Serial Measurement of Serum Pancreatic Lipase Immunoreactivity, Feline Trypsin-like Immunoreactivity, and Cobalamin Concentrations in Kittens
Abstract
:Simple Summary
Abstract
1. Introduction
2. Materials and Methods
2.1. Ethics Approval
2.2. Cats
2.3. Initial Evaluation of Cats and Inclusion Criteria
2.4. Sample Collection and Follow-Up Period
2.5. Assays
2.6. Statistical Analysis
3. Results
3.1. Cats
3.2. Serum fPLI Concentrations
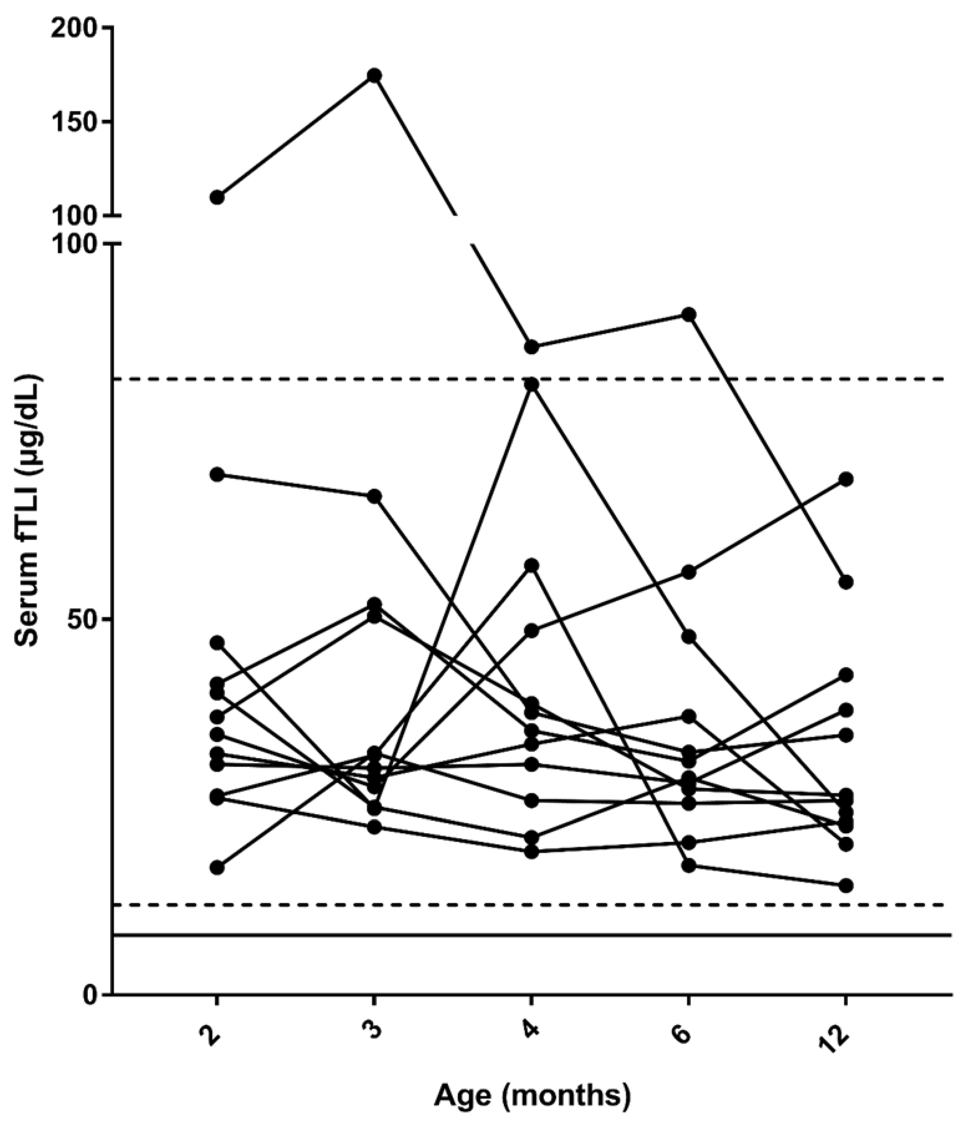
3.3. Serum fTLI Concentrations
3.4. Serum Cobalamin Concentrations
4. Discussion
5. Conclusions
Author Contributions
Funding
Institutional Review Board Statement
Informed Consent Statement
Acknowledgments
Conflicts of Interest
References
- Thompson, K.A.; Parnell, N.K.; Hohenhaus, A.E.; Moore, G.E.; Rondeau, M.P. Feline exocrine pancreatic insufficiency: 16 cases (1992–2007). J. Feline Med. Surg. 2009, 11, 935–940. [Google Scholar] [CrossRef]
- Hill, R.C.; Van Winkle, T.J. Acute necrotizing pancreatitis and acute suppurative pancreatitis in the cat. A retrospective study of 40 cases (1976–1989). J. Vet. Intern. Med. 1993, 7, 25–33. [Google Scholar] [CrossRef] [PubMed]
- Gianella, P.; Pietra, M.; Crisi, P.E.; Bergamini, P.F.; Fracassi, F.; Morini, M.; Boari, A. Evaluation of clinicopathological features in cats with chronic gastrointestinal signs. Pol. J. Vet. Sci. 2017, 20, 403–410. [Google Scholar] [PubMed]
- Auger, M.; Fazio, C.; Steiner, J.M.; Penninck, D.G.; Levine, G.J.; Griffin, J.F., IV; Springer, C.M. Abdominal ultrasound and clinicopathologic findings in 22 cats with exocrine pancreatic insufficiency. J. Vet. Intern. Med. 2021, 35, 2652–2661. [Google Scholar] [CrossRef]
- Xenoulis, P.G. Diagnosis of pancreatitis in dogs and cats. J. Small Anim. Pract. 2015, 56, 13–26. [Google Scholar] [CrossRef]
- Schnauss, F.; Hanisch, F.; Burgener, I.A. Diagnosis of feline pancreatitis with SNAP fPL and Spec fPL. J. Feline Med. Surg. 2019, 21, 700–707. [Google Scholar] [CrossRef] [PubMed]
- Lee, C.; Kathrani, A.; Maddison, J. Retrospective study of the diagnostic utility of Spec fPL in the assessment of 274 sick cats. J. Vet. Intern. Med. 2020, 34, 1406–1412. [Google Scholar] [CrossRef] [PubMed]
- Forman, M.A.; Shiroma, J.; Armstrong, P.J.; Robertson, J.E.; Buch, J. Evaluation of feline pancreas-specific lipase (Spec fPL™) for the diagnosis of feline pancreatitis. J. Vet. Intern. Med. 2009, 23, 733–734. [Google Scholar]
- Williams, D.A.; Batt, R.M. Sensitivity and specificity of radioimmunoassay of serum trypsin-like immunoreactivity for the diagnosis of canine exocrine pancreatic insufficiency. J. Am. Vet. Med. Assoc. 1988, 192, 195–201. [Google Scholar] [PubMed]
