Physiotherapy Improves Dogs’ Quality of Life Measured with the Milan Pet Quality of Life Scale: Is Pain Involved?
Abstract
:Simple Summary
Abstract
1. Introduction
2. Materials and Methods
2.1. Subjects
2.2. Data Collection
- -
- Demographic data: Demographic data of the dogs were collected following the physiatric examination, together with the medical history.
- -
- Clinical assessment: In order to aid further analysis, the medical problem of the dog was classified as orthopedic, neurological, or degenerative (none of the dogs presented multiple diagnoses). The duration and type of physiotherapy treatment required by the clinician (hydrotherapy and/or instrumental techniques, such as laser therapy, massage, diathermic therapy) were also registered. The symptoms of the dog were recorded through a checklist measuring variation in body condition score (BCS), appetite, playfulness, interactions with the owner, and locomotion, as defined by the specialist. Each parameter was given a score of 1 (improved from before), 2 (same as before), or 3 (worsened). In addition, the clinician recorded lameness, pain levels, and overall criticality (1 = none, 2 = low, 3 = moderate, 4 = severe; Supplementary Materials Table S2).
- -
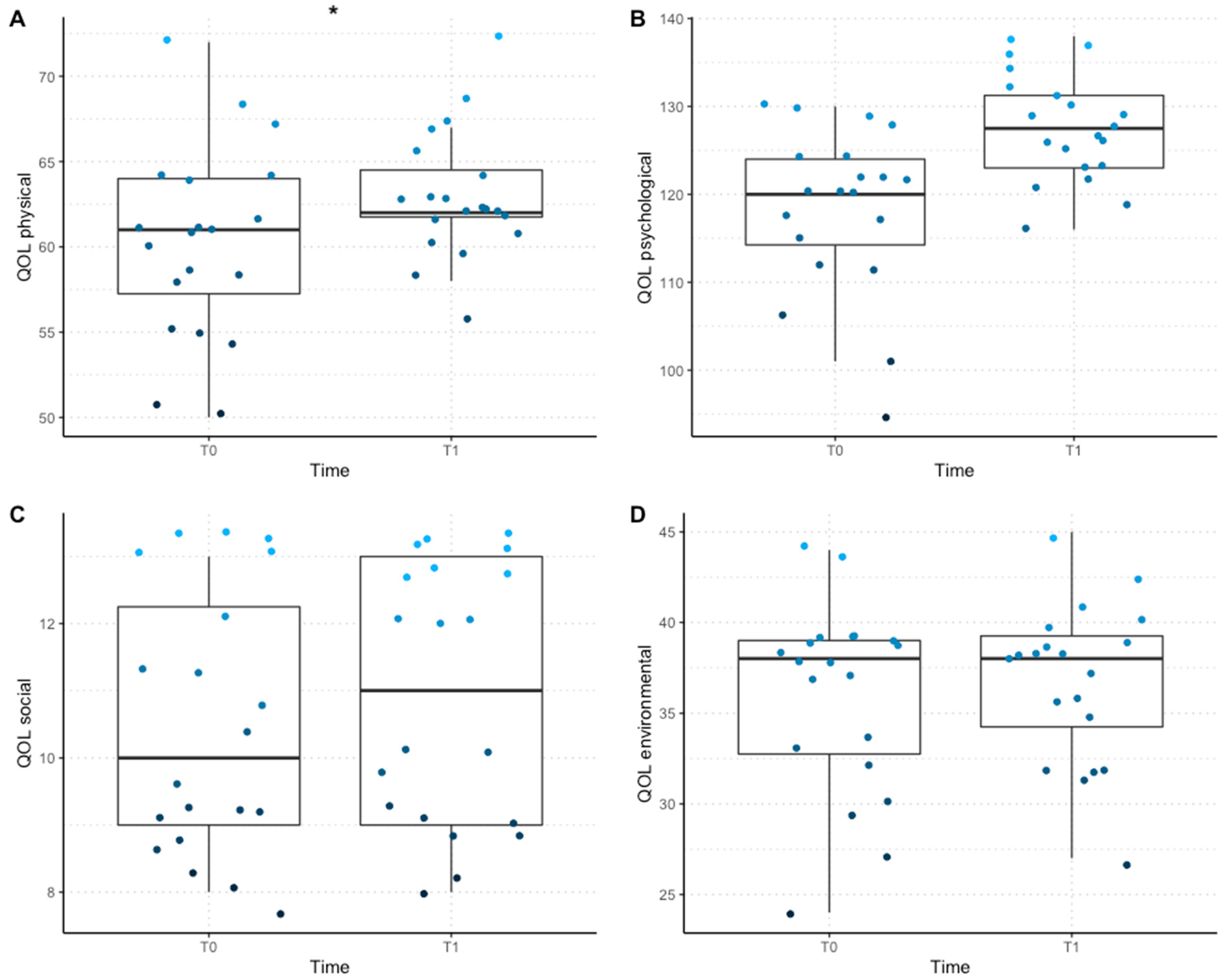
- Quality of life assessment: As part of the clinical exam, the owners of the dogs were asked to complete the MPQL [14] at T0 (during the first consultation) and at T1 (at the end of the physiotherapy treatment) in order to monitor the welfare of the dogs. A higher score in the questionnaire indicated better QOL. Norms for each time are reported in the Supplementary Materials (Table S3).
