Effects of a Proactive Driving Transition Class on Extending Safe Driving and Preparing for Life After Driving Cessation Among Older Drivers
Abstract
1. Introduction
2. Materials and Methods
2.1. Description of the Class
2.2. Study Design and Participants
2.2.1. Overall Study Design
2.2.2. Overall Participant Flow
2.3. Study 1. Effects on Awareness and Behavior
2.3.1. Participants
2.3.2. Procedures
- (1)
- Became more conscious of safe driving;
- (2)
- Felt more confident in continuing to drive;
- (3)
- Became aware of eye movements while driving;
- (4)
- Became more attentive to news about older drivers;
- (5)
- Became aware of the need for cognitive training for driving;
- (6)
- Started doing stretching or exercise;
- (7)
- Developed a greater interest in traffic laws and the driver’s license system;
- (8)
- Started thinking about when to return the driver’s license;
- (9)
- Began improving lifestyle habits (e.g., diet and daily routines);
- (10)
- Tried using public transportation to visit destinations usually reached by car;
- (11)
- Started visiting a new medical department.
2.3.3. Measures and Analysis
2.4. Study 2. Effects on Driving Behavior
2.4.1. Participants
2.4.2. Procedures
2.4.3. Measures and Analysis
3. Results
3.1. Study 1. Effects on Awareness and Behavior
3.2. Study 2. Effects on Driving Behavior
4. Discussion
4.1. Impact on Awareness and Self-Perceived Behavioral Change (Study 1)
4.2. Longitudinal Changes in On-Road Driving Skills (Study 2)
4.3. Limitations
4.4. Future Directions
5. Conclusions
Supplementary Materials
Author Contributions
Funding
Institutional Review Board Statement
Informed Consent Statement
Data Availability Statement
Conflicts of Interest
References
- Stinchcombe, A.; Hopper, S.; Mullen, N.; Bédard, M. Canadian older adults’ perceptions of transitioning from driver to non-driver. Occup. Ther. Health Care 2021, 28, 110–130. [Google Scholar] [CrossRef] [PubMed]
- Antin, J.F.; Guo, F.; Fang, Y.; Dingus, T.A.; Hankey, J.M.; Perez, M.A. The influence of functional health on seniors’ driving risk. J. Transp. Health 2017, 6, 237–244. [Google Scholar] [CrossRef]
- Maliheh, A.; Nasibeh, Z.; Yadollah, A.M.; Hossein, K.M.; Ahmad, D. Non-cognitive factors associated with driving cessation among older adults: An integrative review. Geriatr. Nurs. 2023, 49, 50–56. [Google Scholar] [CrossRef] [PubMed]
- Choi, M.; Lohman, M.C.; Mezuk, B. Trajectories of cognitive decline by driving mobility: Evidence from the health and retirement study. Int. J. Geriatr. Psychiatry 2014, 29, 447–453. [Google Scholar] [CrossRef] [PubMed]
- Chihuri, S.; Mielenz, T.J.; DiMaggio, C.J.; Betz, M.E.; DiGuiseppi, C.; Jones, V.C.; Li, G. Driving cessation and health outcomes in older adults. J. Am. Geriatr. Soc. 2016, 64, 332–341. [Google Scholar] [CrossRef]
- Hirai, H.; Ichikawa, M.; Kondo, N.; Kondo, K. The risk of functional limitations after driving cessation among older Japanese adults: The JAGES cohort study. J. Epidemiol. 2020, 30, 332–337. [Google Scholar] [CrossRef]
- Dickerson, A.E.; Stapleton, T.; Bloss, J.; Geinas, I.; Harries, P.; Choi, M.; Margot-Cattin, I.; Mazer, B.; Patomella, A.H.; Swanepoel, L.; et al. A systematic review of effective interventions and strategies to support the transition of older adults from driving to driving retirement/cessation. Innov. Aging 2024, 8, igae054. [Google Scholar] [CrossRef] [PubMed]
