Effect of Green Tea on Weight Gain and Semen Quality of Rabbit Males
Abstract
Simple Summary
Abstract
1. Introduction
2. Materials and Methods
2.1. Animals
2.2. Semen Collection and Handling
2.3. Haematological and Biochemical Parameters
2.4. Histological Processing, Analysis and Morphometry of Testes
2.5. Statistical Analysis
3. Results
3.1. Effect of Green Tea on Weight Gains and Semen Quality
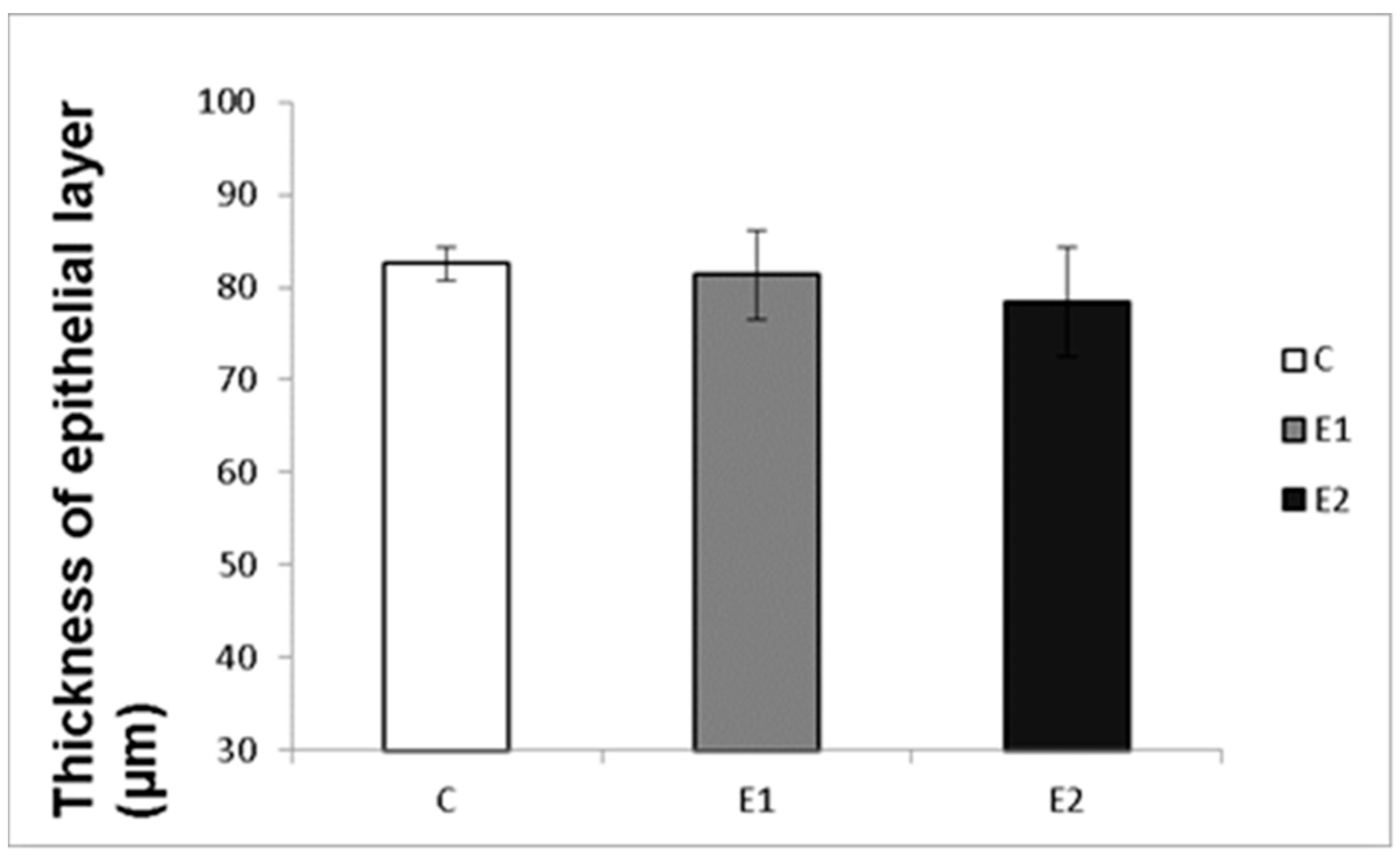
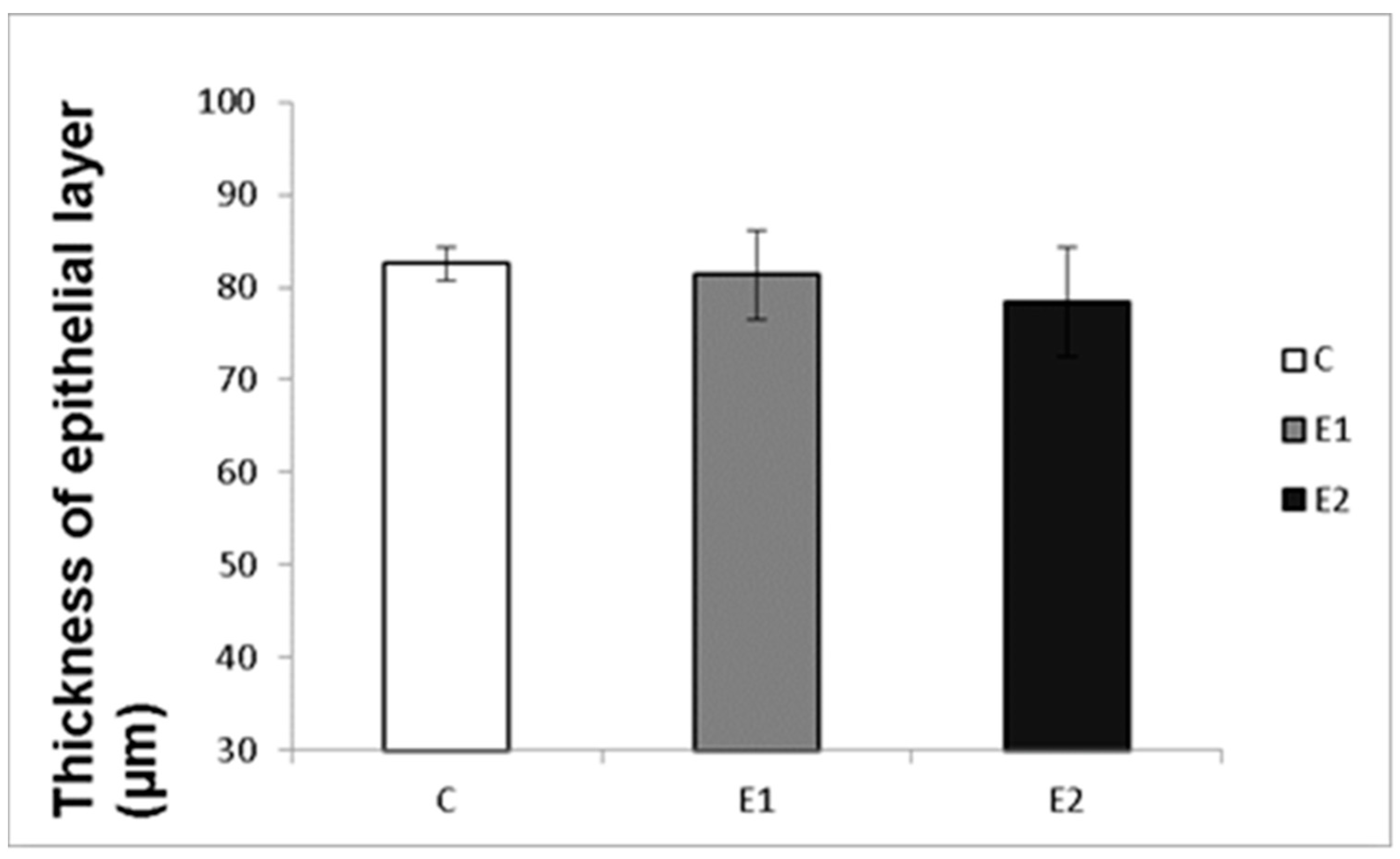
3.2. Effect of Green Tea on the Testis Morphometry, Blood Biochemical and Haematological Indexes
4. Discussion
4.1. Green Tea Can Suppress Weight Gains
4.2. Sperm Concentration and Motility
4.3. Effect of Green Tea on Testicular Histology
4.4. Effect of Green Tea on Haematological and Biochemical Parameters
5. Conclusions
Author Contributions
Funding
Institutional Review Board Statement
Informed Consent Statement
Data Availability Statement
Acknowledgments
Conflicts of Interest
References
- Cooper, R. Green tea and theanine: Health benefits. Int. J. Food Sci. Nutr. 2012, 63, 90–97. [Google Scholar] [CrossRef] [PubMed]
- Kao, Y.H.; Hiipakka, R.A.; Liao, S. Modulation of endocrine systems and food intake by green tea epigallocatechin gallate. Endocrinology 2000, 141, 980–987. [Google Scholar] [CrossRef] [PubMed]
- Niedzwiecki, A.; Roomi, M.W.; Kalinovsky, T.; Rath, M. Anticancer efficacy of polyphenols and their combinations. Nutrients 2016, 8, 552. [Google Scholar] [CrossRef]
- Saeed, M.; Naveed, M.; Arif, M.; Kakar, M.U.; Manzoor, R.; Abd El-Hack, M.E.; Alagawany, M.; Tiwari, R.; Khandi, R.; Munjal, A.; et al. Green tea (Camellia sinensis) and L-theanine: Medicinal values and beneficial applications in humans-A comprehensive review. Biomed. Pharmacother. 2017, 95, 1260–1275. [Google Scholar] [CrossRef] [PubMed]
- Yang, C.S.; Wang, H.; Sheridan, Z.P. Studies on prevention of obesity, metabolic syndrome, diabetes, cardiovascular diseases and cancer by tea. J. Food Drug Anal. 2018, 26, 1–13. [Google Scholar] [CrossRef]
- Toda, M.; Okubo, S.; Ohnishi, R.; Shimamura, T. Antibacterial and bactericidal activities of Japanese green tea. Jpn. J. Bacteriol. 1989, 45, 561–566. [Google Scholar] [CrossRef]
- Basini, G.; Bianco, F.; Grasselli, F. Epigallocatechin-3-gallate from green tea negatively affects swine granulosa cell function. Domest. Anim. Endocrinol. 2005, 28, 243–256. [Google Scholar] [CrossRef]
