Exploring the Effects of Oral Calcium Bolus Supplementation on Serum Minerals and Energy Balance Indicators in Simmental Cows Fed a Prepartum Anionic Diet
Simple Summary
Abstract
1. Introduction
2. Materials and Methods
2.1. Animals and Experimental Design
2.2. Housing and Herd Management
2.3. Diets and Feeding
2.4. Measurements, Sampling and Calculations
2.5. Statistical Analysis
3. Results
3.1. Serum Mineral Profiles
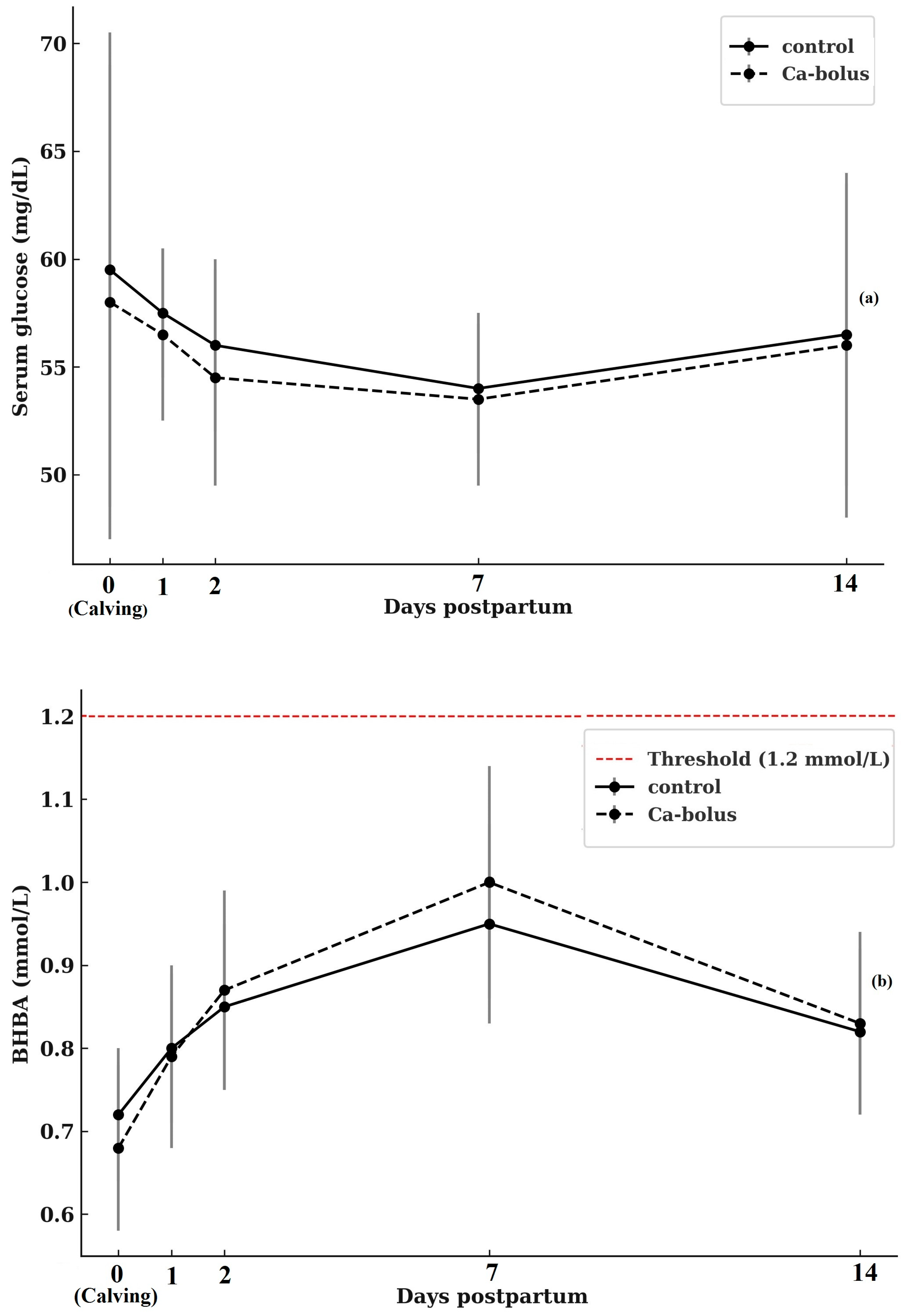
3.2. Energy-Related Blood Metabolites
4. Discussion
4.1. Calcium, Phosphorus, and Magnesium
4.2. Energy Metabolism Biomarkers
5. Conclusions
Author Contributions
Funding
Institutional Review Board Statement
Informed Consent Statement
Data Availability Statement
Acknowledgments
Conflicts of Interest
References
- Oetzel, G.R. Oral calcium supplementation in peripartum dairy cows. Vet. Clin. N. Am. Food Anim. Pract. 2013, 29, 447–455. [Google Scholar] [CrossRef] [PubMed]
- Goff, J.P.; Horst, R.L. Physiological changes at parturition and their relationship to metabolic disorders. J. Dairy Sci. 1997, 80, 1260–1268. [Google Scholar] [CrossRef] [PubMed]
- Lean, I.J.; Van Saun, R.; DeGaris, P.J. Mineral and antioxidant management of transition dairy cows. Vet. Clin. Food Anim. Pract. 2013, 29, 367–386. [Google Scholar] [CrossRef]
- Martín-Tereso, J.; Martens, H. Calcium and magnesium physiology and nutrition in relation to the prevention of milk fever and tetany. Vet. Clin. Food Anim. 2014, 30, 643–670. [Google Scholar] [CrossRef]
- Chapinal, N.; Carson, M.E.; LeBlanc, S.J.; Leslie, K.E.; Godden, S.; Capel, M.; Duffield, T.F. The association of serum metabolites in the transition period with milk production and early-lactation reproductive performance. J. Dairy Sci. 2012, 95, 1301–1309. [Google Scholar] [CrossRef]
- Ribeiro, E.S.; Lima, F.S.; Greco, L.F.; Bisinotto, R.S.; Monteiro, A.P.A.; Favoreto, M.; Santos, J.E.P. Prevalence of periparturient diseases and effects on fertility of seasonally calving grazing dairy cows supplemented with concentrates. J. Dairy Sci. 2013, 96, 5682–5697. [Google Scholar] [CrossRef]
- Martinez, N.; Sinedino, L.D.P.; Bisinotto, R.S.; Ribeiro, E.S.; Gomes, G.C.; Lima, F.S.; Greco, L.F.; Risco, C.A.; Galvao, K.N.; Taylor-Rodriguez, D.; et al. Effect of induced subclinical hypocalcemia on physiological responses and neutrophil function in dairy cows. J. Dairy Sci. 2014, 97, 874–887. [Google Scholar] [CrossRef]
- Reinhardt, T.A.; Lippolis, J.D.; McCluskey, B.J.; Goff, J.P.; Horst, R.L. Prevalence of subclinical hypocalcemia in dairy herds. Vet. J. 2011, 188, 122–124. [Google Scholar] [CrossRef]
