Evaluation of 1cp-LSD for Enhancing Welfare in Shelter Dogs: A Randomized Blind Trial with Ethological Intervention
Simple Summary
Abstract
1. Introduction
2. Material and Methods
2.1. Subjects and Setting
2.2. Study Design
2.3. Ethical Considerations and Sample Size Rationale
2.4. Instruments for Measuring Canine Anxiety
2.5. Interventions
2.5.1. Ethological Intervention
2.5.2. Dosage of 1cp-LSD
2.5.3. Study Timeline
2.6. Statistical Analysis
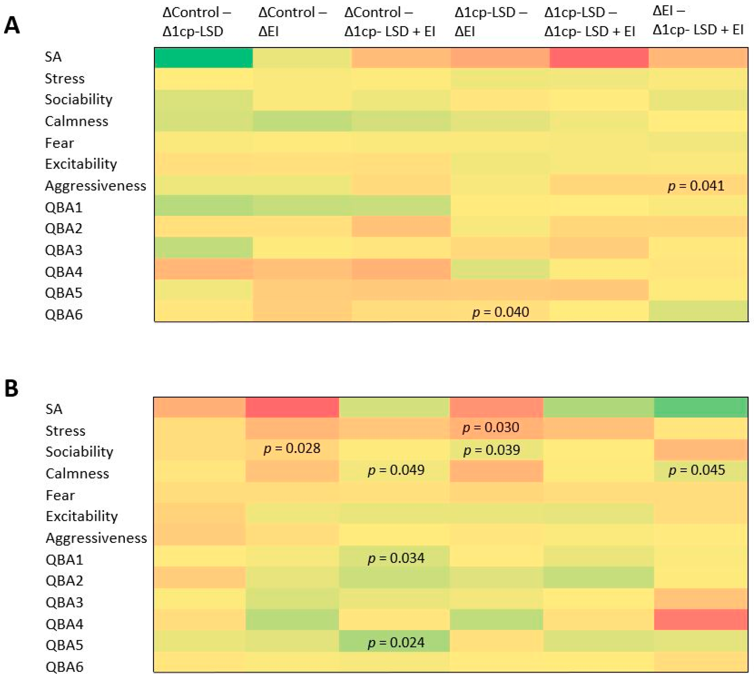
3. Results
3.1. Environmental Influence on Baseline Animal Behavior
3.2. Intra-Group Behavioral Analysis
3.3. Inter-Group Behavioral Analyses
4. Discussion
5. Strengths and Limitations
6. Conclusions
Supplementary Materials
Author Contributions
Funding
Institutional Review Board Statement
Informed Consent Statement
Data Availability Statement
Acknowledgments
Conflicts of Interest
Appendix A. The Treatment Expectation Questionnaire (TEX-Q)
Appendix B. The Qualitative Behavioral Assessment (QBA) of Shelter Dogs
References
- Fatjo, J.; Bowen, J.; Garcia, E.; Calvo, P.; Rueda, S.; Amblas, S.; Lalanza, J.F. Epidemiology of Dog and Cat Abandonment in Spain (2008–2013). Animals 2015, 5, 426–441. [Google Scholar] [CrossRef]
- Rodríguez-Soria, Y. El abandono animal en España: Una pandemia silenciosa sin respuesta efectiva; RTVE: Madrid, Spain, 2025. [Google Scholar]
- DGDA. Estudio sobre la gestión de la protección animal en España; DGDA (Dirección General de Derechos de los Animales): Madrid, Spain, 2025. [Google Scholar]
- Affinity. Estudio “Él Nunca lo Haría” Sobre Abandono y Adopción de Perros y Gatos. Available online: https://www.fundacion-affinity.org/es/investigacion/estudio-el-nunca-lo-haria-abandono-adopcion-perros-gatos (accessed on 3 March 2025).