- Kono, M.; Furukawa, K.; Sagesaka, Y.M.; Nakagawa, K.; Fujimoto, K. Effect of green tea grounds as dietary supplements on cultured yellow tail and ayu. J. Jpn. Soc. Food Sci. Technol. 2000, 47, 932–937. [Google Scholar] [CrossRef][Green Version]
- Kaneko, K.; Yamasakil, K.; Tagawa, Y.; Tokunaga, M.; Tobisa, M.; Furuse, M. Effects of dietary Japanese green tea powder on growth, meat ingredient and lipid accumulation in broilers. J. Poult. Sci. 2001, 38, 77–85. [Google Scholar] [CrossRef]
- Yang, C.J.; Yang, I.Y.; Oh, D.H.; Bae, I.H.; Cho, S.G.; Kong, I.G.; Uuganbayar, D.; Choi, K.S. Effect of green tea by-product on performance and body composition in broiler chicks. Asian-Australas. J. Anim. Sci. 2003, 16, 867–872. [Google Scholar] [CrossRef]
- Khan, S.H. The use of green tea (Camellia sinensis) as a phytogenic substance in poultry diets. Onderstepoort J. Vet. Res. 2014, 81, e1–e8. [Google Scholar] [CrossRef] [PubMed]
- Ishiara, N.; Chu, D.C.; Akachi, S.; Juneja, L.R. Improvement of intestinal microflora balance and prevention of digestive and respiratory organ diseases in calves by green tea extracts. Livest. Prod. Sci. 2001, 68, 217–229. [Google Scholar] [CrossRef]
- Kolling, G.J.; Stivanin, S.C.B.; Gabbi, A.M.; Machado, F.S.; Ferreira, A.L.; Campos, M.M.; Tomich, T.M.; Cunha, C.S.; Dill, S.W.; Pereira, L.G.R.; et al. Performance and methane emissions in dairy cows fed oregano and green tea extracts as feed additives. J. Dairy Sci. 2018, 101, 4221–4234. [Google Scholar] [CrossRef] [PubMed]
- Suzuki, K.; Kadowaki, H.; Hino, M.; Tamura, K. The influence of green tea in pig feed on meat production and quality. Jpn. J. Swine Sci. 2002, 39, 59–65. [Google Scholar] [CrossRef][Green Version]
- Rains, T.M.; Agarwal, S.; Maki, K.C. Antiobesity effects of green tea catechins: A mechanistic review. J. Nutr. Biochem. 2011, 22, 1–7. [Google Scholar] [CrossRef]
- Chacko, S.; Thambi, P.; Kuttan, R.; Nishigaki, I. Beneficial effects of green tea: A literature review. Chin. Med. 2010, 5, 13. [Google Scholar] [CrossRef]
- Sirotkin, A.V. Plants for Weight Loss. Myth and Reality; Nova Publishers, Inc.: New York, NY, USA, 2020; 183p, ISBN 97-81-536-1870-07. [Google Scholar] [CrossRef]