- Stern, R.A.; D’Ambrosio, L.A.; Mohyde, M.; Carruth, A.; Tracton-Bishop, B.; Hunter, J.C.; Daneshvar, D.H.; Coughlin, J.F. At the crossroads: Development and evaluation of a dementia caregiver group intervention to assist in driving cessation. Gerontol. Geriatr. Edu. 2008, 29, 363–382. [Google Scholar] [CrossRef]
- Dobbs, B.M.; Harper, L.A.; Wood, A. Transitioning from driving to driving cessation: The role of specialized driving cessation support groups for individuals with dementia. Top. Geriatr. Rehabil. 2009, 25, 73–86. [Google Scholar] [CrossRef]
- Liddle, J.; Haynes, M.; Pachana, N.A.; Mitchell, G.; McKenna, K.; Gustafsson, L. Effect of a group intervention to promote older adults’ adjustment to driving cessation on community mobility: A randomized controlled trial. Gerontologist 2014, 54, 409–422. [Google Scholar] [CrossRef]
- Donorfio, L.K.; D’Ambrosio, L.A.; Coughlin, J.F. To drive or not to drive, that isn’t the question—The meaning of self-regulation among older drivers. J. Saf. Res. 2009, 40, 221–226. [Google Scholar] [CrossRef] [PubMed]
- Betz, M.E.; Hill, L.L.; Fowler, N.R.; DiGuiseppi, C.; Han, S.D.; Johnson, R.L.; Meador, L.; Omeragic, F.; Peterson, R.A.; Matlock, D.D. Is it time to stop driving? A randomized clinical trial of an online decision aid for older drivers. J. Am. Geriatr. Soc. 2022, 70, 1987–1996. [Google Scholar] [CrossRef] [PubMed]
- Welch, S.A.; Ward, R.E.; Beauchamp, M.K.; Leveille, S.G.; Travison, T.; Bean, J.F. The short physical performance battery (SPPB): A quick and useful tool for fall risk stratification among older primary care patients. J. Am. Med. Dir. Assoc. 2021, 22, 1646–1651. [Google Scholar] [CrossRef] [PubMed]
- Sasaki, T.; Yamada, K.; Tsuchiya, Y.; Takimoto, M. Validation and clinical application of a developed pedal coordination assessment device for older drivers. Healthcare 2025, 13, 537. [Google Scholar] [CrossRef] [PubMed]
- Folstein, M.F.; Folstein, S.E.; McHugh, P.R. Mini-mental state. A practical method for grading the cognitive state of patients for the clinician. J. Psychiatr. Res. 1975, 12, 189–198. [Google Scholar] [CrossRef] [PubMed]
- Watanabe, D.; Yoshida, T.; Watanabe, Y.; Yamada, Y.; Miyachi, M.; Kimura, M. Validation of the Kihon Checklist and the frailty screening index for frailty defined by the phenotype model in older Japanese adults. BMC Geriatr. 2022, 22, 478. [Google Scholar] [CrossRef] [PubMed]
- Cohen, J. Statistical Power Analysis for the Behavioral Sciences, 2nd ed.; Lawrence Erlbaum Associates: Mahwah, NJ, USA, 1988; pp. 224–227. [Google Scholar]
- Romano, J.; Kromrey, J.D.; Coraggio, J.; Skowronek, J. Appropriate statistics for ordinal level data: Should we really be using t-test and Cohen’s d for evaluating group differences on the NSSE and other surveys? Annu. Meet. Fla. Assoc. Institutional Res. 2006, 177, 17. [Google Scholar]
- Correa, P.C.; Medeiros, F.A.; Abe, R.Y.; Diniz-Filho, A.; Gracitelli, C.P.B. Assessing driving risk in patients with glaucoma. Arq. Bras. Oftalmol. 2019, 82, 245–252. [Google Scholar] [CrossRef] [PubMed]
- Betz, M.E.; Scott, K.; Jones, J.; DiGuiseppi, C. Are you still driving? Meta-synthesis of older adults’ preferences for communication with healthcare providers about driving. Traffic. Inj. Prev. 2016, 17, 367–373. [Google Scholar] [CrossRef] [PubMed]
- Falkenstein, M.; Karthaus, M.; Brune-Cohrs, U. Age-related diseases and driving safety. Geriatrics 2020, 5, 80. [Google Scholar] [CrossRef]
- National Policy Agency. Traffic Statistics; National Policy Agency: Tokyo, Japan, 2024.
