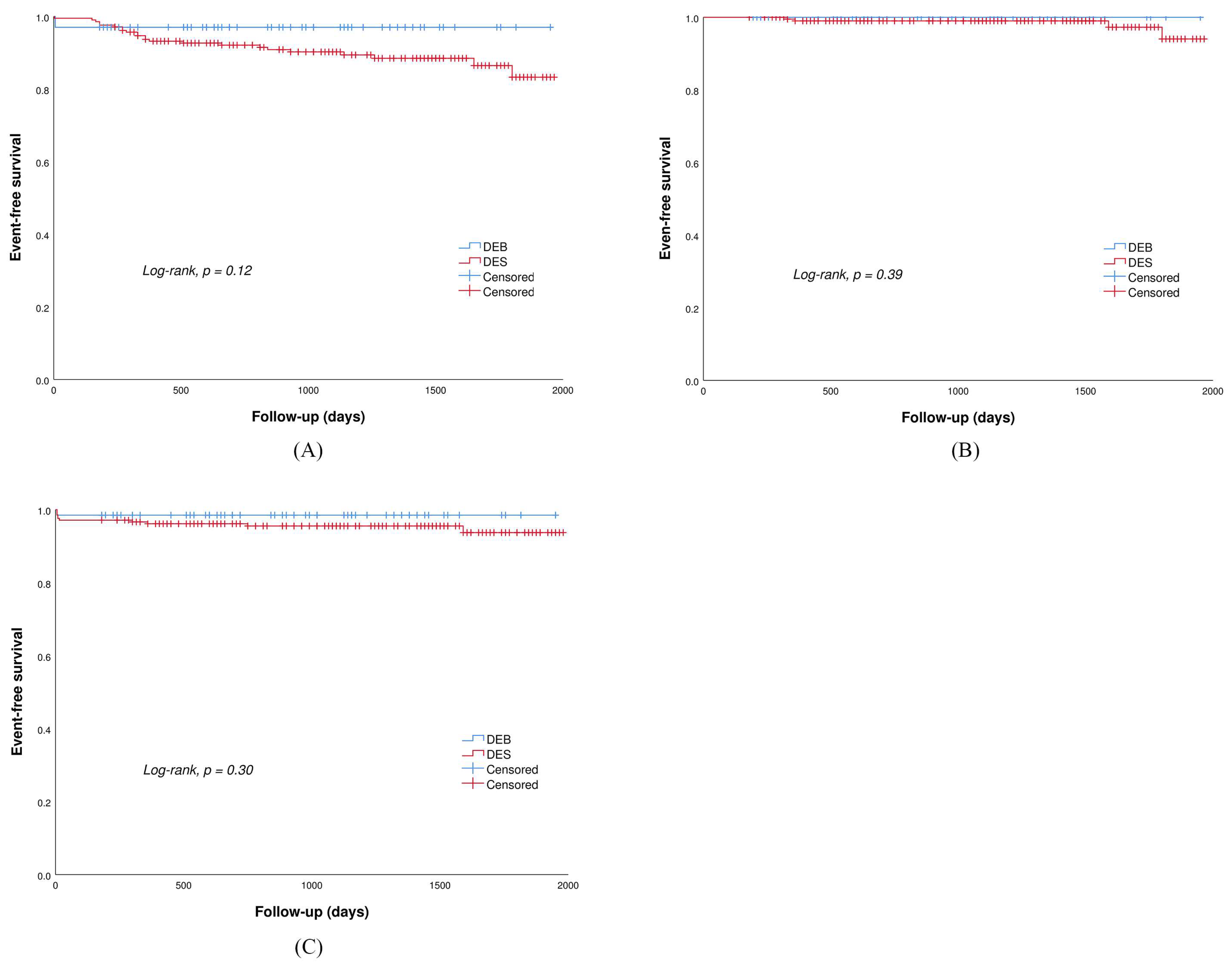
| DOCE | 25 (9.1) | 2 (3.0) | 23 (11.0) | 0.12 |
| Cardiac death | 1 (0.4) | 0 (0.0) | 1 (0.5) | 0.69 |
| Target vessel MI | 3 (1.1) | 0 (0.0) | 3 (1.4) | 0.40 |
| TLR | 21 (7.6) | 2 (3.0) | 19 (9.1) | 0.19 |
| Major bleeding events | 11 (4.0) | 1 (1.5) | 10 (4.8) | 0.30 |
| Heart failure | 4 (1.4) | 0 (0.0) | 4 (1.9) | 0.39 |
| Variables | HR | 95% CI | p Value |
|---|---|---|---|
| Age | 0.942 | 0.856, 1.037 | 0.223 |
| DEB | 0.130 | 0.016, 1.053 | 0.056 |
| NSTEMI | 3.430 | 1.364, 8.626 | 0.009 |
| Killip class ≥ 2 | 2.532 | 1.077, 5.953 | 0.033 |
| Left anterior descending artery | 0.862 | 0.370, 2.006 | 0.730 |
| TIMI grade ≤ 1 | 4.250 | 1.254, 14.406 | 0.020 |
| DEB or DES number | 1.189 | 0.336, 4.213 | 0.788 |
| DEB or DES diameter | 1.080 | 0.785, 1.485 | 0.637 |
| DEB or DES length | 0.993 | 0.951, 1.037 | 0.754 |
| Thrombus aspiration | 1.494 | 0.582, 3.837 | 0.404 |
| Glycoprotein IIb/IIIa therapy | 1.743 | 0.749, 4.055 | 0.197 |
| NIRA > 70% | 4.018 | 1.329, 12.142 | 0.014 |
| DAPT duration | 0.923 | 0.755, 1.129 | 0.436 |
Disclaimer/Publisher’s Note: The statements, opinions and data contained in all publications are solely those of the individual author(s) and contributor(s) and not of MDPI and/or the editor(s). MDPI and/or the editor(s) disclaim responsibility for any injury to people or property resulting from any ideas, methods, instructions or products referred to in the content. |
