Platelet-Rich Plasma and Related Orthobiologics for the Treatment of Equine Musculoskeletal Disorders—A Bibliometric Analysis from 2000 to 2024
Abstract
Simple Summary
Abstract
1. Introduction
2. Materials and Methods
2.1. Database Selection and Keyword Search
2.2. Search Equation and Filter Application
2.3. Register Screening and Selection Criteria
2.4. Data Analysis
3. Results
3.1. Overview
3.2. Sources
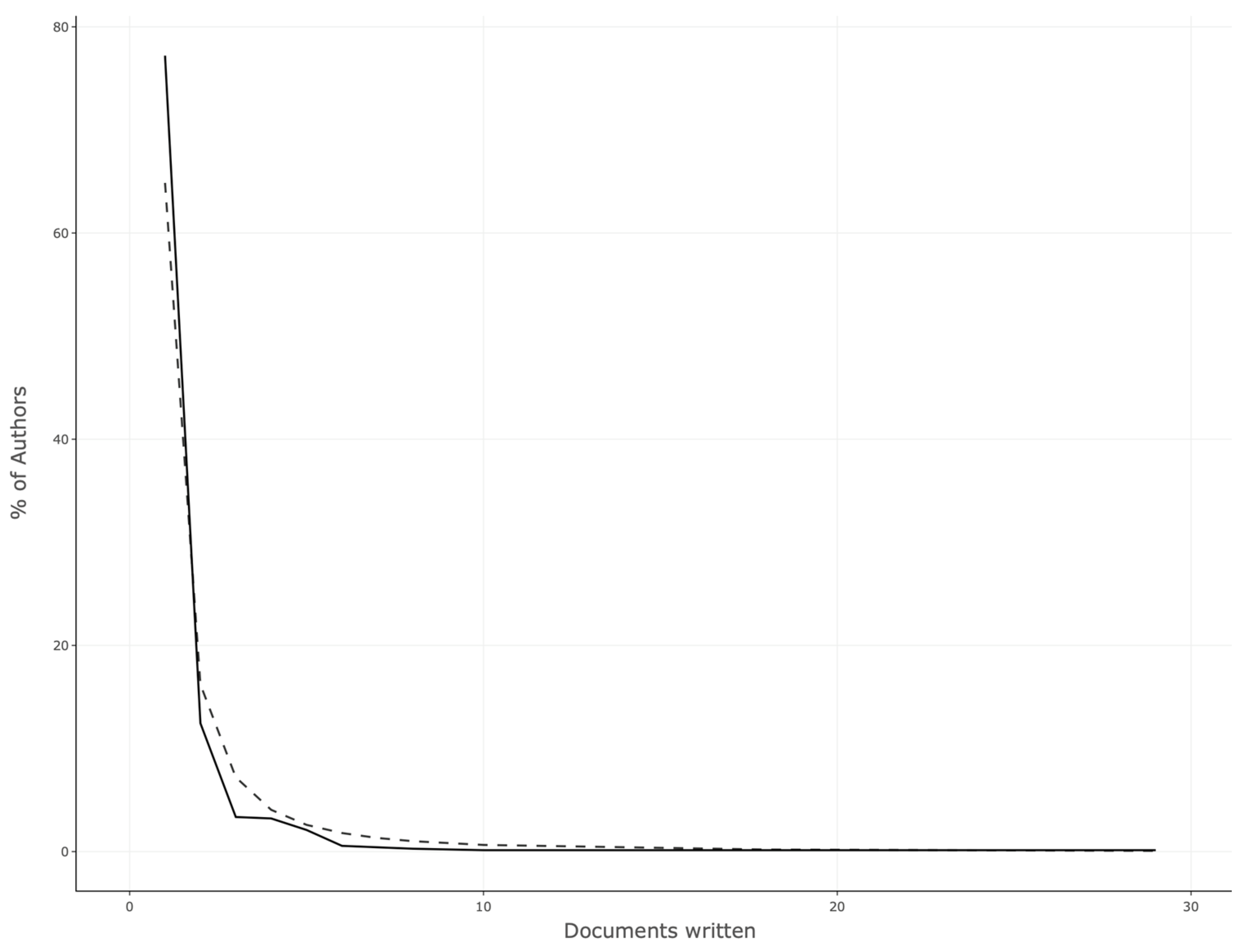
3.3. Authors
3.4. Documents
3.5. Words
3.6. Trending Topics
3.7. Clustering
3.8. Conceptual Structure
3.9. Social Structure
4. Discussion
5. Conclusions
Author Contributions
Funding
Institutional Review Board Statement
Informed Consent Statement
Data Availability Statement
Conflicts of Interest
References
- Pérez Fraile, A.; González-Cubero, E.; Martínez-Flórez, S.; Olivera, E.R.; Villar-Suárez, V. Regenerative Medicine Applied to Musculoskeletal Diseases in Equines: A Systematic Review. Vet. Sci. 2023, 10, 666. [Google Scholar] [CrossRef]
- Reis, I.L.; Lopes, B.; Sousa, P.; Sousa, A.C.; Caseiro, A.R.; Mendonça, C.M.; Santos, J.M.; Atayde, L.M.; Alvites, R.D.; Maurício, A.C. Equine Musculoskeletal Pathologies: Clinical Approaches and Therapeutical Perspectives-A Review. Vet. Sci. 2024, 11, 190. [Google Scholar] [CrossRef]
- Kim, D.S.; Bae, S. Impact and challenges of enactment for advanced regenerative medicine in South Korea. Front. Bioeng. Biotechnol. 2022, 10, 972865. [Google Scholar]
- Lu, C.; Le, Q. Advances in Organoid Technology: A Focus on Corneal Limbal Organoids. Stem Cell Rev. Rep. 2024, 20, 1227–1235. [Google Scholar]
- Boone, L.; Peroni, J. Introduction to Equine Biologic and Regenerative Therapies. Vet. Clin. N. Am. Equine Pract. 2023, 39, 419–427. [Google Scholar]
- Wilfong, J.M.; Badley, E.M.; Perruccio, A.V. Old before their time? The impact of osteoarthritis on younger adults. Arthritis Care Res. 2024. [Google Scholar] [CrossRef]
- Carmont, M.R.; Gunnarsson, B.; Brorsson, A.; Nilsson-Helander, K. Musculotendinous ruptures of the achilles tendon had greater heel-rise height index compared with mid-substance rupture with non-operative management: A retrospective cohort study. J. ISAKOS 2024, 9, 148–152. [Google Scholar]
- Wang, N.; Wang, H.; Shen, L.; Liu, X.; Ma, Y.; Wang, C. Aging-Related Rotator Cuff Tears: Molecular Mechanisms and Implications for Clinical Management. Adv. Biol. 2024, 8, e2300331. [Google Scholar]
- M’Cloud, W.R.C.; Guzmán, K.E.; Panek, C.L.; Colbath, A.C. Stem cells and platelet-rich plasma for the treatment of naturally occurring equine tendon and ligament injuries: A systematic review and meta-analysis. J. Am. Vet. Med. Assoc. 2024, 262 (Suppl. S1), S50–S60. [Google Scholar]