- Steiner, J.M.; Williams, D.A.; Moeller, E.M.; Melgarejo, T. Development and validation of an enzyme-linked immunosorbent assay for feline trypsin-like immunoreactivity. Am. J. Vet. Res. 2000, 61, 620–623. [Google Scholar]
- Steiner, J.M.; Williams, D.A. Serum feline trypsin-like immunoreactivity in cats with exocrine pancreatic insufficiency. J. Vet. Intern. Med. 2000, 14, 627–629. [Google Scholar] [CrossRef]
- Steiner, J.M.; Medinger, T.L.; Williams, D.A. Development and validation of a radioimmunoassay for feline trypsin-like immunoreactivity. Am. J. Vet. Res. 1996, 57, 1417–1420. [Google Scholar]
- Ruaux, C.G.; Steiner, J.M.; Williams, D.A. Early biochemical and clinical responses to cobalamin supplementation in cats with signs of gastrointestinal disease and severe hypocobalaminemia. J. Vet. Intern. Med. 2005, 19, 155–160. [Google Scholar] [CrossRef]
- Hanisch, F.; Toresson, L.; Spillmann, T. Cobalamin deficiency in dogs and cats. Tierarztl. Prax. Ausg. K Kleintiere/Heimtiere 2018, 46, 309–314. [Google Scholar]
- Fyfe, J.C. Feline intrinsic factor is pancreatic in origin and mediates ileal cobalamin absorption. J. Vet. Intern. Med. 1993, 7, 133. [Google Scholar]
- Steiner, J.M. Validation of a radioimmunoassay for feline trypsin-like immunoreactivity (FTLI) and serum cobalamin and folate concentrations in cats with exocrine pancreatic insufficiency (EPI). J. Vet. Intern. Med. 1995, 9, 193. [Google Scholar]
- Bellows, J.; Center, S.; Daristotle, L.; Estrada, A.H.; Flickinger, E.A.; Horwitz, D.F.; Lascelles, B.D.X.; Lepine, A.; Perea, S.; Scherk, M.; et al. Aging in cats: Common physical and functional changes. J. Feline Med. Surg. 2016, 18, 533–550. [Google Scholar] [CrossRef] [PubMed]
- DiGangi, B.A.; Graves, J.; Budke, C.M.; Levy, J.K.; Tucker, S.; Isaza, N. Assessment of body weight for age determination in kittens. J. Feline Med. Surg. 2020, 22, 322–328. [Google Scholar] [CrossRef]
- Hale, F.A. Juvenile veterinary dentistry. Vet. Clin. North. Am. Small Anim. Pract. 2005, 35, 789–817. [Google Scholar] [CrossRef] [PubMed]
- Day, M.J.; Horzinek, M.C.; Schultz, R.D.; Squires, R.A. WSAVA Guidelines for the vaccination of dogs and cats. J. Small Anim. Pract. 2016, 57, E1–E45. [Google Scholar] [CrossRef]
- Xenoulis, P.G.; Steiner, J.M. Canine and feline pancreatic lipase immunoreactivity. Vet. Clin. Pathol. 2012, 41, 312–324. [Google Scholar] [CrossRef]
- Xenoulis, P.G.; Moraiti, K.T.; Finco, D.R.; Suchodolski, J.S.; Steiner, J.M. Serum feline pancreatic lipase immunoreactivity and trypsin-like immunoreactivity concentrations in cats with experimentally induced chronic kidney disease. J. Vet. Intern. Med. 2021, 35, 2821–2827. [Google Scholar] [CrossRef]