- Chamberlin, W.G.; Middleton, J.R.; Spain, J.N.; Johnson, G.C.; Ellersieck, M.R.; Pithua, P. Subclinical hypocalcemia, plasma biochemical parameters, lipid metabolism, postpartum disease, and fertility in postparturient dairy cows. J. Dairy Sci. 2013, 96, 7001–7013. [Google Scholar] [CrossRef]
- McArt, J.A.A.; Neves, R.C. Association of transient, persistent, or delayed subclinical hypocalcemia with early lactation disease, removal, and milk yield in Holstein cows. J. Dairy Sci. 2020, 103, 690–701. [Google Scholar] [CrossRef] [PubMed]
- Venjakob, P.L.; Staufenbiel, R.; Heuwieser, W.; Borchardt, S. Association between serum calcium dynamics around parturition and common postpartum diseases in dairy cows. J. Dairy Sci. 2021, 104, 2243–2253. [Google Scholar] [CrossRef] [PubMed]
- Farnia, S.A.; Rasooli, A.; Nouri, M.; Shahryari, A.; Bakhtiary, M.K.; Constable, P.D. Effect of postparturient oral calcium administration on serum total calcium concentration in Holstein cows fed diets of different DCAD in late gestation. Res. Vet. Sci. 2018, 117, 118–124. [Google Scholar] [CrossRef]
- Block, E. Manipulation of dietary cation–anion difference on nutritionally related production diseases, productivity, and metabolic responses of dairy cows. J. Dairy Sci. 1984, 77, 1437–1450. [Google Scholar] [CrossRef]
- Leno, B.M.; Ryan, C.M.; Stokol, T.; Kirk, D.; Zanzalari, K.P.; Chapman, J.D.; Overton, D.R. Effects of prepartum dietary cation–anion difference on aspects of peripartum mineral and energy metabolism and performance of multiparous Holstein cows. J. Dairy Sci. 2017, 100, 4604–4622. [Google Scholar] [CrossRef]
- Jahani-Moghadam, M.; Yansari, A.T.; Chashnidel, Y.; Dirandeh, E.; Mahjoubi, E. Short- and long-term effects of postpartum oral bolus vs. subcutaneous Ca supplements in Holstein cows fed a prepartum anionic diet. Animals 2020, 14, 983–990. [Google Scholar]
- Goff, J.P. The monitoring, prevention, and treatment of milk fever and subclinical hypocalcemia in dairy cows. Vet. J. 2008, 176, 50–57. [Google Scholar] [CrossRef]
- Oetzel, G.R.; Miller, B.E. Effect of oral calcium bolus supplementation on early-lactation health and milk yield in commercial dairy herds. J. Dairy Sci. 2012, 95, 7051–7065. [Google Scholar] [CrossRef] [PubMed]
- Horst, R.L.; Goff, J.P.; Reinhardt, T.A. Adapting to the transition between gestation and lactation: Differences between rat, human and dairy cow. J. Mammary Gland Biol. Neoplasia 2005, 10, 141–156. [Google Scholar] [CrossRef]