- Carlier, S.; Depuydt, E.; Van Hecke, L.; Martens, A.; Saunders, J.; Spaas, J.H. Safety assessment of equine allogeneic tenogenic primed mesenchymal stem cells in horses with naturally occurring tendon and ligament injuries. Front. Vet. Sci. 2024, 11, 1282697. [Google Scholar]
- McGowan, T.W.; Pinchbeck, G.; Phillips, C.J.; Perkins, N.; Hodgson, D.R.; McGowan, C.M. A survey of aged horses in Queensland, Australia. Part 2: Clinical signs and owners’ perceptions of health and welfare. Aust. Vet. J. 2010, 88, 465–471. [Google Scholar] [PubMed]
- McGowan, C.M.; Ireland, J.L. Welfare, Quality of Life, and Euthanasia of Aged Horses. Vet. Clin. N. Am. Equine Pract. 2016, 32, 355–367. [Google Scholar]
- Peng, C.; Yang, L.; Labens, R.; Gao, Y.; Zhu, Y.; Li, J. A systematic review and meta-analysis of the efficacy of platelet-rich plasma products for treatment of equine joint disease. Equine Vet. J. 2024, 56, 858–869. [Google Scholar] [PubMed]
- Mayet, A.; Zablotski, Y.; Roth, S.P.; Brehm, W.; Troillet, A. Systematic review and meta-analysis of positive long-term effects after intra-articular administration of orthobiologic therapeutics in horses with naturally occurring osteoarthritis. Front. Vet. Sci. 2023, 10, 1125695. [Google Scholar]
- McCarrel, T.M. Equine Platelet-Rich Plasma. Vet. Clin. N. Am. Equine Pract. 2023, 39, 429–442. [Google Scholar]
- Maleas, G.; Mageed, M. Effectiveness of Platelet-Rich Plasma and Bone Marrow Aspirate Concentrate as Treatments for Chronic Hindlimb Proximal Suspensory Desmopathy. Front. Vet. Sci. 2021, 8, 678453. [Google Scholar]
- Chu, C.R.; Fortier, L.A.; Williams, A.; Payne, K.A.; McCarrel, T.M.; Bowers, M.E.; Jaramillo, D. Minimally Manipulated Bone Marrow Concentrate Compared with Microfracture Treatment of Full-Thickness Chondral Defects: A One-Year Study in an Equine Model. J. Bone Joint Surg. Am. 2018, 100, 138–146. [Google Scholar] [PubMed]
- Russell, J.W.; Russell, T.M.; Vasey, J.R.; Hall, M.S. Autologous bone marrow aspirate for treatment of superficial digital flexor tendonitis in 105 racehorses. Vet. Rec. 2016, 179, 69. [Google Scholar] [PubMed]
- Burk, J.; Wittenberg-Voges, L.; Schubert, S.; Horstmeier, C.; Brehm, W.; Geburek, F. Treatment of Naturally Occurring Tendon Disease with Allogeneic Multipotent Mesenchymal Stromal Cells: A Randomized, Controlled, Triple-Blinded Pilot Study in Horses. Cells 2023, 12, 2513. [Google Scholar] [CrossRef]
- Carvalho Ade, M.; Badial, P.R.; Álvarez, L.E.C.; Yamada, A.L.; Borges, A.S.; Deffune, E.; Hussni, C.A.; Alves, A.L.G. Equine tendonitis therapy using mesenchymal stem cells and platelet concentrates: A randomized controlled trial. Stem Cell Res. Ther. 2013, 4, 85. [Google Scholar]