- Antonanzas, J.L.; Salavera, C. Validation of the metacognitive skills questionnaire for drivers of vehicles (CHMC). Front. Psychol. 2023, 14, 1054279. [Google Scholar] [CrossRef] [PubMed]
- Friedland, J.; Rudman, D.L. From confrontation to collaboration: Making a place for dialogue on seniors’ driving. Top. Geriatr. Rehabil. 2009, 25, 12–23. [Google Scholar] [CrossRef]


| Baseline | Follow-Up | |
|---|---|---|
| number (male/female) | 29 (15/14) | 29 (15/14) |
| Age ± standard deviation. (min–max, median) | 74.1 ± 3.8 (67–82, 74) | 75.3 ± 3.7 (68–83, 75) |
| living with family (yes/no) | 20/9 | 20/9 |
| driving license history | ||
| 21–30 years | 2 | |
| 31–40 years | 1 | |
| >41 years | 26 | |
| driving frequency | ||
| 6–7 days per week | 19 | 13 |
| 3–5 days per week | 9 | 14 |
| 1–2 days per week | 1 | 2 |
| driving duration | ||
| >5 h per week | 6 | 7 |
| 3–5 h per week | 12 | 10 |
| 1–3 h per week | 9 | 9 |
| 30 min–1 h per week | 1 | 2 |
| <30 min per week | 1 | 1 |
| traffic accidents in the past year * (yes/no) | 4/25 | 5/24 |
| traffic violations in the past year (yes/no) | 1/28 | 2/27 |
| Baseline Mean ± Sd (Min–Max, Median) | Follow-Up Mean ± Sd (Min–Max, Median) | p Value | Holm-Adjusted p Values | 95% Confidence Interval (Difference) | Effect Size | |||
|---|---|---|---|---|---|---|---|---|
| Kihon Checklist (/25) (points) | 3.0 ± 1.7 (0–8, 3) | 2.7 ± 1.9 (0–7, 3) | 0.422 | −1.0 | - | 0.5 | −0.098 (δ) | |
| SPPB (/12) (points) | 11.2 ± 1.0 (9–12, 12) | 11.2 ± 1.0 (9–12, 12) | 1.000 | 1.000 | −0.5 | - | 1.0 | 0.020 (δ) |
| MMSE (/30) (points) | 28.6 ± 1.5 (25–30, 29) | 28.5 ± 1.3 (25–30, 29) | 0.505 | 1.000 | −1.0 | - | 1.0 | −0.145 (δ) |
| TMT-J (s) | ||||||||
| part-A (s) | 47.4 ± 15.3 (23.5–72.4, 45.3) | 48.5 ± 17.2 (22.6–87.5, 46.7) | 0.684 | 1.000 | −4.4 | - | 6.6 | 0.076 (dz) |
| part-B (s) | 102.5 ± 45.5 (49.7–227.1, 93.8) | 112.0 ± 73.6 (44.9–405.4, 94.3) | 0.665 | 1.000 | −11.6 | - | 9.1 | 0.024 (δ) |