- Salonen, M.; Sulkama, S.; Mikkola, S.; Puurunen, J.; Hakanen, E.; Tiira, K.; Araujo, C.; Lohi, H. Prevalence, comorbidity, and breed differences in canine anxiety in 13,700 Finnish pet dogs. Sci. Rep. 2020, 10, 2962. [Google Scholar] [CrossRef]
- Tiira, K.; Sulkama, S.; Lohi, H. Prevalence, comorbidity, and behavioral variation in canine anxiety. J. Vet. Behav. 2016, 16, 36–44. [Google Scholar] [CrossRef]
- Beaver, B.V. The prevalence of behavior problems in dogs in the United States. J. Vet. Behav. 2024, 76, 34–39. [Google Scholar] [CrossRef]
- Tiira, K.; Lohi, H. Early Life Experiences and Exercise Associate with Canine Anxieties. PLoS ONE 2015, 10, e0141907. [Google Scholar] [CrossRef] [PubMed]
- Raudies, C.; Waiblinger, S.; Arhant, C. Characteristics and Welfare of Long-Term Shelter Dogs. Animals 2021, 11, 194. [Google Scholar] [CrossRef]
- Chen, Y.H.; Chen, C.I.; Lin, C.Y.; Teng, K.T. Prevalent and Severe Conditions That Compromise the Welfare of Shelter Dogs: Opinions from the Taiwanese Experts. Animals 2025, 15, 592. [Google Scholar] [CrossRef]
- Shiverdecker, M.D.; Schiml, P.A.; Hennessy, M.B. Human interaction moderates plasma cortisol and behavioral responses of dogs to shelter housing. Physiol. Behav. 2013, 109, 75–79. [Google Scholar] [CrossRef]
- Hennessy, M.B.; Davis, H.N.; Williams, M.T.; Mellott, C.; Douglas, C.W. Plasma Cortisol Levels of Dogs at a County Animal Shelter. Physiol. Behav. 1997, 62, 485–490. [Google Scholar] [CrossRef] [PubMed]
- Arena, L.; Wemelsfelder, F.; Messori, S.; Ferri, N.; Barnard, S. Development of a fixed list of terms for the Qualitative Behavioural Assessment of shelter dogs. PLoS ONE 2019, 14, e0212652. [Google Scholar] [CrossRef]
- Hennessy, M.B.; Willen, R.M.; Schiml, P.A. Psychological Stress, Its Reduction, and Long-Term Consequences: What Studies with Laboratory Animals Might Teach Us about Life in the Dog Shelter. Animals 2020, 10, 2061. [Google Scholar] [CrossRef] [PubMed]
- De Palma, C.; Viggiano, E.; Barillari, E.; Palme, R.; Dufour, A.B.; Fantini, C.; Natoli, E. Evaluating the temperament in shelter dogs. Behaviour 2005, 142, 1307–1328. [Google Scholar] [CrossRef]
- DeTar, L.; Doyle, E.; O’Quin, J.; Aziz, C.; Berliner, E.; Bradley-Siemens, N.; Bushby, P.; Cannon, S.; DiGangi, B.; Donnett, U.; et al. The Guidelines for Standards of Care in Animal Shelters: Second Edition. J. Shelter. Med. Community Anim. Health 2022, 1, 1–76. [Google Scholar] [CrossRef]
- Abrams, J.; Brennen, R.; Byosiere, S.-E. Trazodone as a mediator of transitional stress in a shelter: Effects on illness, length of stay, and outcome. J. Vet. Behav. 2020, 36, 13–18. [Google Scholar] [CrossRef]
- Eagan, B.H.; Haaften, K.v.; Azadian, A.; Protopopova, A. The Use of Psychoactive Medications and Non-medication Alternatives for Cats and Dogs in North American Animal Shelters and Rescues. J. Shelter. Med. Community Anim. Health 2025, 4, 115. [Google Scholar] [CrossRef]
- Amaya, V.; Paterson, M.B.A.; Phillips, C.J.C. Effects of Olfactory and Auditory Enrichment on the Behaviour of Shelter Dogs. Animals 2020, 10, 581. [Google Scholar] [CrossRef]
- Marliani, G.; Vaccari, L.; Cavallini, D.; Montesano, C.S.; Buonaiuto, G.; Accorsi, P.A. Assessing the effectiveness of cannabidiol additive supplementation on canine behavior and cortisol levels. Heliyon 2024, 10, e31345. [Google Scholar] [CrossRef]
- Lowe, H.; Toyang, N.; Steele, B.; Grant, J.; Ali, A.; Gordon, L.; Ngwa, W. Psychedelics: Alternative and Potential Therapeutic Options for Treating Mood and Anxiety Disorders. Molecules 2022, 27, 2520. [Google Scholar] [CrossRef]