- Baláži, A.; Sirotkin, A.V.; Földešiová, M.; Makovický, P.; Chrastinová, Ľ.; Makovický, P.; Chrenek, P. Green tea can supress rabbit ovarian functions in vitro and in vivo. Theriogenology 2019, 127, 72–79. [Google Scholar] [CrossRef]
- Khan, H.; Khan, M.; Qureshi, M.S.; Ahmad, S.; Gohar, A.; Ullah, H.; Ullah, F.; Hussain, A.; Khatri, P.; Shah, S.S.A.; et al. Effect of green tea extract (Camellia sinensis) on fertility indicators of post-thawed bull spermatozoa. Pak. J. Zool. 2017, 49, 1243–1249. [Google Scholar] [CrossRef]
- Wittayarat, M.; Ito, A.; Kimura, T.; Namula, Z.; Luu, V.V.; Do, L.T.K.; Sato, Y.; Taniguchi, M.; Otoi, T. Effects of green tea polyphenol on the quality of canine semen after long-term storage at 5 °C. Reprod. Biol. 2013, 13, 251–254. [Google Scholar] [CrossRef]
- Al-Daraji, H.J. Effect of diluent supplementation with different levels of green tea on roosters’ semen quality during in vitro storage. Int. J. Plant Anim. Environ. 2011, 3, 51–56. [Google Scholar]
- Abshenas, J.; Babaei, H.; Zare, M.H.; Allahbakhshi, A.; Sharififar, F. The effects of green tea (Camellia sinensis) extract on mouse semen quality after scrotal heat stress. Vet. Res. Forum 2011, 2, 242–247. [Google Scholar]
- Mahmoudi, R.; Azizi, A.; Abedini, S.; Jahromi, V.H.; Abidi, H.; Barmak, M.J. Green tea improves rat sperm quality and reduced cadmium chloride damage effect in spermatogenesis cycle. J. Med. Life 2018, 11, 371–380. [Google Scholar] [CrossRef] [PubMed]
- Opuwari, C.; Monsees, T. Green tea consumption increases sperm concentration and viability in male rats and is safe for reproductive, liver and kidney health. Sci. Rep. 2020, 10, 15269. [Google Scholar] [CrossRef] [PubMed]
- Sheteifa, M.A.M.; Morsy, W.A. Effect of green tea as dietary supplements (Camellia sinensis) on semen quality and testosterone profile in rabbits. J. Anim. Poult. Prod. 2014, 5, 1–13. [Google Scholar] [CrossRef]
- Azizi, M.; Mehranjani, M.S. The effect of green tea extract on the sperm parameters and histological changes of testis in rats exposed to para-nonylphenol. Int. J. Reprod. Biomed. 2019, 17, 717–726. [Google Scholar] [CrossRef] [PubMed]
- Bagherpour, H.; Malekshah, A.K.; Amiri, F.T.; Azadbakht, M. Protective effect of green tea extract on the deltamethrin-induced toxicity in mice testis: An experimental study. Int. J. Reprod. Biomed. 2018, 17, 337–348. [Google Scholar] [CrossRef]