| DS response task (s) | ||||||||
| Simple RT (s) | 0.4 ± 0.04 (0.3–0.5, 0.37) | 0.4 ± 0.04 (0.3–0.5, 0.37) | 0.629 | 1.000 | −0.007 | - | 0.011 | 0.091 (dz) |
| Selection RT (s) | 0.8 ± 0.1 (0.6–1.0, 0.76) | 0.8 ± 0.1 (0.6–1.0, 0.73) | 0.174 | 0.694 | −0.045 | - | 0.008 | −0.259 (dz) |
| Complex RT (s) | 1.0 ± 0.1 (0.8–1.4, 0.98) | 1.0 ± 0.1 (0.8–1.4, 0.97) | 0.369 | 1.000 | −0.1 | - | 0.0 | −0.170 (dz) |
| DS driving task | ||||||||
| accident (number) * | 2.1 ± 1.8 (0–7, 2) | 1.2 ± 1.1 (0–7, 1) | 0.002 | 0.010 | −2.0 | - | −0.5 | −0.313 (δ) |
| overspeeding (%) | 8.6 ± 8.1 (0–29.5, 7.4) | 9.2 ± 7.5 (0–28.2, 9.0) | 0.741 | 1.000 | −2.7 | - | 3.7 | 0.062 (dz) |
| On-road driving skill test | ||||||||
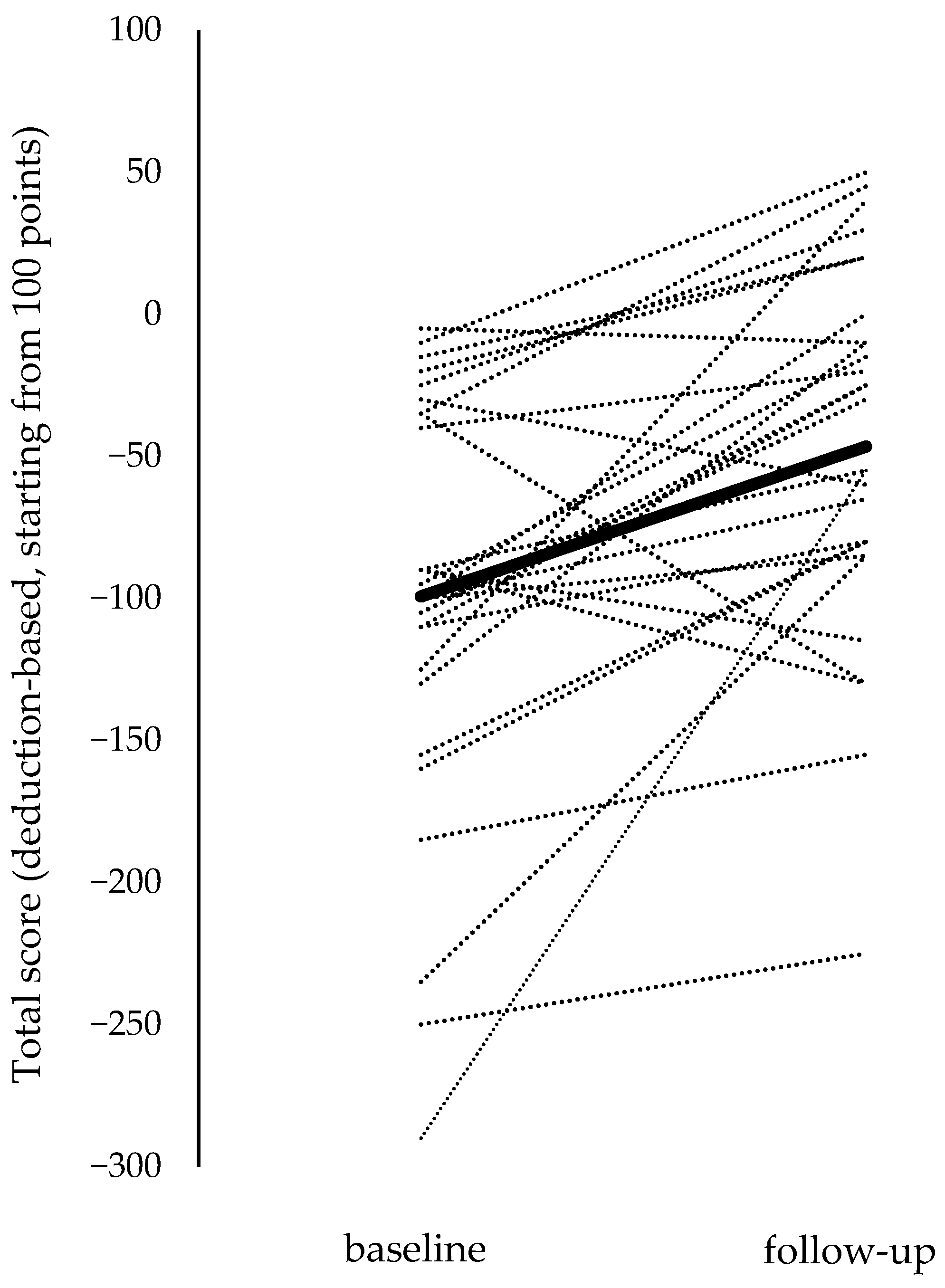
| total score (points) * | −99.3 ± 73.1 (−290–5, −100) | −46.6 ± 64.8 (−225–50, −30) | 0.0002 | 27.8 | - | 77.7 | 0.805 (dz) | |
| driving posture (count) | 0.1 ± 0.3 (0–1, 0) | 0.1 ± 0.3 (0–1, 0) | 1.000 | 1.000 | −1 | - | 1 | 0.000 (δ) |
| safety check (count) | 10.3 ± 3.1 (5–18, 9) | 8.6 ± 3.7 (2–16, 9) | 0.045 | 0.315 | −3.4 | - | −0.04 | −0.390 (dz) |
| braking (count) | 0.2 ± 0.5 (0–2, 0) | 0.03 ± 0.2 (0–1, 0) | 0.037 | 0.295 | −0.139 (δ) | |||
| steering (count) | 0.7 ± 1.1 (0–4, 0) | 1.0 ± 1.4 (0–1, 1) | 0.480 | 1.000 | −1.0 | - | 2.00 | 0.106 (δ) |
| vehicle control (count) | 3.3 ± 2.1 (0–8, 3) | 2.0 ± 1.5 (0–6, 2) | 0.019 | 0.170 | −2.3 | - | −0.2 | −0.463 (dz) |
| lane change (count) | 2.3 ± 2.4 (0–9, 2) | 1.7 ± 1.8 (0–6, 1) | 0.200 | 1.000 | −1.4 | - | 0.3 | −0.244 (dz) |
| straight driving and turning (count) | 1.2 ± 1.2 (0–4, 1) | 0.8 ± 1.0 (0–4, 1) | 0.177 | 1.000 | −0.9 | - | 0.2 | −0.257 (dz) |
| pedestrian protection (count) | 0.03 ± 0.2 (0–1, 0) | 0 | 1.000 | 1.000 | −0.034 (δ) | |||
| overspeeding (count) | 1.4 ± 1.2 (0–4, 1) | 0.7 ± 1.1 (0–4, 0) | 0.011 | 0.115 | −2.0 | - | −0.5 | −0.353 (δ) |