- Renzi, S.; Riccò, S.; Dotti, S.; Sesso, L.; Grolli, S.; Cornali, M.; Carlin, S.; Patruno, M.; Cinotti, S.; Ferrari, M. Autologous bone marrow mesenchymal stromal cells for regeneration of injured equine ligaments and tendons: A clinical report. Res. Vet. Sci. 2013, 95, 272–277. [Google Scholar] [PubMed]
- Geburek, F.; Roggel, F.; van Schie, H.T.M.; Beineke, A.; Estrada, R.; Weber, K.; Hellige, M.; Rohn, K.; Jagodzinski, M.; Welke, B.; et al. Effect of single intralesional treatment of surgically induced equine superficial digital flexor tendon core lesions with adipose-derived mesenchymal stromal cells: A controlled experimental trial. Stem Cell Res. Ther. 2017, 8, 129. [Google Scholar] [PubMed]
- Geburek, F.; Gaus, M.; van Schie, H.T.; Rohn, K.; Stadler, P.M. Effect of intralesional platelet-rich plasma (PRP) treatment on clinical and ultrasonographic parameters in equine naturally occurring superficial digital flexor tendinopathies—A randomized prospective controlled clinical trial. BMC Vet. Res. 2016, 12, 191. [Google Scholar]
- Garrett, K.S.; Bramlage, L.R.; Spike-Pierce, D.L.; Cohen, N.D. Injection of platelet- and leukocyte-rich plasma at the junction of the proximal sesamoid bone and the suspensory ligament branch for treatment of yearling Thoroughbreds with proximal sesamoid bone inflammation and associated suspensory ligament branch desmitis. J. Am. Vet. Med. Assoc. 2013, 243, 120–125. [Google Scholar]
- Tyrnenopoulou, P.; Diakakis, N.; Karayannopoulou, M.; Savvas, I.; Koliakos, G. Evaluation of intra-articular injection of autologous platelet lysate (PL) in horses with osteoarthritis of the distal interphalangeal joint. Vet. Q. 2016, 36, 56–62. [Google Scholar]
- Fukuda, K.; Kuroda, T.; Tamura, N.; Mita, H.; Miyata, H.; Kasashima, Y. Platelet Lysate Enhances Equine Skeletal Muscle Regeneration in A Bupivacaine-Induced Muscle Injury Model(☆). J. Equine Vet. Sci. 2022, 112, 103892. [Google Scholar]
- Brown, K.A.; Gregorio, E.N.; Barot, D.; Usimaki, A.; Linardi, R.L.; Missanelli, J.R.; You, Y.; Robinson, M.A.; Ortved, K.F. Single-dose nonsteroidal anti-inflammatory drugs in horses have no impact on concentrations of cytokines or growth factors in autologous protein solution and platelet-rich plasma. Am. J. Vet. Res. 2024, 85. [Google Scholar] [CrossRef]
- Ortved, K.F. Equine Autologous Conditioned Serum and Autologous Protein Solution. Vet. Clin. N. Am. Equine Pract. 2023, 39, 443–451. [Google Scholar]
- Toner, S.; Crosby, C. Pro-stride and extracorporeal shockwave therapy as treatment of lateral collateral desmopathy of the proximal interphalangeal joint in a Dutch Warmblood gelding. Can. Vet. J. 2023, 64, 268–274. [Google Scholar]
- Gaesser, A.M.; Underwood, C.; Linardi, R.L.; Even, K.M.; Reef, V.B.; Shetye, S.S.; Mauck, R.L.; King, W.J.; Engiles, J.B.; Ortved, K.F. Evaluation of Autologous Protein Solution Injection for Treatment of Superficial Digital Flexor Tendonitis in an Equine Model. Front. Vet. Sci. 2021, 8, 697551. [Google Scholar]