- McArt, J.A.A.; Oetzel, G.R. Considerations in the diagnosis and treatment of early lactation calcium disturbances. Vet. Clin. Food Anim. Pract. 2023, 39, 241–259. [Google Scholar] [CrossRef]
- Domino, A.R.; Korzec, H.C.; McArt, J.A. Field trial of 2 calcium supplements on early lactation health and production in multiparous Holstein cows. J. Dairy Sci. 2017, 100, 9681–9690. [Google Scholar] [CrossRef]
- Wilms, J.N.; Daniel, J.B.; Martín-Tereso, J.; Klop, A.; Goselink, R.; Han, Y.; van Kuijk, S. Blood calcium dynamics in cows receiving an aqueous calcium suspension for voluntary consumption or a calcium bolus following parturition. J. Dairy Res. 2022, 89, 29–36. [Google Scholar] [CrossRef] [PubMed]
- Valldecabres, A.; Pires, J.A.A.; Silva-del-Río, N. Effect of prophylactic oral calcium supplementation on postpartum mineral status and energy balance in multiparous Jersey cows. J. Dairy Sci. 2018, 101, 4460–4472. [Google Scholar] [CrossRef] [PubMed]
- Wilms, J.; Wang, G.; Doelman, J.; Jacobs, M.; Martín-Tereso, J. Intravenous calcium infusion in a calving protocol disrupts calcium homeostasis compared with an oral calcium supplement. J. Dairy Sci. 2019, 102, 6056–6064. [Google Scholar] [CrossRef]
- Goff, J.A.; Horst, R.L. Oral administration of calcium salts for treatment of hypocalcemia in cattle. J. Dairy Sci. 1993, 76, 101–108. [Google Scholar] [CrossRef]
- McIntyre, L.H.; Weston, S.J. An investigation of the safety of oral calcium formate in dairy cows using clinical, biochemical and histopathological parameters. N. Z. Vet. J. 2002, 50, 195–198. [Google Scholar] [CrossRef] [PubMed]
- Goff, J.P. Invited review: Mineral absorption mechanisms, mineral interactions that affect acid–base and antioxidant status, and diet considerations to improve mineral status. J. Dairy Sci. 2018, 101, 2763–2813. [Google Scholar] [CrossRef]
- Verhoef, W.; Zuidhof, S.; Ralston, B.; Ross, J.A.; Olson, M.E. Dissolution rates of calcium boluses and their effects on serum calcium in dairy cattle. Vet. Med. Res. Rep. 2021, 12, 23–32. [Google Scholar]
- Lopreiato, V.; Minuti, A.; Trimboli, F.; Britti, D.; Morittu, V.M.; Cappelli, F.P.; Loor, J.J.; Trevisi, E. Immunometabolic status and performance differences between Simmental and Holstein cows in response to pegbovigrastim. J. Dairy Sci. 2019, 102, 9312–9327. [Google Scholar] [CrossRef]
- Lopreiato, V.; Minuti, A.; Morittu, V.M.; Britti, D.; Piccioli-Cappelli, F.; Loor, J.J.; Trevisi, E. Inflammation, migration, and cell-cell interaction-related gene network expression in leukocytes is enhanced in Simmental compared with Holstein dairy cows after calving. J. Dairy Sci. 2020, 103, 1908–1913. [Google Scholar] [CrossRef]