- Kook, P.H.; Zerbe, P.; Reusch, C.E. Exocrine pancreatic insufficiency in the cat. Schweiz Arch. Tierheilkd. 2011, 153, 19–25. [Google Scholar] [CrossRef]
- Xenoulis, P.G.; Zoran, D.L.; Fosgate, G.T.; Suchodolski, J.S.; Steiner, J.M. Feline exocrine pancreatic insufficiency: A retrospective study of 150 cases. J. Vet. Intern. Med. 2016, 30, 1790–1797. [Google Scholar] [CrossRef]
- Horvath, K.; Mehta, D.I.; Hill, I.D. Assessment of exocrine pancreatic function during endoscopy in children. J. Pediatr. Gastroenterol. Nutr. 2019, 68, 768–776. [Google Scholar] [CrossRef]
- Lebenthal, E.; Lee, P.C. Development of functional responses in human exocrine pancreas. Pediatrics 1980, 66, 556–560. [Google Scholar] [CrossRef] [PubMed]
- Alfaro Cruz, L.; Parniczky, A.; Mayhew, A.; Hornung, L.N.; Lin, T.K.; Palermo, J.J.; Jackson, K.; Abu-El-Haija, M. Utility of direct pancreatic function testing in children. Pancreas 2017, 46, 177–182. [Google Scholar] [CrossRef] [PubMed]
- Carney, P.C.; Ruaux, C.G.; Suchodolski, J.S.; Steiner, J.M. Biological variability of C-reactive protein and specific canine pancreatic lipase immunoreactivity in apparently healthy dogs. J. Vet. Intern. Med. 2011, 25, 825–830. [Google Scholar] [CrossRef]
- Hill, S.A.; Cave, N.J.; Forsyth, S. Effect of age, sex and body weight on the serum concentrations of cobalamin and folate in cats consuming a consistent diet. J. Feline Med. Surg. 2018, 20, 135–141. [Google Scholar] [CrossRef] [PubMed]
- Kreusler, P.; Vogel, M.; Willenberg, A.; Baber, R.; Dietz, Y.; Körner, A.; Ceglarek, U.; Kiess, W. Folate and cobalamin serum levels in healthy children and adolescents and their association with age, sex, BMI and socioeconomic status. Nutrients. 2021, 13, 546. [Google Scholar] [CrossRef] [PubMed]
- Bjorke-Monsen, A.L.; Ueland, P.M. Cobalamin status in children. J. Inherit. Metab. Dis. 2011, 34, 111–119. [Google Scholar] [CrossRef]
- Hicks, J.M.; Cook, J.; Godwin, I.D.; Soldin, S.J. Vitamin B12 and folate. Pediatric reference ranges. Arch. Pathol Lab. Med. 1993, 117, 704–706. [Google Scholar] [PubMed]
- Hay, G.; Johnston, C.; Whitelaw, A.; Trygg, K.; Refsum, H. Folate and cobalamin status in relation to breastfeeding and weaning in healthy infants. Am. J. Clin. Nutr. 2008, 88, 105–114. [Google Scholar] [CrossRef] [PubMed]
- Gonzalez-Gross, M.; Benser, J.; Breidenassel, C.; Albers, U.; Huybrechts, I.; Valtueña, J.; Spinneker, A.; Segoviano, M.; Widhalm, K.; Molnar, D.; et al. Gender and age influence blood folate, vitamin B12, vitamin B6, and homocysteine levels in European adolescents: The Helena Study. Nutr Res. 2012, 32, 817–826. [Google Scholar] [CrossRef]