- Amaev, A.; Song, J.; Kambari, Y.; Carmona-Torres, E.; Abdolizadeh, A.; Ueno, F.; Koizumi, T.; Strafella, A.P.; Husain, M.I.; Graff-Guerrero, A.; et al. The effects of psychedelic-assisted therapy on illness and death anxiety: A systematic review and meta-analysis. J. Psychiatr. Res. 2025, 185, 204–214. [Google Scholar] [CrossRef]
- Menon, V.; Ramamurthy, P.; Venu, S.; Andrade, C. Randomized Controlled Trials of Psilocybin-Assisted Therapy in the Treatment of Major Depressive Disorder: Systematic Review and Meta-Analysis. Acta Psychiatr. Scand. 2025, 151, 557–571. [Google Scholar] [CrossRef]
- Wacker, D.; Wang, S.; McCorvy, J.D.; Betz, R.M.; Venkatakrishnan, A.J.; Levit, A.; Lansu, K.; Schools, Z.L.; Che, T.; Nichols, D.E.; et al. Crystal Structure of an LSD-Bound Human Serotonin Receptor. Cell 2017, 168, 377–389.e12. [Google Scholar] [CrossRef]
- Gattuso, J.J.; Perkins, D.; Ruffell, S.; Lawrence, A.J.; Hoyer, D.; Jacobson, L.H.; Timmermann, C.; Castle, D.; Rossell, S.L.; Downey, L.A.; et al. Default Mode Network Modulation by Psychedelics: A Systematic Review. Int. J. Neuropsychopharmacol. 2022, 26, 155–188. [Google Scholar] [CrossRef] [PubMed]
- Vermeire, S.T.; Audenaert, K.R.; Dobbeleir, A.A.; De Meester, R.H.; De Vos, F.J.; Peremans, K.Y. Evaluation of the brain 5-HT2A receptor binding index in dogs with anxiety disorders, measured with 123I-5I-R91150 and SPECT. J. Nucl. Med. 2009, 50, 284–289. [Google Scholar] [CrossRef]
- Kyathanahally, S.P.; Jia, H.; Pustovyy, O.M.; Waggoner, P.; Beyers, R.; Schumacher, J.; Barrett, J.; Morrison, E.E.; Salibi, N.; Denney, T.S.; et al. Anterior-posterior dissociation of the default mode network in dogs. Brain Struct. Funct. 2015, 220, 1063–1076. [Google Scholar] [CrossRef]
- Silver, R. Canine Microdose Project. Available online: https://www.k9microdose.com (accessed on 8 September 2025).
- Schonholz, S.M.; Appel, J.M.; Bursztajn, H.J.; Nair, M.; MacIntyre, M.R. Legal and Ethics Concerns of Psilocybin as Medicine. J. Am. Acad. Psychiatry Law. 2024, 52, 477–485. [Google Scholar]
- Brandt, S.D.; Kavanagh, P.V.; Westphal, F.; Stratford, A.; Odland, A.U.; Klein, A.K.; Dowling, G.; Dempster, N.M.; Wallach, J.; Passie, T.; et al. Return of the lysergamides. Part VI: Analytical and behavioural characterization of 1-cyclopropanoyl-d-lysergic acid diethylamide (1CP-LSD). Drug Test. Anal. 2020, 12, 812–826. [Google Scholar] [CrossRef] [PubMed]
- Hernandez-Alvarez, E.; Borkel, L.F.; Rojas-Hernandez, J.; Quintana-Hernandez, D.J.; Garcia-Serrano, I.; Fernandez-Borkel, T.; Zumbado, M.; Henriquez-Hernandez, L.A. Evaluating the Potential of Microdosing 1cp-LSD for the Treatment of Canine Anxiety: A One-Month Case Study. Vet. Med. Sci. 2025, 11, e70486. [Google Scholar] [CrossRef]
- Hernández-Álvarez, E.; Rojas-Hernández, J.; Borkel, L.F.; Quintana-Hernández, D.J.; Fernández-Borkel, T.; Henríquez-Hernández, L.A. Preliminary Findings on Low-Dose 1cp-LSD for Canine Anxiety: Exploring the Role of Owner Neuroticism and Psychopathology. Vet. Sci. 2025, 12, 872. [Google Scholar] [CrossRef]
- Henriquez-Hernandez, L.A.; Garcia-Serrano, I.; Quintana-Hernandez, D.J.; Rojas-Hernandez, J.; Hernandez-Alvarez, E.; Zumbado, M.; Fernandez-Borkel, T.; Borkel, L.F. Single-dose 1cp-LSD administration for canine anxiety: A pilot study. Vet. Res. Commun. 2024, 48, 4007–4014. [Google Scholar] [CrossRef] [PubMed]
- Albergue Insular de Animales—Cabildo de Gran Canaria. Available online: https://albergueanimalesgrancanaria.com/ (accessed on 8 September 2025).