- Gelfert, C.C.; Alpers, I.; Dallmeyer, M.; Decker, M.; Hüting, A.; Lesch, S.; Staufenbiel, R. Factors affecting the success rate of treatment of recumbent dairy cows suffering from hypocalcaemia. J. Vet. Med. Ser. A 2007, 54, 191–198. [Google Scholar] [CrossRef]
- Djokovic, R.D.; Kurcubic, V.S.; Ilic, Z.Z. Blood serum levels of macro- and micronutrients in transition and full lactation cows. Bulg. J. Agric. Sci. 2014, 20, 715–720. [Google Scholar]
- Edmonson, A.J.; Lean, I.J.; Weaver, L.D.; Farver, T.; Webster, G. A body condition scoring chart for Holstein dairy cows. J. Dairy Sci. 1989, 72, 68–78. [Google Scholar] [CrossRef]
- Schröder, B.; Wilkens, M.R.; Ricken, G.E.; Leonhard-Marek, S.; Fraser, D.R.; Breves, G. Calcium transport in bovine rumen epithelium as affected by luminal Ca concentrations and Ca sources. Physiol. Rep. 2015, 3, e12615. [Google Scholar] [CrossRef]
- NRC. Nutrient Requirements of Dairy Cattle, 7th ed.; National Academies Press: Washington, DC, USA, 2001. [Google Scholar]
- AOAC. Official Methods of Analysis, 16th ed.; AOAC International: Gaithersburg, MD, USA, 1998. [Google Scholar]
- Van Soest, P.J.; Robertson, J.B.; Lewis, B.A. Methods for dietary fiber, neutral detergent fiber, and nonstarch polysaccharides in relation to animal nutrition. J. Dairy Sci. 1991, 74, 3583–3597. [Google Scholar] [CrossRef]
- Tucker, W.B.; Hogue, J.F.; Adams, G.D.; Aslam, M.; Shin, I.S.; Morgan, G. Influence of dietary cation–anion balance during the dry period on parturient paresis in cows fed excess calcium. J. Anim. Sci. 1992, 70, 1238–1250. [Google Scholar] [CrossRef] [PubMed]
- McArt, J.A.A.; Nydam, D.V.; Oetzel, G.R. Epidemiology of subclinical ketosis in early lactation dairy cattle. J. Dairy Sci. 2012, 95, 5056–5066. [Google Scholar] [CrossRef] [PubMed]
- Shin, E.K.; Jeong, J.K.; Choi, I.S.; Kang, H.G.; Hur, T.Y.; Jung, Y.H.; Kim, I.H. Relationships among ketosis, serum metabolites, body condition, and reproductive outcomes in dairy cows. Theriogenology 2015, 84, 252–260. [Google Scholar] [CrossRef]
- Goff, J.P. Macromineral disorders of the transition cow. Vet. Clin. Food Anim. Pract. 2004, 20, 471–494. [Google Scholar] [CrossRef]
- Masoero, F.; Moschini, M.; Pulimeno, A.M. Serum calcium and magnesium level in dairy cows at calving. Ital. J. Anim. Sci. 2003, 2, 172–174. [Google Scholar]
- Frost, I.R.; Seely, C.R.; McCray, H.A.; Callero, K.R.; Seminara, J.A.; Martinez, R.M.; Reid, A.M.; Wilbur, C.N.; Koebel, K.J.; McArt, J.A.A. Effect of postpartum calcium supplementation on serum calcium and parathyroid hormone concentrations in multiparous Holstein cows. JDS Commun. 2024, 5, 215–219. [Google Scholar] [CrossRef]