- Camargo Garbin, L.; Morris, M.J. A Comparative Review of Autologous Conditioned Serum and Autologous Protein Solution for Treatment of Osteoarthritis in Horses. Front. Vet. Sci. 2021, 8, 602978. [Google Scholar]
- Velloso Alvarez, A.; Boone, L.H.; Pondugula, S.R.; Caldwell, F.; Wooldridge, A.A. Effects of Autologous Conditioned Serum, Autologous Protein Solution, and Triamcinolone on Inflammatory and Catabolic Gene Expression in Equine Cartilage and Synovial Explants Treated With IL-1β in Co-culture. Front. Vet. Sci. 2020, 7, 323. [Google Scholar]
- Bertone, A.L.; Ishihara, A.; Zekas, L.J.; Wellman, M.L.; Lewis, K.B.; Schwarze, R.A.; Barnaba, A.R.; Schmall, M.L.; Kanter, P.M.; Genovese, R.L. Evaluation of a single intra-articular injection of autologous protein solution for treatment of osteoarthritis in horses. Am. J. Vet. Res. 2014, 75, 141–151. [Google Scholar]
- McCoy, A.M. Animal Models of Osteoarthritis: Comparisons and Key Considerations. Vet. Pathol. 2015, 52, 803–818. [Google Scholar] [PubMed]
- Dias, I.R.; Viegas, C.A.; Carvalho, P.P. Large Animal Models for Osteochondral Regeneration. Adv. Exp. Med. Biol. 2018, 1059, 441–501. [Google Scholar] [PubMed]
- Knott, L.E.; Fonseca-Martinez, B.A.; O’Connor, A.M.; Goodrich, L.R.; McIlwraith, C.W.; Colbath, A.C. Current use of biologic therapies for musculoskeletal disease: A survey of board-certified equine specialists. Vet. Surg. 2022, 51, 557–567. [Google Scholar] [PubMed]
- Camargo Garbin, L.; Lopez, C.; Carmona, J.U. A Critical Overview of the Use of Platelet-Rich Plasma in Equine Medicine over the Last Decade. Front. Vet. Sci. 2021, 8, 641818. [Google Scholar]
- Wei, N.; Xu, Y.; Li, Y.; Shi, J.; Zhang, X.; You, Y.; Sun, Q.; Zhai, H.; Hu, Y. A bibliometric analysis of T cell and atherosclerosis. Front. Immunol. 2022, 13, 948314. [Google Scholar]
- Pranckutė, R. Web of Science (WoS) and Scopus: The Titans of Bibliographic Information in Today’s Academic World. Publications 2021, 9, 12. [Google Scholar] [CrossRef]
- Joshi, A. Comparison between Scopus & ISI Web of science. J. Glob. Values. 2016, 7, 1–11. [Google Scholar]
- Aria, M.; Cuccurullo, C. bibliometrix: An R-tool for comprehensive science mapping analysis. J. Informetr. 2017, 11, 959–975. [Google Scholar]
- Sutter, W.W.; Kaneps, A.J.; Bertone, A.L. Comparison of hematologic values and transforming growth factor-beta and insulin-like growth factor concentrations in platelet concentrates obtained by use of buffy coat and apheresis methods from equine blood. Am. J. Vet. Res. 2004, 65, 924–930. [Google Scholar]