- Shedden-Mora, M.C.; Alberts, J.; Petrie, K.J.; Laferton, J.A.C.; von Blanckenburg, P.; Kohlmann, S.; Nestoriuc, Y.; Lowe, B. The Treatment Expectation Questionnaire (TEX-Q): Validation of a generic multidimensional scale measuring patients’ treatment expectations. PLoS ONE 2023, 18, e0280472. [Google Scholar] [CrossRef]
- Polito, V.; Stevenson, R.J. A systematic study of microdosing psychedelics. PLoS ONE 2019, 14, e0211023. [Google Scholar] [CrossRef] [PubMed]
- Grant, K.L.; Long, S.N. Extended release huperzine for the treatment of idiopathic epilepsy in dogs—A Case Report. Front. Vet. Sci. 2025, 12, 1518379. [Google Scholar] [CrossRef]
- Pargatzi, G.; Bergadano, A.; Spadavecchia, C.; Theurillat, R.; Thormann, W.; Levionnois, O.L. Stereoselective Pharmacokinetics of Ketamine Administered at a Low Dose in Awake Dogs. Animals 2024, 14, 1012. [Google Scholar] [CrossRef] [PubMed]
- Parthasarathy, V.; Crowell-Davis, S.L. Relationship between attachment to owners and separation anxiety in pet dogs (Canis lupus familiaris). J. Vet. Behav. 2006, 1, 109–120. [Google Scholar] [CrossRef]
- Menchetti, L.; Righi, C.; Guelfi, G.; Enas, C.; Moscati, L.; Mancini, S.; Diverio, S. Multi-Operator Qualitative Behavioural Assessment for dogs entering the shelter. Appl. Anim. Behav. Sci. 2019, 213, 107–116. [Google Scholar] [CrossRef]
- Nichols, D.E. Psychedelics. Pharmacol. Rev. 2016, 68, 264–355. [Google Scholar] [CrossRef]
- Dolder, P.C.; Schmid, Y.; Steuer, A.E.; Kraemer, T.; Rentsch, K.M.; Hammann, F.; Liechti, M.E. Pharmacokinetics and Pharmacodynamics of Lysergic Acid Diethylamide in Healthy Subjects. Clin. Pharmacokinet. 2017, 56, 1219–1230. [Google Scholar] [CrossRef]
- Du Bois, D.; Du Bois, E.F. A formula to estimate the approximate surface area if height and weight be known. 1916. Nutrition 1989, 5, 303–311; discussion 303–312. [Google Scholar]
- Liechti, M.E.; Holze, F. Dosing Psychedelics and MDMA. Curr. Top. Behav. Neurosci. 2022, 56, 3–21. [Google Scholar] [CrossRef]
- Blaga-Petrean, A.L.; Popescu, S.; Csiplo, A.S. Welfare assessment of a dog shelter using the Shelter Quality Protocol. Cluj Vet. J. 2023, 28, 2–8. [Google Scholar] [CrossRef]
- Gunter, L.; Blade, E.; Gilchrist, R.; Nixon, B.; Reed, J.; Platzer, J.; Wurpts, I.; Feuerbacher, E.; Wynne, C. The Influence of Brief Outing and Temporary Fostering Programs on Shelter Dog Welfare. Animals 2023, 13, 3528. [Google Scholar] [CrossRef]
- d’Angelo, D.; d’Ingeo, S.; Ciani, F.; Visone, M.; Sacchettino, L.; Avallone, L.; Quaranta, A. Cortisol Levels of Shelter Dogs in Animal Assisted Interventions in a Prison: An Exploratory Study. Animals 2021, 11, 345. [Google Scholar] [CrossRef]
- Gilchrist, R.; Wynne, C. Reducing Human-Directed Kennel Reactivity in Shelter-Housed Dogs. Pets 2025, 2, 17. [Google Scholar] [CrossRef]
- Lader, M. Anxiolytic drugs: Dependence, addiction and abuse. Eur. Neuropsychopharmacol. 1994, 4, 85–91. [Google Scholar] [CrossRef] [PubMed]