2.3. Data Analysis
3. Results
4. Discussion
Supplementary Materials
Author Contributions
Funding
Institutional Review Board Statement
Informed Consent Statement
Data Availability Statement
Acknowledgments
Conflicts of Interest
References
- Yeates, J.; Main, D. Assessment of Companion Animal Quality of Life in Veterinary Practice and Research. J. Small Anim. Pract. 2009, 50, 274–281. [Google Scholar] [CrossRef] [PubMed]
- WHOQOL Group. Study Protocol for the World Health Organisation Project to Develop a Quality of Life Assessment Instrument (WHOQOL). Qual. Life Res. 1993, 2, 153–159. [Google Scholar] [CrossRef]
- Verdugo, M.A.; Schalock, R.L.; Keith, K.D.; Stancliffe, R.J. Quality of Life and Its Measurement: Important Principles and Guidelines. J. Intellect. Disabil. Res. 2005, 49, 707–717. [Google Scholar] [CrossRef] [PubMed] [Green Version]
- WHOQOL Group. World Health Organization Quality of Life (WHOQOL)—BREF 2004; WHO: New York, NY, USA, 2004.
- McMillan, F.D. Maximising Quality of Life in Ill Animals. J. Am. Anim. Hosp. Assoc. 2003, 39, 227–235. [Google Scholar] [CrossRef] [PubMed]
- Wojciechowska, J.I.; Hewson, C.J.; Stryhn, H.; Guy, N.C.; Patronek, G.J.; Timmons, V. Development of a Discriminative Questionnaire to Assess Nonphysical Aspects of Quality of Life of Dogs. Am. J. Vet. Res. 2005, 66, 1453–1460. [Google Scholar] [CrossRef] [PubMed]
- Schneider, T.R.; Lyons, J.B.; Tetrick, M.A.; Accortt, E.E. Multidimensional Quality of Life and Human–Animal Bond Measures for Companion Dogs. J. Vet. Behav. Clin. Appl. Res. 2010, 5, 287–301. [Google Scholar] [CrossRef]
- Belshaw, Z.; Asher, L.; Harvey, N.D.; Dean, R. Quality of Life Assessment in Domestic Dogs: An Evidence-Based Rapid Review. Vet. J. 2015, 206P, 203–212. [Google Scholar] [CrossRef] [PubMed] [Green Version]
- Piotti, P. Positive Emotions and Quality of Life in Dogs. Anim. Sentience 2017, 90, 6. [Google Scholar] [CrossRef]
- Marchetti, V.; Gori, E.; Mariotti, V.; Gazzano, A.; Mariti, C. The Impact of Chronic Inflammatory Enteropathy on Dogs’ Quality of Life and Dog-Owner Relationship. Vet. Sci. 2021, 8, 166. [Google Scholar] [CrossRef]
- Belshaw, Z.; Yeates, J. Assessment of Quality of Life and Chronic Pain in Dogs. Vet. J. 2018, 239, 59–64. [Google Scholar] [CrossRef] [PubMed]
- Tacke, S. Assessing clinical signs of pain in osteoarthritis. In Proceedings of the North American Veterinary Conference, Orlando, FL, USA, 15–19 January 2011. [Google Scholar]
- Davies, V.; Reid, J.; Wiseman-Orr, M.L.; Scott, E.M. Optimising Outputs from a Validated Online Instrument to Measure Health-Related Quality of Life (HRQL) in Dogs. PLoS ONE 2019, 14, e0221869. [Google Scholar] [CrossRef] [PubMed]
- Piotti, P.; Karagiannis, C.; Satchell, L.P.; Michelazzi, M.; Albertini, M.; Alleva, E.; Pirrone, F. Use of the Milan Pet Quality of Life Instrument (MPQL) to Measure Pets’ Quality of Life during COVID-19. Animals 2021, 11, 1336. [Google Scholar] [CrossRef] [PubMed]
- R Development Core Team, R. A Language and Environment for Statistical Computing; R Development Core Team R: Vienna, Austria, 2020; ISBN 3-900051-07-0. [Google Scholar]
- Christensen, R.H.B. Ordinal-Regression Models for Ordinal Data; R Package Version 2019.12-10. Available online: https://CRAN.R-project.org/package=ordinal (accessed on 31 May 2022).