| failure to stop at a stop sign (count) | 0.7 ± 0.8 (0–3, 1) | 0.7 ± 0.7 (0–2, 1) | 0.704 | 1.000 | −1.0 | - | 0.5 | −0.023 (δ) |
Disclaimer/Publisher’s Note: The statements, opinions and data contained in all publications are solely those of the individual author(s) and contributor(s) and not of MDPI and/or the editor(s). MDPI and/or the editor(s) disclaim responsibility for any injury to people or property resulting from any ideas, methods, instructions or products referred to in the content. |
© 2026 by the authors. Licensee MDPI, Basel, Switzerland. This article is an open access article distributed under the terms and conditions of the Creative Commons Attribution (CC BY) license.
Share and Cite
Sasaki, T.; Yamada, K.; Yamakita, T.; Sakuta, N.; Yoshida, H.; Tominaga, T. Effects of a Proactive Driving Transition Class on Extending Safe Driving and Preparing for Life After Driving Cessation Among Older Drivers. Geriatrics 2026, 11, 31. https://doi.org/10.3390/geriatrics11020031
Sasaki T, Yamada K, Yamakita T, Sakuta N, Yoshida H, Tominaga T. Effects of a Proactive Driving Transition Class on Extending Safe Driving and Preparing for Life After Driving Cessation Among Older Drivers. Geriatrics. 2026; 11(2):31. https://doi.org/10.3390/geriatrics11020031
Chicago/Turabian StyleSasaki, Tsutomu, Kyohei Yamada, Takeshi Yamakita, Naoto Sakuta, Hajime Yoshida, and Takeshi Tominaga. 2026. "Effects of a Proactive Driving Transition Class on Extending Safe Driving and Preparing for Life After Driving Cessation Among Older Drivers" Geriatrics 11, no. 2: 31. https://doi.org/10.3390/geriatrics11020031
APA StyleSasaki, T., Yamada, K., Yamakita, T., Sakuta, N., Yoshida, H., & Tominaga, T. (2026). Effects of a Proactive Driving Transition Class on Extending Safe Driving and Preparing for Life After Driving Cessation Among Older Drivers. Geriatrics, 11(2), 31. https://doi.org/10.3390/geriatrics11020031