- Almeida-Gonzalez, M.; Boada, L.D.; Henriquez-Hernandez, L.A.; Luzardo, O.P.; Zaragoza, E.; Burillo-Putze, G.; Quintana-Montesdeoca, M.P.; Zumbado, M. Medical Psychotropics in Forensic Autopsies in European Countries: Results from a Three-Year Retrospective Study in Spain. Toxics 2022, 10, 64. [Google Scholar] [CrossRef] [PubMed]
- Henríquez-Hernández, L.A. Drogas legales: Una Plaga Silenciosa. The Conversation, 25 May 2022. [Google Scholar]
- Henriquez-Hernandez, L.A.; Rojas-Hernandez, J.; Quintana-Hernandez, D.J.; Borkel, L.F. Hofmann vs. Paracelsus: Do Psychedelics Defy the Basics of Toxicology?-A Systematic Review of the Main Ergolamines, Simple Tryptamines, and Phenylethylamines. Toxics 2023, 11, 148. [Google Scholar] [CrossRef]
- Borkel, L.F.; Rojas-Hernandez, J.; Henriquez-Hernandez, L.A.; Santana Del Pino, A.; Quintana-Hernandez, D.J. Set and setting predict psychopathology, wellbeing and meaningfulness of psychedelic experiences: A correlational study. Expert Rev. Clin. Pharmacol. 2024, 17, 165–176. [Google Scholar] [CrossRef]
- Johansen, P.; Krebs, T. Psychedelics not linked to mental health problems or suicidal behavior: A population study. J. Psychopharmacol. 2015, 29, 270–279. [Google Scholar] [CrossRef]
- Agrawal, M.; Roddy, K.; Jenkins, B.; Leeks, C.; Emanuel, E. Long-term benefits of single-dose psilocybin in depressed patients with cancer. Cancer 2025, 131, e35889. [Google Scholar] [CrossRef]
- Elsilä, L.V.; Nagaeva, E.; Luukkonen, J.-P.; Korpi, E.R. Effects of serotonin agonists LSD and 25CN-NBOH on conditioned place preference and on synaptic plasticity of VTA dopamine neurons in mice. bioRxiv 2024. [Google Scholar] [CrossRef]
- Amiot, C.E.; Bastian, B. What is Beneficial in Our Relationships with Pets? Exploring the Psychological Factors Involved in Human–Pet Relations and Their Associations with Human Wellbeing. Anthrozoös 2023, 36, 579–603. [Google Scholar] [CrossRef]
- Arita, S.; Arita, N.; Hikasa, Y. Effects of Eplerenone on Blood Pressure and Echocardiographic and Serum Biochemical Variables in Five Healthy Dogs: A Pilot Study. Vet. Med. Int. 2020, 2020, 5193856. [Google Scholar] [CrossRef] [PubMed]
- Kaka, U.; Saifullah, B.; Abubakar, A.A.; Goh, Y.M.; Fakurazi, S.; Kaka, A.; Behan, A.A.; Ebrahimi, M.; Chen, H.C. Serum concentration of ketamine and antinociceptive effects of ketamine and ketamine-lidocaine infusions in conscious dogs. BMC Vet. Res. 2016, 12, 198. [Google Scholar] [CrossRef] [PubMed]




| ID | Breed * | Age (Months) | Weight (kg) | Body Length (cm) | Sex | Time at Shelter (Months) ** | Housing Type | Area Per Animal (m2) | Behavioral Issues with Other Dogs *** | Attempted Bite Toward Staff |
|---|---|---|---|---|---|---|---|---|---|---|
| 001 (1) | C-Pod | 85 | 26.8 | 83.0 | Male | 48 | Group | 6.2 | No | No |
| 002 (1) | Mx-PDD | 52 | 25.7 | 73.0 | Female | 34 | Individual | 12.5 | Yes | No |