- De Amicis, F.; Sanotro, M.; Guido, C.; Russo, A.; Aquila, S. Epigallocatechin gallate affects survival and metabolism of human sperm. Mol. Nutr. Food Res. 2012, 56, 1655–1664. [Google Scholar] [CrossRef]
- Kročková, J.; Kováčik, A. Effect of green tea extract on motility parameters of rabbit sperm. J.Microbiol. Biotechnol. Food Sci. 2013, 2, 5. [Google Scholar]
- Chandra, A.K.; Choudhury, S.R.; De, N.; Sarkar, M. Effect of green tea (Camellia sinensis L.) extract on morphological and functional changes in adult male gonads of albino rats. Indian J. Exp. Biol. 2011, 49, 689–697. [Google Scholar]
- Hosny, N.S.; Hashem, N.M.; Morsy, A.S.; Abo-elezz, Z.R. Effects of organic selenium on the physiological response, blood metabolites, redox status, semen quality, and fertility of rabbit bucks kept under natural heat stress conditions. Front. Vet. Sci. 2020, 7, 290. [Google Scholar] [CrossRef]
- Giglio, R.V.; Patti, A.M.; Cicero, A.F.G.; Lippi, G.; Rizzo, M.; Toth, P.P.; Banach, M. Polyphenols: Potential use in the prevention and treatment of cardiovascular diseases. Curr. Pharm. Des. 2018, 24, 239–258. [Google Scholar] [CrossRef] [PubMed]
- Hamdaoui, M.H.; Chabchoub, S.; Hédhili, A. Iron bioavailability and weight gains to iron-deficient rats fed a commonly consumed Tunisian meal bean seeds ragout with or without beef and with green or black tea decoction. J. Trace Elem. Med. Biol. 2003, 17, 159–164. [Google Scholar] [CrossRef]
- Ito, Y.; Ichikava, T.; Morohoshi, Y.; Nakamura, T.; Saegura, Y.; Ishihara, K. Effect of teacatechins on body fat accumulation in rats fed a normal diet. Biomed. Res. 2008, 29, 27–32. [Google Scholar] [CrossRef] [PubMed][Green Version]
- Morita, O.; Knapp, J.F.; Tamaki, Y.; Stump, D.G.; Moore, J.S.; Nemec, M.D. Effects of green tea catechin on embryo/fetal development in rats. Food Chem. Toxicol. 2009, 47, 1296–1303. [Google Scholar] [CrossRef]
- Lu, C.; Zhu, W.; Shen, C.; Gao, W. Green tea polyphenols reduce body weight in rats by modulating obesity-related genes. PLoS ONE 2012, 7, e38332. [Google Scholar] [CrossRef]
- Snoussi, C.; Ducroc, R.; Hamdaoui, M.H.; Dhaouadi, K.; Abaidi, H.; Cluzeaud, F.; Nazaret, C.; Le Gall, M.; Bado, A. Green tea decoction improves glucose tolerance and reduces weight gain of rats fed normal and high-fat diet. J. Nutr. Biochem. 2014, 25, 557–564. [Google Scholar] [CrossRef]