- Dortschy, R.; Rosario, A.S.; Scheidt-Nave, C.; Thierfelder, W.; Thamm, M.; Gutsche, J.; Markert, A. Population-Based Distributions of Selected Laboratory Parameters from the KiGGS Study (Study on Health of Children and Young People in Germany); Robert Koch-Institut: Berlin/Heidelberg, Germany, 2009; pp. 116–123. ISBN 978-3-89606-193-5. [Google Scholar]
- Hay, G.; Clausen, T.; Whitelaw, A.; Trygg, K.; Johnston, C.; Henriksen, T.; Refsum, H. Maternal folate and cobalamin status predicts vitamin status in newborns and 6-month-old infants. J. Nutr. 2010, 140, 557–564. [Google Scholar] [CrossRef] [PubMed]
- Chandyo, R.K.; Ulak, M.; Kvestad, I.; Shrestha, M.; Ranjitkar, S.; Basnet, S.; Hysing, M.; Shrestha, L.; Strand, T.A. The effects of vitamin B12 supplementation in pregnancy and postpartum on growth and neurodevelopment in early childhood: Study Protocol for a Randomized Placebo Controlled Trial. BMJ Open 2017, 7, e016434. [Google Scholar] [CrossRef] [Green Version]
- Allen, L.H.; Casterline, J. Vitamin B-12 deficiency in elderly individuals: Diagnosis and requirements. Am. J. Clin. Nutr. 1994, 60, 12–14. [Google Scholar] [CrossRef]
- Ford, J.E.; Scott, K.J.; Sansom, B.F.; Taylor, P.J. Some observations on the possible nutritional significance of vitamin B12-and folate-binding proteins in milk. Absorption of [58Co]cyanocobalamin by suckling piglets. Br. J. Nutr. 1975, 34, 469–492. [Google Scholar] [CrossRef]
- Dieckgraefe, B.K.; Seetharam, B.; Alpers, D.H. Developmental regulation of rat intrinsic factor mRNA. Am. J. Physiol. 1988, 254 Pt 1, G913–G919. [Google Scholar] [CrossRef]
- Agunod, M.; Yamaguchi, N.; Lopez, R.; Luhby, L.A.; Glass, G.B.J. Correlative study of hydrochloric acid, pepsin, and intrinsic factor secretion in newborns and infants. Am. J. Dig. Dis. 1969, 14, 400–414. [Google Scholar] [CrossRef]
- Adkins, Y.; Lonnerdal, B. Mechanisms of vitamin B(12) absorption in breast-fed infants. J. Pediatr. Gastroenterol. Nutr. 2002, 35, 192–198. [Google Scholar] [CrossRef]
- Ruaux, C.G. Cobalamin in companion animals: Diagnostic marker, deficiency states and therapeutic implications. Vet. J. 2013, 196, 145–152. [Google Scholar] [CrossRef] [PubMed]
- Stavroulaki, E.M.; Suchodolski, J.S.; Pilla, R.; Fosgate, G.T.; Sung, C.H.; Lidbury, J.A.; Steiner, J.M.; Xenoulis, P.G. Short- and long-term effects of amoxicillin/clavulanic acid or doxycycline on the gastrointestinal microbiome of growing cats. PLoS ONE 2021, 16, e0253031. [Google Scholar] [CrossRef]
- Stavroulaki, E.M.; Suchodolski, J.S.; Pilla, R.; Fosgate, G.T.; Sung, C.-H.; Lidbury, J.; Steiner, J.M.; Xenoulis, P.G. The serum and fecal metabolomic profiles of growing kittens treated with amoxicillin/clavulanic acid or doxycycline. Animals 2022, 12, 330. [Google Scholar] [CrossRef]