- Magro, S.; Costa, A.; Cesarani, A.; Degano, L.; De Marchi, M. Genetic aspects of major blood metabolites in the Italian Simmental cattle population. J. Dairy Sci. 2025, 108, 1778–1789. [Google Scholar] [CrossRef] [PubMed]
- Goff, J.P. Treatment of calcium, phosphorus, and magnesium balance disorders. Vet. Clin. N. Am. Food Anim. Pract. 1999, 15, 619–645. [Google Scholar] [CrossRef] [PubMed]
- Shock, D.A.; Roche, S.M.; Genore, R.; Olson, M.E. A pilot study to evaluate the effect of a novel calcium and vitamin D-containing oral bolus on serum calcium levels in Holstein dairy cows following parturition. Vet. Med. Res. Rep. 2019, 10, 151–158. [Google Scholar] [CrossRef] [PubMed]
- Jahani-Moghadam, M.; Chashnidel, Y.; Teimouri-Yansari, A.; Mahjoubi, E.; Dirandeh, E. Effect of oral calcium bolus administration on milk production, serum minerals and metabolites, health status, and reproduction in Holstein dairy cows. N. Z. Vet. J. 2018, 66, 132–137. [Google Scholar] [CrossRef]
- Martinez, N.; Sinedino, L.D.P.; Bisinotto, R.S.; Daetz, R.; Risco, C.A.; Galvão, K.N.; Thatcher, W.W.; Santos, J.E.P. Effects of oral calcium supplementation on productive and reproductive performance in Holstein cows. J. Dairy Sci. 2016, 99, 8417–8430. [Google Scholar] [CrossRef]
- Melendez, P.; Roeschmann, C.; Arevalo, A.; Moller, J. The effect of oral calcium boluses at parturition on blood metabolites and milk yield in grazing Holstein cattle. Livest. Sci. 2021, 248, 104510. [Google Scholar] [CrossRef]
- Martinez, N.; Sinedino, L.D.P.; Bisinotto, R.S.; Daetz, R.; Lopera, C.; Risco, C.A.; Galvão, K.N.; Thatcher, W.W.; Santos, J.E.P. Effects of oral calcium supplementation on mineral and acid–base status, energy metabolites, and health of postpartum dairy cows. J. Dairy Sci. 2016, 99, 8397–8416. [Google Scholar] [CrossRef]
- Weber, C.; Hametner, C.; Tuchscherer, A.; Losand, B.; Kanitz, E.; Otten, W.; Singh, S.P.; Bruckmaier, R.M.; Becker, F.; Kanitz, W.; et al. Variation in fat mobilization during early lactation affects intake, body condition, lipid and glucose metabolism in high-yielding dairy cows. J. Dairy Sci. 2013, 96, 165–180. [Google Scholar] [CrossRef]
- Witzel, D.A.; Littledike, E.T. Suppression of insulin secretion during induced hypocalcemia. Endocrinology 1973, 93, 761–766. [Google Scholar] [CrossRef]
- Rorsman, P.; Braun, M.; Zhang, Q. Regulation of calcium in pancreatic α- and β-cells in health and disease. Cell Calcium 2012, 51, 300–308. [Google Scholar] [CrossRef]