| 003 (2) | Mx-PDD | 59 | 25.3 | 83.0 | Female | 29 | Group | 6.2 | No | No |
| 004 (3) | Mx-PDD | 79 | 32.3 | 85.0 | Female | 29 | Individual | 2.3 | Yes | No |
| 005 (4) | Mx-PDD | 87 | 25.0 | 73.0 | Female | 28 | Individual | 2.3 | No | Yes |
| 006 (3) | Mx-Shep | 19 | 17.0 | 78.5 | Male | 6 | Group | 3.1 | No | No |
| 007 (1) | C-Pod | 70 | 19.4 | 78.0 | Male | 10 | Group | 33.6 | Yes | No |
| 008 (4) | Mx | 25 | 16.4 | 66.0 | Female | 8 | Group | 3.1 | No | No |
| 009 (2) | Mx-PDD | 50 | 21.5 | 70.0 | Male | 28 | Group | 6.2 | No | Yes |
| 010 (4) | Mx-PDD | 38 | 25.5 | 75.0 | Female | 28 | Group | 6.2 | No | Yes |
| 011 (2) | Mx-Terr | 39 | 17.8 | 71.0 | Male | 18 | Individual | 2.3 | Yes | No |
| 012 (3), (a) | Mx-Bard | 30 | 30.0 | 89.0 | Male | 16 | Group | 56.0 | Yes | No |
| 013 (4), (b) | Mx-PDD | 40 | 17.8 | 71.0 | Female | 16 | Individual | 2.3 | Yes | Yes |
| 014 (3) | C-Pod | 36 | 17.4 | 82.0 | Female | 7 | Group | 33.6 | No | No |
| 015 (2) | Mx-Shep | 13 | 12.0 | 82.0 | Female | 10 | Group | 20.4 | No | No |
| 016 (4) | Mx-Shep | 13 | 11.5 | 87.0 | Male | 10 | Group | 9.0 | No | No |
| 017 (3) | Mx-Shep | 13 | 15.0 | 89.0 | Male | 10 | Group | 20.4 | Yes | No |
| 018 (1) | Mx-Shep | 13 | 12.8 | 83.0 | Male | 10 | Group | 20.4 | No | No |
| 019 (1) | C-Pod | 85 | 16.4 | 87.0 | Female | 3 | Group | 6.2 | No | No |
| 020 (2) | C-Pod | 38 | 20.8 | 87.0 | Male | 3 | Group | 6.2 | No | No |
| Age | Time in Shelter | Enclosure Size | Space Per Animal | |
|---|---|---|---|---|
| Separation anxiety a | ||||
| Pearson r | 0.027 | 0.093 | −0.250 | −0.101 |
| p value | 0.929 | 0.763 | 0.410 | 0.742 |
| Stress b | ||||
| Pearson r | −0.385 | −0.572 | 0.251 | 0.182 |
| p value | 0.093 | 0.008 | 0.285 | 0.443 |
| Sociability b | ||||
| Pearson r | 0.038 | 0.550 | −0.083 | 0.112 |
| p value | 0.873 | 0.012 | 0.727 | 0.638 |
| Calmness b | ||||
| Pearson r | 0.111 | 0.254 | 0.108 | 0.065 |
| p value | 0.642 | 0.280 | 0.650 | 0.786 |
| Fear b | ||||
| Pearson r | −0.268 | −0.665 | 0.227 | 0.046 |
| p value | 0.252 | 0.001 | 0.337 | 0.847 |
| Excitability b | ||||
| Pearson r | 0.244 | 0.061 | 0.018 | 0.146 |
| p value | 0.300 | 0.799 | 0.939 | 0.539 |
| Aggressiveness b | ||||
| Pearson r | 0.050 | −0.203 | −0.355 | −0.357 |
| p value | 0.835 | 0.391 | 0.125 | 0.122 |
| QBA 1 | ||||
| Pearson r | 0.092 | 0.485 | 0.018 | 0.107 |
| p value | 0.700 | 0.030 | 0.941 | 0.654 |
| QBA 2 | ||||
| Pearson r | −0.053 | −0.463 | −0.023 | −0.087 |
| p value | 0.826 | 0.040 | 0.923 | 0.714 |
| QBA 3 c | ||||
| Pearson r | −0.207 | −0.555 | 0.052 | −0.130 |
| p value | 0.380 | 0.011 | 0.828 | 0.584 |
| QBA 4 c | ||||
| Pearson r | −0.110 | 0.116 | −0.064 | 0.048 |
| p value | 0.644 | 0.626 | 0.790 | 0.842 |
| QBA 5 c | ||||
| Pearson r | 0.167 | 0.547 | 0.129 | 0.265 |
| p value | 0.481 | 0.013 | 0.586 | 0.259 |
| QBA 6 c | ||||
| Pearson r | 0.165 | 0.123 | −0.181 | −0.167 |
| p value | 0.488 | 0.605 | 0.446 | 0.481 |