- Bae, U.J.; Park, J.; Park, I.W.; Chae, B.M.; Oh, M.R.; Jung, S.J.; Ryu, G.S.; Chae, S.W.; Park, B.H. Epigallocatechin-3-gallate-rich green tea extract ameliorates fatty liver and weight gain in mice fed a high fat diet by activating the sirtuin 1 and AMP activating protein kinase pathway. Am. J. Chin. Med. 2018, 46, 617–632. [Google Scholar] [CrossRef]
- El-Ratel, I.T.; Abdel-Khalek, A.E.; El-Harairy, M.A.; Fouda, S.F.; El-Bnawy, L.Y. Impact of green tea extract on reproductive performance. Hematology. Lipid Metabolism and Histogenesis of Liver and Kidney of Rabbit Does. Asian J. Anim. Vet. Adv. 2017, 12, 51–60. [Google Scholar] [CrossRef]
- Kapoor, M.P.; Sugita, M.; Fukuzawa, Y.; Okubo, T. Physiological effects of epigallocatechin-3-gallate (EGCG) on energy expenditure for prospective fat oxidation in humans: A systematic review and meta-analysis. J. Nutr. Biochem. 2017, 43, 1–10. [Google Scholar] [CrossRef]
- Venkatakrishnan, K.; Chiu, H.F.; Cheng, J.C.; Chang, Y.H.; Lu, Y.Y.; Han, Y.C.; Shen, Y.C.; Tsaie, K.S.; Wang, C.K. Comparative studies on the hypolipidemic, antioxidant and hepatoprotective activities of catechin-enriched green and oolong tea in a double-blind clinical trial. Food Funct. 2018, 9, 1205–1213. [Google Scholar] [CrossRef]
- Bose, M.; Lambert, J.D.; Ju, J.; Reuhl, K.R.; Shapses, S.A.; Yang, C.S. The major green tea polyphenol, (−)-epigallocatechin-3-gallate, inhibits obesity, metabolic syndrome, and fatty liver disease in high-fat fed mice. J. Nutr. 2008, 138, 1677–1683. [Google Scholar] [CrossRef] [PubMed]
- Sayama, K.; Lin, S.; Zheng, G.; Oguni, I. Effects of green tea on growth, food utilization and lipid metabolism in mice. In Vivo 2000, 14, 481–484. [Google Scholar] [PubMed]
- Elkirdasy, A.; Shousha, S.; Alrohaimi, A.H.; Arshad, M.F. Hematological and immunobiochemical study of green tea and ginger extracts in experimentally induced diabetic rabbits. Acta Pol. Pharm. 2015, 72, 497–506. [Google Scholar]
- Reto, M.; Almeida, C.; Rocha, J.; Sepodes, B.; Figueira, M.E. Green Tea (Camellia sinensis): Hypocholesterolemic effects in humans and anti-inflammatory effects in animals. Food Nutr. Sci. 2014, 5, 2185–2194. [Google Scholar] [CrossRef][Green Version]
- Peluso, I.; Serafini, M. Antioxidants from black and green tea: From dietary modulation of oxidative stress to pharmacological mechanisms. Br. J. Pharmacol. 2017, 174, 1195–1208. [Google Scholar] [CrossRef] [PubMed]