- Worhunsky, P.; Toulza, O.; Rishniw, M.; Berghoff, N.; Ruaux, C.G.; Steiner, J.M.; Simpson, K.W. The relationship of serum cobalamin to methylmalonic acid concentrations and clinical variables in cats. J. Vet. Intern. Med. 2013, 27, 1056–1063. [Google Scholar] [CrossRef] [PubMed]
- Ruaux, C.G.; Steiner, J.M.; Williams, D.A. Relationships between low serum cobalamin concentrations and methlymalonic acidemia in cats. J. Vet. Intern. Med. 2009, 23, 472–475. [Google Scholar] [CrossRef]
- Ruaux, C.G.; Steiner, J.M.; Williams, D.A. Metabolism of amino acids in cats with severe cobalamin deficiency. Am. J. Vet. Res. 2001, 62, 1852–1858. [Google Scholar] [CrossRef]
- Saver, A.T.; Steiner, J.M.; Hetzel, S.J.; Lidbury, J.A.; Suchodolski, J.; Pritchard, J.C. Effect of withholding food on serum concentrations of cobalamin, folate, trypsin-like immunoreactivity, and pancreatic lipase immunoreactivity in healthy dogs. Am. J. Vet. Res. 2021, 82, 367–373. [Google Scholar] [CrossRef] [PubMed]



Publisher’s Note: MDPI stays neutral with regard to jurisdictional claims in published maps and institutional affiliations. |
© 2022 by the authors. Licensee MDPI, Basel, Switzerland. This article is an open access article distributed under the terms and conditions of the Creative Commons Attribution (CC BY) license (https://creativecommons.org/licenses/by/4.0/).
Share and Cite
Stavroulaki, E.M.; Kokkinaki, K.C.G.; Saridomichelakis, M.N.; Steiner, J.M.; Lidbury, J.A.; Xenoulis, P.G. Serial Measurement of Serum Pancreatic Lipase Immunoreactivity, Feline Trypsin-like Immunoreactivity, and Cobalamin Concentrations in Kittens. Vet. Sci. 2022, 9, 469. https://doi.org/10.3390/vetsci9090469
Stavroulaki EM, Kokkinaki KCG, Saridomichelakis MN, Steiner JM, Lidbury JA, Xenoulis PG. Serial Measurement of Serum Pancreatic Lipase Immunoreactivity, Feline Trypsin-like Immunoreactivity, and Cobalamin Concentrations in Kittens. Veterinary Sciences. 2022; 9(9):469. https://doi.org/10.3390/vetsci9090469
Chicago/Turabian StyleStavroulaki, Evangelia M., Kassiopi Christina G. Kokkinaki, Manolis N. Saridomichelakis, Jörg M. Steiner, Jonathan A. Lidbury, and Panagiotis G. Xenoulis. 2022. "Serial Measurement of Serum Pancreatic Lipase Immunoreactivity, Feline Trypsin-like Immunoreactivity, and Cobalamin Concentrations in Kittens" Veterinary Sciences 9, no. 9: 469. https://doi.org/10.3390/vetsci9090469
APA StyleStavroulaki, E. M., Kokkinaki, K. C. G., Saridomichelakis, M. N., Steiner, J. M., Lidbury, J. A., & Xenoulis, P. G. (2022). Serial Measurement of Serum Pancreatic Lipase Immunoreactivity, Feline Trypsin-like Immunoreactivity, and Cobalamin Concentrations in Kittens. Veterinary Sciences, 9(9), 469. https://doi.org/10.3390/vetsci9090469