- Mangiafico, S. Functions to Support Extension Education Program Evaluation (Rcompanion); The Comprehensive R Archive Network: Vienna, Austria, 2017; Available online: https://www.researchgate.net/publication/307608990_rcompanion_Functions_to_support_extension_education_program_evaluation_R_statistical_package (accessed on 31 May 2022).
- Lenth, R. Emmeans: Estimated Marginal Means, Aka Least-Squares Means. 2018. Available online: https://cran.r-project.org/web/packages/emmeans/emmeans.pdf (accessed on 31 May 2022).
- Mills, D.S.; Demontigny-Bédard, I.; Gruen, M.; Klinck, M.P.; McPeake, K.J.; Barcelos, A.M.; Hewison, L.; van Haevermaet, H.; Denenberg, S.; Hauser, H.; et al. Pain and Problem Behavior in Cats and Dogs. Animals 2020, 10, 318. [Google Scholar] [CrossRef] [Green Version]
- Barcelos, A.-M.; Mills, D.S.; Zulch, H. Clinical Indicators of Occult Musculoskeletal Pain in Aggressive Dogs. Vet. Rec. 2015, 176, 465. [Google Scholar] [CrossRef] [PubMed] [Green Version]
- Lopes Fagundes, A.L.; Hewison, L.; McPeake, K.J.; Zulch, H.; Mills, D.S. Noise Sensitivities in Dogs: An Exploration of Signs in Dogs with and without Musculoskeletal Pain Using Qualitative Content Analysis. Front. Vet. Sci. 2018, 5, 17. [Google Scholar] [CrossRef] [PubMed] [Green Version]
- Cockburn, A.; Smith, M.; Rusbridge, C.; Fowler, C.; Paul, E.S.; Murrell, J.C.; Blackwell, E.J.; Casey, R.A.; Whay, H.R.; Mendl, M. Evidence of Negative Affective State in Cavalier King Charles Spaniels with Syringomyelia. Appl. Anim. Behav. Sci. 2017, 201, 77–84. [Google Scholar] [CrossRef] [Green Version]
- Mendl, M.; Burman, O.H.P.; Parker, R.M.A.; Paul, E.S. Cognitive Bias as an Indicator of Animal Emotion and Welfare: Emerging Evidence and Underlying Mechanisms. Appl. Anim. Behav. Sci. 2009, 118, 161–181. [Google Scholar] [CrossRef]
- Davidson, R.J. On emotion, mood, and other affective constructs. In How Are Emotions Distinguished from Moods, Temperament, and Other Related Affective Constructs? Ekman, P., Davidson, R.J., Eds.; Oxford University Press: New York, NY, USA, 1994; pp. 49–55. [Google Scholar]
- Piotti, P.; Szabó, D.; Bognár, Z.; Egerer, A.; Hulsbosch, P.; Carson, R.S.; Kubinyi, E. Effect of Age on Discrimination Learning, Reversal Learning, and Cognitive Bias in Family Dogs. Learn. Behav. 2018, 46, 537–553. [Google Scholar] [CrossRef] [PubMed] [Green Version]
- Bognár, Z.; Piotti, P.; Szabó, D.; le Nézet, L.; Kubinyi, E. A Novel Behavioural Approach to Assess Responsiveness to Auditory and Visual Stimuli before Cognitive Testing in Family Dogs. Appl. Anim. Behav. Sci. 2020, 228, 105016. [Google Scholar] [CrossRef]
- Szabó, D.; Miklósi, Á.; Kubinyi, E. Owner Reported Sensory Impairments Affect Behavioural Signs Associated with Cognitive Decline in Dogs. Behav. Process. 2018, 157, 354–360. [Google Scholar] [CrossRef] [Green Version]
- Arhant, C.; Bubna-Littitz, H.; Bartels, A.; Futschik, A.; Troxler, J. Behaviour of Smaller and Larger Dogs: Effects of Training Methods, Inconsistency of Owner Behaviour and Level of Engagement in Activities with the Dog. Appl. Anim. Behav. Sci. 2010, 123, 131–142. [Google Scholar] [CrossRef]