- Prasanth, M.I.; Sivamaruthi, B.S.; Chaiyasut, C.; Tencomnao, T. A review of the role of green tea (Camellia sinensis) in antiphotoaging, stress resistance, neuroprotection, and autophagy. Nutrients 2019, 11, 474. [Google Scholar] [CrossRef] [PubMed]
- Rothenberg, D.O.; Zhou, C.; Zhang, L. A review on the weight-loss effects of oxidized tea polyphenols. Molecules 2018, 23, 1176. [Google Scholar] [CrossRef]
- Shirakami, Y.; Shimizu, M. Possible mechanisms of green tea and its constituents against cancer. Molecules 2018, 23, 2284. [Google Scholar] [CrossRef]
- Isbrucker, R.A.; Edwards, J.A.; Wolz, E.; Davidovich, A.; Bausch, J. Safety studies on epigallocatechin gallate (EGCG) preparations. Part 3: Teratogenicity and reproductive toxicity studies in rats. Food Chem. Toxicol. 2006, 44, 651–661. [Google Scholar] [CrossRef]
- Juśkiewicz, J.; Zduńczyk, Z.; Jurgoński, A.; Brzuzan, Ł.; Godycka-Klos, I.; Żary-Sikorska, E. Extract of green tea leaves partially attenuates streptozotocin-induced changes in antioxidant status and gastrointestinal functioning in rats. Nutr. Res. 2008, 28, 343–349. [Google Scholar] [CrossRef]
- Awoniyi, D.O.; Aboua, Y.G.; Marnewick, J.L.; Du Plesis, S.S.; Brooks, N.L. Protective effects of rooibos (Aspalathus linearis), green tea (Camellia sinensis) and commercial supplements on testicular tissue of oxidative stress-induced rats. Afr. J. Biotechnol. 2011, 10, 17317–17322. [Google Scholar] [CrossRef]
- Yassa, H.A.; George, S.M.; Refaiy, A.E.R.M.; Abdel Moneim, E.M. Camellia sinensis (green tea) extract attenuate acrylamide induced testicular damage in albino rats. Environ. Toxicol. 2014, 29, 1155–1161. [Google Scholar] [CrossRef] [PubMed]
- El-Shahat, A.E.; Gabr, A.M.; Meki, A.M.; Mehana, E.E. Altered testicular morphology and oxidative stress induced by cadmium in experimental rats and protective effect of simultaneous green tea extract. Int. J. Morphol. 2009, 27, 757–764. [Google Scholar] [CrossRef]
- Cyboran, S.; Strugała, P.; Włoch, A.; Oszmiański, J.; Kleszczyńska, H. Concentrated green tea supplement: Biological activity and molecular mechanisms. Life Sci. 2015, 126, 1–9. [Google Scholar] [CrossRef] [PubMed]
- Hu, Y.; Cao, J.J.; Liu, P.; Guo, D.H.; Wang, Y.P.; Yin, J.; Zhu, Y.; Rahman, K. Protective role of tea polyphenols in combination against radiation-induced haematopoietic and biochemical alterations in mice. Phytother. Res. 2011, 25, 1761–1769. [Google Scholar] [CrossRef]