| Group | Pre Treatment | Post Treatment | End of Study | p Value * | p Value ** |
|---|---|---|---|---|---|
| Control | |||||
| SA a | 12 (3.5–24.5) | 6.9 (3.0–11.5) | 8.9 (3.5–14.0) | 0.401 | 0.482 |
| Stress b | 3.1 (2.0–4.0) | 2.9 (2.0–4.3) | 3.2 (2.0–4.5) | 0.338 | 0.446 |
| Sociability b | 2.6 (2.0–3.0) | 2.4 (1.0–4.0) | 2.1 (1.0–3.0) | 0.621 | 0.374 |
| Calmness b | 2.2 (0–5.0) | 1.9 (1.0–3.0) | 2.1 (1.0–3.5) | 0.716 | 0.587 |
| Fear b | 2.0 (0–4.0) | 1.6 (0–4.0) | 1.7 (0–4.0) | 0.477 | 0.815 |
| Excitability b | 2.7 (1.0–4.0) | 3.6 (2.0–5.0) | 3.0 (1.0–4.5) | 0.221 | 0.573 |
| Aggressiveness b | 1.4 (0–4.0) | 1.2 (0–2.5) | 1.4 (0–4.0) | 0.717 | 0.587 |
| QBA 1 | 4.8 (2.0–8.0) | 4.3 (2.0–6.0) | 4.2 (2.5–5.5) | 0.582 | 0.861 |
| QBA 2 | 6.1 (2.0–10) | 6.4 (3.0–9.0) | 6.1 (4.5–9.0) | 0.843 | 0.786 |
| QBA 3 c | 11.2 (6.0–14) | 10. 0 (7.5–12) | 8.6 (4.5–11.5) | 0.470 | 0.357 |
| QBA 4 c | 20.7 (12–26) | 21.3 (15–23.5) | 21.5 (19.5–24) | 0.690 | 0.893 |
| QBA 5 c | 18.2 (16–21) | 20.4 (15–26.5) | 19.1 (14–25.5) | 0.194 | 0.173 |
| QBA 6 c | 4.4 (2.0–9.0) | 5.4 (2.0–10) | 5.2 (2.0–9.5) | 0.266 | 0.859 |
| 1cp-LSD | |||||
| SA | 7.0 (0.8–18) | 6.3 (3.5–10) | 7.5 (1.5–15.5) | 0.872 | 0.655 |
| Stress | 3.5 (3.0–4.0) | 3.0 (2.3–4.0) | 3.4 (3.0–4.0) | 0.047 | 0.080 |
| Sociability | 1.8 (0–4.0) | 2.3 (1.0–3.0) | 2.1 (1.5–2.5) | 0.413 | 0.541 |
| Calmness | 1.2 (0–3.0) | 1.7 (1.0–2.0) | 2.2 (0–4.0) | 0.473 | 0.519 |
| Fear | 3.0 (0–5.0) | 2.5 (1.0–4.0) | 2.7 (1.5–3.5) | 0.519 | 0.688 |
| Excitability | 4.2 (3.0–5.0) | 3.9 (3.0–5.0) | 3.2 (2.0–5.0) | 0.529 | 0.080 |
| Aggressiveness | 0.8 (0–3.0) | 0.8 (0–3.0) | 0.8 (0–3.5) | 0.996 | 0.996 |
| QBA 1 | 3.0 (0–4.0) | 4.0 (3.0–5.0) | 4.3 (1.5–6.0) | 0.129 | 0.675 |
| QBA 2 | 8.0 (5.0–13) | 7.2 (5.0–10) | 6.7 (4.0–11.5) | 0.685 | 0.561 |
| QBA 3 | 11.8 (6.0–15) | 119 (9.0–15) | 11.3 (7.0–14) | 0.943 | 0.618 |
| QBA 4 | 24.2 (20–33) | 21.4 (19–25) | 21.7 (14–28) | 0.122 | 0.903 |
| QBA 5 | 17.6 (13–20) | 19.9 (15–24) | 19.7 (16.5–24) | 0.079 | 0.885 |
| QBA 6 | 2.4 (2.0–3.0) | 2.6 (2.0–3.0) | 2.7 (2.0–5.0) | 0.374 | 0.866 |
| Ethology-based intervention (EI) | |||||
| SA | 7.2 (3.0–14) | 2.9 (1.5–4.5) | 2.6 (1.5–3.5) | 0.310 | 0.783 |
| Stress | 3.4 (1.0–5.0) | 3.1 (1.0–4.0) | 2.7 (0.5–4.0) | 0.675 | 0.160 |
| Sociability | 2.4 (1.0–5.0) | 2.1 (1.0–4.0) | 3.0 (2.0–5.0) | 0.634 | 0.053 |
| Calmness | 2.0 (1.0–4.0) | 3.0 (2.0–3.5) | 2.8 (2.0–4.0) | 0.129 | 0.717 |
| Fear | 2.8 (0–5.0) | 2.2 (0–4.0) | 2.4 (0.5–4.0) | 0.070 | 0.374 |
| Excitability | 2.8 (2.0–4.0) | 2.6 (2.0–3.0) | 3.0 (2.0–4.0) | 0.749 | 0.528 |
| Aggressiveness | 1.0 (0–3.0) | 1.0 (0–2.0) | 1.3 (0–3.5) | 0.991 | 0.501 |
| QBA 1 | 4.4 (2.0–8.0) | 5.1 (4.0–7.5) | 5.8 (4.5–8.0) | 0.454 | 0.226 |
| QBA 2 | 6.6 (4.0–11) | 5.8 (3.0–8.0) | 6.7 (5.0–11) | 0.374 | 0.295 |
| QBA 3 | 11.6 (5.0–17) | 10.2 (4.0–17) | 10.3 (4.5–15.5) | 0.245 | 0.880 |
| QBA 4 | 22.6 (13–25) | 18.4 (13–26) | 20.8 (13.5–28) | 0.295 | 0.453 |