- DeGaris, P.J.; Lean, I.J. Milk fever in dairy cows: A review of pathophysiology and control principles. Vet. J. 2008, 176, 58–69. [Google Scholar] [CrossRef]
- Caixeta, L.S.; Ospina, P.A.; Capel, M.B.; Nydam, D.V. The association of subclinical hypocalcemia, NEB, and disease with bodyweight change in dairy cows milked with AMS. Vet. J. 2015, 204, 150–156. [Google Scholar] [CrossRef]
- Bicalho, M.L.S.; Marques, E.C.; Gilbert, R.O.; Bicalho, R.C. The association of plasma glucose, BHBA, and NEFA with postpartum uterine diseases, fertility, and milk production. Theriogenology 2017, 88, 270–282. [Google Scholar] [CrossRef]
- Harder, I.; Stamer, E.; Junge, W.; Thaller, G. Lactation curves and model evaluation for feed intake and energy balance in dairy cows. J. Dairy Sci. 2019, 102, 7204–7216. [Google Scholar] [CrossRef]
- Drackley, J.K. Biology of dairy cows during the transition period: The final frontier? J. Dairy Sci. 1999, 82, 2259–2273. [Google Scholar] [CrossRef]
- Roberts, K.I.; Bennison, J.; McDougall, S. Effect of treatment with oral Ca boluses following calving on serum Ca in pasture-based dairy cows. N. Z. Vet. J. 2019, 67, 20–26. [Google Scholar] [CrossRef]
- Knob, D.A.; Thaler Neto, A.; Schweizer, H.; Weigand, A.C.; Kappes, R.; Scholz, A.M. Energy balance indicators during the transition period and early lactation of Holstein, Simmental, and crosses. Animals 2021, 11, 309. [Google Scholar] [CrossRef]
- Mlynek, K.; Gowiska, B.; Salomonczyk, E.; Tkaczuk, J.; Stys, W. Effect of milk yield on milk composition and energy indicators in Holstein Friesian and Simmental cows. Turk. J. Vet. Anim. Sci. 2018, 42, 223–229. [Google Scholar] [CrossRef]
- De Matteis, G.; Scatà, M.C.; Catillo, G.; Grandoni, F.; Rossi, E.; Zilio, D.M.; Crisa, A.; Lopreiato, V.; Trevisi, E.; Barile, V.L. Comparison of metabolic, oxidative and inflammatory status of Simmental × Holstein crossbred with parental breeds during the peripartum and early lactation. J. Dairy Res. 2021, 88, 253–260. [Google Scholar] [CrossRef]



| Component Name 2 | Calcium Content (%) | Amount of Calcium Source (mg/kg) | Calcium Supplied (mg/kg Ca) | Per Bolus (175 g) |
|---|---|---|---|---|
| Calcium sulfate anhydrous | 28.0 | 346,500 | 97,000 | 16.97 g |
| Calcium formate | 29.0 | 431,000 | 125,000 | 21.87 g |
| Calcium acetate | 23.7 | 152,000 | 36,000 | 6.30 g |
| Total calcium content | – | 258,000 | – | 45.14 g |
| Ingredient (% of DM) | Prepartum | Postpartum |
|---|---|---|
| Corn silage | 28.5 | 21.5 |
| Alfalfa silage | – | 5.2 |
| Alfalfa hay | – | 16.9 |
| Meadow hay | 15.4 | – |
| Wheat straw | 7.9 | – |