- Chang, M.C.; Chang, H.H.; Wang, T.M.; Chan, C.P.; Lin, B.R.; Yeung, S.Y.; Yeh, C.Y.; Cheng, R.H.; Jeng, J.H. Antiplatelet effect of catechol is related to inhibition of cyclooxygenase, reactive oxygen species, ERK/p38 signalling and thromboxane A2 production. PLoS ONE 2014, 9, e104310. [Google Scholar] [CrossRef]
- Atta, A.H.; Elkoly, T.A.; Mouneir, S.M.; Kamel, G.; Alwabel, N.A.; Zaher, S. Hepatoprotective effect of methanol extracts of Zingiber officinale and Cichorium intybus. Indian J. Pharm. Sci. 2010, 72, 564–570. [Google Scholar] [CrossRef]
- Rhiouani, H.; El-Hilaly, J.; Israili, Z.H.; Lyoussi, B. Acute and sub-chronic toxicity of an aqueous extract of the leaves of Herniaria glabra in rodents. J. Ethnopharmacol. 2008, 118, 378–386. [Google Scholar] [CrossRef]
- Gad, S.B.; Zaghloul, D.M. Beneficial effects of green tea extract on liver and kidney functions, ultrastructure, lipid profile and hematological parameters in aged male rats. Glob. Vet. 2013, 11, 191–205. [Google Scholar] [CrossRef]








| Haematological Parameter | C | E1 | E2 |
|---|---|---|---|
| LYM (109.L−1) | 3.54 ± 1.40 | 3.41 ± 0.56 | 4.24 ± 2.08 |
| WBC (109.L−1) | 8.31 ± 0.97 | 6.36 ± 0.74 | 6.64 ± 1.32 |
| GRA (109.L−1) | 4.36 ± 1.32 | 2.73 ± 0.93 | 2.14 ± 0.24 |
| MID (109.L−1) | 0.41 ± 0.04 a | 0.21 ± 0.06 b | 0.26 ± 0.11 b |
| MI (%) | 5.15 ± 0.84 | 3.25 ± 0.91 | 3.77 ± 1.7 |
| LY (%) | 44.93 ± 9.58 | 56.98 ± 9.81 | 61.9 ± 5.86 |
| GR (%) | 49.9 ± 9.93 | 39.80 ± 9.44 | 34.3 ± 7.09 |
| HGB (g.L−1) | 143.00 ± 5.34 | 135.00 ± 3.76 | 131.33 ± 2.60 |
| RBC (1012.L−1) | 6.03 ± 0.25 | 5.60 ± 0.13 | 5.68 ± 0.09 |
| MCV (fl) | 53.00 ± 0.00 | 53.50 ± 0.87 | 53.67 ± 0.67 |
| HCT (%) | 32.03 ± 1.34 | 29.92 ± 1.07 | 30.41 ± 0.38 |
| MCHC (g.L−1) | 447.50 ± 2.33 a | 451.75 ± 5.22 a | 432.33 ± 4.49 b |
| MCH (pg) | 23.78 ± 0.14 | 24.13 ± 0.32 | 23.17 ± 0.13 |
| PLT (109.L−1) | 244.00 ± 51.33 | 238.50 ± 51.10 | 138.68 ± 35.03 |
| RDWc (%) | 17.80 ± 0.31 | 18.48 ± 0.71 | 19.87 ± 0.22 |
| MPV (fl) | 6.55 ± 0.35 | 6.10 ± 0.15 | 6.07 ± 0.27 |
| PCT (%) | 0.16 ± 0.03 a | 0.15 ± 0.03 a | 0.08 ± 0.02 b |
| PDWc (%) | 31.80 ± 1.23 | 29.48 ± 0.57 | 30.23 ± 1.36 |
| Biochemical Parameter | C | E1 | E2 |
|---|---|---|---|
| Ca (mM.L−1) | 2.97 ± 0.08 | 2.83 ± 0.05 | 2.98 ± 0.17 |