| QBA 5 | 20.2 (15–27) | 20.3 (17–28) | 20.3 (17–23.5) | 0.970 | 0.906 |
| QBA 6 | 4.2 (2.0–7.0) | 3.2 (2.0–7.0) | 3.7 (2.0–8.5) | 0.089 | 0.142 |
| 1cp-LSD + EI | |||||
| SA | 16. 2 (9.0–24) | 8.0 (4.0–12.5) | 11.7 (10.5–14) | 0.302 | 0.132 |
| Stress | 3.5 (0.5–5.0) | 3.1 (1.5–4.5) | 3.0 (1.0–4.0) | 0.338 | 0.621 |
| Sociability | 2.0 (0–4.0) | 2.0 (0–4.0) | 2.3 (1.0–4.0) | 0.990 | 0.305 |
| Calmness | 1.0 (0–2.0) | 1.6 (1.0–3.0) | 2.7 (1.5–4.5) | 0.305 | 0.004 |
| Fear | 3.0 (1.0–5.0) | 2.5 (0–4.5) | 2.8 (1.0–4.0) | 0.374 | 0.374 |
| Excitability | 3.6 (3.0–5.0) | 3.3 (1.0–5.0) | 3.8 (2.5–5.0) | 0.704 | 0.460 |
| Aggressiveness | 2.8 (1.0–4.0) | 1.2 (0.5–2.5) | 1.9 (1.0–3.5) | 0.030 | 0.135 |
| QBA 1 | 3.0 (0–6.0) | 3.6 (1.0–6.0) | 5.0 (2.5–7.5) | 0.235 | 0.005 |
| QBA 2 | 9.4 (5.0–14) | 7.0 (3.5–9.5) | 8.5 (4.5–10) | 0.166 | 0.184 |
| QBA 3 | 12.8 (6.0–17) | 10.8 (5.0–13) | 10.5 (6.0–14.5) | 0.099 | 0.810 |
| QBA 4 | 24.6 (20–32) | 21.6 (17–24) | 22.1 (18–25) | 0.165 | 0.740 |
| QBA 5 | 18.0 (10–24) | 17.9 (10–25) | 19.2 (12.5–25) | 0.939 | 0.062 |
| QBA 6 | 2.6 (2.0–4.0) | 2.3 (2.0–3.5) | 2.9 (2.0–4.0) | 0.634 | 0.324 |
Disclaimer/Publisher’s Note: The statements, opinions and data contained in all publications are solely those of the individual author(s) and contributor(s) and not of MDPI and/or the editor(s). MDPI and/or the editor(s) disclaim responsibility for any injury to people or property resulting from any ideas, methods, instructions or products referred to in the content. |
© 2026 by the authors. Licensee MDPI, Basel, Switzerland. This article is an open access article distributed under the terms and conditions of the Creative Commons Attribution (CC BY) license.
Share and Cite
Hernández-Álvarez, E.; Canino-Quijada, C.; Roiz, S.; Luzardo, O.P.; Henríquez-Hernández, L.A. Evaluation of 1cp-LSD for Enhancing Welfare in Shelter Dogs: A Randomized Blind Trial with Ethological Intervention. Vet. Sci. 2026, 13, 96. https://doi.org/10.3390/vetsci13010096
Hernández-Álvarez E, Canino-Quijada C, Roiz S, Luzardo OP, Henríquez-Hernández LA. Evaluation of 1cp-LSD for Enhancing Welfare in Shelter Dogs: A Randomized Blind Trial with Ethological Intervention. Veterinary Sciences. 2026; 13(1):96. https://doi.org/10.3390/vetsci13010096
Chicago/Turabian StyleHernández-Álvarez, Elisa, Cristina Canino-Quijada, Sira Roiz, Octavio P. Luzardo, and Luis Alberto Henríquez-Hernández. 2026. "Evaluation of 1cp-LSD for Enhancing Welfare in Shelter Dogs: A Randomized Blind Trial with Ethological Intervention" Veterinary Sciences 13, no. 1: 96. https://doi.org/10.3390/vetsci13010096
APA StyleHernández-Álvarez, E., Canino-Quijada, C., Roiz, S., Luzardo, O. P., & Henríquez-Hernández, L. A. (2026). Evaluation of 1cp-LSD for Enhancing Welfare in Shelter Dogs: A Randomized Blind Trial with Ethological Intervention. Veterinary Sciences, 13(1), 96. https://doi.org/10.3390/vetsci13010096