© 2023 by the authors. Licensee MDPI, Basel, Switzerland. This article is an open access article distributed under the terms and conditions of the Creative Commons Attribution (CC BY) license (https://creativecommons.org/licenses/by/4.0/).
Share and Cite
Yang, Y.-X.; He, K.-Z.; Li, J.-Y.; Fu, Y.; Li, C.; Liu, X.-M.; Wang, H.-J.; Chen, M.-L.; Su, P.-X.; Xu, L.; et al. Comparisons of Drug-Eluting Balloon versus Drug-Eluting Stent in the Treatment of Young Patients with Acute Myocardial Infarction. J. Cardiovasc. Dev. Dis. 2023, 10, 29. https://doi.org/10.3390/jcdd10010029
Yang Y-X, He K-Z, Li J-Y, Fu Y, Li C, Liu X-M, Wang H-J, Chen M-L, Su P-X, Xu L, et al. Comparisons of Drug-Eluting Balloon versus Drug-Eluting Stent in the Treatment of Young Patients with Acute Myocardial Infarction. Journal of Cardiovascular Development and Disease. 2023; 10(1):29. https://doi.org/10.3390/jcdd10010029
Chicago/Turabian StyleYang, Yi-Xing, Kui-Zheng He, Jiang-Yuan Li, Yuan Fu, Chuang Li, Xin-Ming Liu, Hong-Jiang Wang, Mu-Lei Chen, Pi-Xiong Su, Li Xu, and et al. 2023. "Comparisons of Drug-Eluting Balloon versus Drug-Eluting Stent in the Treatment of Young Patients with Acute Myocardial Infarction" Journal of Cardiovascular Development and Disease 10, no. 1: 29. https://doi.org/10.3390/jcdd10010029
APA StyleYang, Y.-X., He, K.-Z., Li, J.-Y., Fu, Y., Li, C., Liu, X.-M., Wang, H.-J., Chen, M.-L., Su, P.-X., Xu, L., & Wang, L.-F. (2023). Comparisons of Drug-Eluting Balloon versus Drug-Eluting Stent in the Treatment of Young Patients with Acute Myocardial Infarction. Journal of Cardiovascular Development and Disease, 10(1), 29. https://doi.org/10.3390/jcdd10010029