| P (mM.L−1) | 1.52 ± 0.06 a | 1.38 ± 0.01 b | 1.37 ± 0.06 b |
| Mg (mM.L−1) | 1.26 ± 0.06 | 1.27 ± 0.03 | 1.16 ± 0.13 |
| Na (mM.L−1) | 149.08 ± 0.38 | 147.10 ± 0.57 | 149.43 ± 1.16 |
| K (mM.L−1) | 6.82 ± 0.15 | 6.60 ± 0.202 | 6.48 ± 0.25 |
| Cl (mM.L−1) | 110.15 ± 0.95 | 108.20 ± 1.21 | 108.13 ± 0.41 |
| Urea (mM.L−1) | 7.77 ± 0.67 | 6.41 ± 0.55 | 7.26 ± 0.83 |
| Glu (mM.L−1) | 6.69 ± 0.18 | 6.77 ± 0.20 | 6.51 ± 0.06 |
| TP (g.L−1) | 72.64 ± 1.80 a | 65.60 ± 2.66 b | 67.14 ± 2.27 b |
| ALT (µkat.L−1) | 0.90 ± 0.04 | 0.95 ± 0.06 | 1.00 ± 0.12 |
| AST (µkat.L−1) | 0.62 ± 0.07 | 0.65 ± 0.05 | 0.70 ± 0.09 |
| ALP (µkat.L−1) | 0.14 ± 0.03 | 0.18 ± 0.13 | 0.12 ± 0.07 |
| GGT (µkat.L−1) | 0.06 ± 0.04 | 0.05 ± 0.02 | 0.07 ± 0.06 |
| CK (µkat.L−1) | 37.96 ± 3.17 | 34.96 ± 3.47 | 41.68 ± 2.33 |
| Cholesterol (mM.L−1) | 0.75 ± 0.11 | 1.07 ± 0.28 | 1.02 ± 0.18 |
| Bilirubin (µM.L−1) | 5.69 ± 0.59 | 5.89 ± 0.71 | 5.98 ± 0.72 |
| TG (mM.L−1) | 0.43 ± 0.04 a | 0.55 ± 0.16 | 0.59 ± 0.07 b |
Publisher’s Note: MDPI stays neutral with regard to jurisdictional claims in published maps and institutional affiliations. |
© 2022 by the authors. Licensee MDPI, Basel, Switzerland. This article is an open access article distributed under the terms and conditions of the Creative Commons Attribution (CC BY) license (https://creativecommons.org/licenses/by/4.0/).
Share and Cite
Baláži, A.; Sirotkin, A.V.; Makovický, P.; Chrastinová, Ľ.; Makarevich, A.; Chrenek, P. Effect of Green Tea on Weight Gain and Semen Quality of Rabbit Males. Vet. Sci. 2022, 9, 321. https://doi.org/10.3390/vetsci9070321
Baláži A, Sirotkin AV, Makovický P, Chrastinová Ľ, Makarevich A, Chrenek P. Effect of Green Tea on Weight Gain and Semen Quality of Rabbit Males. Veterinary Sciences. 2022; 9(7):321. https://doi.org/10.3390/vetsci9070321
Chicago/Turabian StyleBaláži, Andrej, Alexander V. Sirotkin, Pavol Makovický, Ľubica Chrastinová, Alexander Makarevich, and Peter Chrenek. 2022. "Effect of Green Tea on Weight Gain and Semen Quality of Rabbit Males" Veterinary Sciences 9, no. 7: 321. https://doi.org/10.3390/vetsci9070321
APA StyleBaláži, A., Sirotkin, A. V., Makovický, P., Chrastinová, Ľ., Makarevich, A., & Chrenek, P. (2022). Effect of Green Tea on Weight Gain and Semen Quality of Rabbit Males. Veterinary Sciences, 9(7), 321. https://doi.org/10.3390/vetsci9070321