- De Assis, L.S.; Matos, R.; Pike, T.W.; Burman, O.H.P.; Mills, D.S. Developing Diagnostic Frameworks in Veterinary Behavioral Medicine: Disambiguating Separation Related Problems in Dogs. Front. Vet. Sci. 2020, 6, 499. [Google Scholar] [CrossRef] [PubMed] [Green Version]
- Deldalle, S.; Gaunet, F. Effects of 2 Training Methods on Stress-Related Behaviors of the Dog (Canis familiaris) and on the Dog–Owner Relationship. J. Vet. Behav. 2014, 9, 58–65. [Google Scholar] [CrossRef]
- Herron, M.E.; Shofer, F.S.; Reisner, I.R. Survey of the Use and Outcome of Confrontational and Non-Confrontational Training Methods in Client-Owned Dogs Showing Undesired Behaviors. Appl. Anim. Behav. Sci. 2009, 117, 47–54. [Google Scholar] [CrossRef]
- Slater, M.R.; di Nardo, A.; Pediconi, O.; Villa, P.D.; Candeloro, L.; Alessandrini, B.; del Papa, S. Cat and Dog Ownership and Management Patterns in Central Italy. Prev. Vet. Med. 2008, 85, 267–294. [Google Scholar] [CrossRef] [PubMed]
- Andersen, S.S.; Meyer, I.; Forkman, B.; Nielsen, S.S.; Sandøe, P. Regulating Companion Dog Welfare: A Comparative Study of Legal Frameworks in Western Countries. Animals 2021, 11, 1660. [Google Scholar] [CrossRef] [PubMed]

| Estimate | S.E. | p | |
|---|---|---|---|
| CLMM Model Physical QoL | |||
| Time: | |||
| T0 vs.T1 | 0.70 | (0.95) | 0.462 |
| Pain: | −0.12 | (0.51) | 0.810 |
| Criticality: | −2.82 | (1.08) | 0.009 * |
| CLMM Model Psychological QoL | |||
| Time: | |||
| T0 vs. T1 | −4.47 | (1.00) | <0.001 * |
| Age: | −0.02 | (0.01) | <0.001 * |
| CLMM Model Social QoL | |||
| Time: | |||
| T0 vs. T1 | 0.25 | (1.05) | 0.808 |
| Lameness: | −1.47 | (0.61) | 0.016 * |
| Medical problem: | |||
| Degenerative vs. Neurological | −2.79 | (3.28) | 0.672 |
| Degenerative vs. Orthopedic | −5.08 | (2.97) | 0.200 |
| Neurological vs. Orthopedic | −2.29 | (1.95) | 0.467 |
| CLMM Model Environmental QoL | |||
| Time: | |||
| T0 vs. T1 | −0.80 | (0.63) | 0.204 |
Publisher’s Note: MDPI stays neutral with regard to jurisdictional claims in published maps and institutional affiliations. |
© 2022 by the authors. Licensee MDPI, Basel, Switzerland. This article is an open access article distributed under the terms and conditions of the Creative Commons Attribution (CC BY) license (https://creativecommons.org/licenses/by/4.0/).
Share and Cite
Piotti, P.; Albertini, M.; Lavesi, E.; Ferri, A.; Pirrone, F. Physiotherapy Improves Dogs’ Quality of Life Measured with the Milan Pet Quality of Life Scale: Is Pain Involved? Vet. Sci. 2022, 9, 335. https://doi.org/10.3390/vetsci9070335
Piotti P, Albertini M, Lavesi E, Ferri A, Pirrone F. Physiotherapy Improves Dogs’ Quality of Life Measured with the Milan Pet Quality of Life Scale: Is Pain Involved? Veterinary Sciences. 2022; 9(7):335. https://doi.org/10.3390/vetsci9070335
Chicago/Turabian StylePiotti, Patrizia, Mariangela Albertini, Elisa Lavesi, Annalisa Ferri, and Federica Pirrone. 2022. "Physiotherapy Improves Dogs’ Quality of Life Measured with the Milan Pet Quality of Life Scale: Is Pain Involved?" Veterinary Sciences 9, no. 7: 335. https://doi.org/10.3390/vetsci9070335
APA StylePiotti, P., Albertini, M., Lavesi, E., Ferri, A., & Pirrone, F. (2022). Physiotherapy Improves Dogs’ Quality of Life Measured with the Milan Pet Quality of Life Scale: Is Pain Involved? Veterinary Sciences, 9(7), 335. https://doi.org/10.3390/vetsci9070335