| Prefresh concentrate mix | 45.6 | – |
| Postfresh concentrate mix | – | 46.5 |
| Flaked corn | – | 8.6 |
| Vitamin–mineral premix 1 | 0.52 | 0.34 |
| Calcium carbonate | 0.35 | 0.29 |
| Magnesium oxide | – | 0.19 |
| Mycotoxin binder | 0.43 | 0.24 |
| Salt | – | 0.24 |
| Ammonium chloride | 1.3 | – |
| Nutrient composition (DM basis) | ||
| NEL 2 MJ/kg DM | 6.0 | 6.9 |
| Crude protein, % | 13.1 | 16.1 |
| Crude ash, % | 7.5 | 6.8 |
| Ether extract, % | 2.7 | 3.5 |
| Neutral detergent fiber, % | 33.3 | 30.6 |
| Acid detergent fiber, % | 19.6 | 17.9 |
| Ca 2, % | 0.31 | 0.94 |
| P 2, % | 0.22 | 0.35 |
| Mg 2, % | 0.14 | 0.29 |
| Na 2, % | 0.09 | 0.27 |
| K 2, % | 0.84 | 1.33 |
| Cl 2, % | 1.13 | 0.54 |
| S 2, % | 0.16 | 0.20 |
| DCAD 2 (mEq/kg DM) | –109.09 | 243.48 |
Disclaimer/Publisher’s Note: The statements, opinions and data contained in all publications are solely those of the individual author(s) and contributor(s) and not of MDPI and/or the editor(s). MDPI and/or the editor(s) disclaim responsibility for any injury to people or property resulting from any ideas, methods, instructions or products referred to in the content. |
© 2025 by the authors. Licensee MDPI, Basel, Switzerland. This article is an open access article distributed under the terms and conditions of the Creative Commons Attribution (CC BY) license (https://creativecommons.org/licenses/by/4.0/).
Share and Cite
Çelik, S.; Muruz, H.; Bayram, S.; Selçuk, Z.; Yörük, M.A. Exploring the Effects of Oral Calcium Bolus Supplementation on Serum Minerals and Energy Balance Indicators in Simmental Cows Fed a Prepartum Anionic Diet. Vet. Sci. 2025, 12, 1032. https://doi.org/10.3390/vetsci12111032
Çelik S, Muruz H, Bayram S, Selçuk Z, Yörük MA. Exploring the Effects of Oral Calcium Bolus Supplementation on Serum Minerals and Energy Balance Indicators in Simmental Cows Fed a Prepartum Anionic Diet. Veterinary Sciences. 2025; 12(11):1032. https://doi.org/10.3390/vetsci12111032
Chicago/Turabian StyleÇelik, Salih, Habip Muruz, Sude Bayram, Zehra Selçuk, and Mehmet Akif Yörük. 2025. "Exploring the Effects of Oral Calcium Bolus Supplementation on Serum Minerals and Energy Balance Indicators in Simmental Cows Fed a Prepartum Anionic Diet" Veterinary Sciences 12, no. 11: 1032. https://doi.org/10.3390/vetsci12111032
APA StyleÇelik, S., Muruz, H., Bayram, S., Selçuk, Z., & Yörük, M. A. (2025). Exploring the Effects of Oral Calcium Bolus Supplementation on Serum Minerals and Energy Balance Indicators in Simmental Cows Fed a Prepartum Anionic Diet. Veterinary Sciences, 12(11), 1032. https://doi.org/10.3390/vetsci12111032