- Frisbie, D.D.; Kawcak, C.E.; Werpy, N.M.; Park, R.D.; McIlwraith, C.W. Clinical, biochemical, and histologic effects of intra-articular administration of autologous conditioned serum in horses with experimentally induced osteoarthritis. Am. J. Vet. Res. 2007, 68, 290–296. [Google Scholar]
- Waselau, M.; Sutter, W.W.; Genovese, R.L.; Bertone, A.L. Intralesional injection of platelet-rich plasma followed by controlled exercise for treatment of midbody suspensory ligament desmitis in Standardbred racehorses. J. Am. Vet. Med. Assoc. 2008, 232, 1515–1520. [Google Scholar]
- Del Bue, M.; Riccò, S.; Ramoni, R.; Conti, V.; Gnudi, G.; Grolli, S. Equine adipose-tissue derived mesenchymal stem cells and platelet concentrates: Their association in vitro and in vivo. Vet. Res. Commun. 2008, 32 (Suppl. 1), S51–S55. [Google Scholar]
- Argüelles, D.; Carmona, J.U.; Pastor, J.; Iborra, A.; Viñals, L.; Martínez, P.; Bach, E.; Prades, M. Evaluation of single and double centrifugation tube methods for concentrating equine platelets. Res. Vet. Sci. 2006, 81, 237–245. [Google Scholar]
- Carmona, J.U.; Argüelles, D.; Climent, F.; Prades, M. Autologous Platelet Concentrates as a Treatment of Horses with Osteoarthritis: A Preliminary Pilot Clinical Study. J. Equine Vet. Sci. 2007, 27, 167–170. [Google Scholar]
- Hraha, T.H.; Doremus, K.M.; McIlwraith, C.W.; Frisbie, D.D. Autologous conditioned serum: The comparative cytokine profiles of two commercial methods (IRAP and IRAP II) using equine blood. Equine Vet. J. 2011, 43, 516–521. [Google Scholar] [PubMed]
- Textor, J.A.; Tablin, F. Activation of equine platelet-rich plasma: Comparison of methods and characterization of equine autologous thrombin. Vet. Surg. 2012, 41, 784–794. [Google Scholar]
- Argüelles, D.; Carmona, J.U.; Climent, F.; Muñoz, E.; Prades, M. Autologous platelet concentrates as a treatment for musculoskeletal lesions in five horses. Vet. Rec. 2008, 162, 208–211. [Google Scholar] [PubMed]
- Chen, C.; Song, M. Visualizing a field of research: A methodology of systematic scientometric reviews. PLoS ONE 2019, 14, e0223994. [Google Scholar]
- Chen, W.; Yang, Y.; Tang, G. Mapping knowledge structure and research trends of knee osteoarthritis with meniscus in two decades: A bibliometric analysis. Front. Surg. 2022, 9, 939003. [Google Scholar]
- Xiao, Z.; Chen, W.; Wei, Z.; Zhang, Q.; Tang, G. Global trends and hotspots in the application of platelet-rich plasma in knee osteoarthritis: A bibliometric analysis from 2008 to 2022. Medicine 2023, 102, e35854. [Google Scholar]
- Ren, B.; Lv, X.; Tu, C.; Li, Z. Research trends of platelet-rich plasma application in orthopaedics from 2002 to 2020: A bibliometric analysis. Int. Orthop. 2021, 45, 2773–2790. [Google Scholar] [PubMed]
- Xu, J.; Du, W.; Xue, X.; Chen, M.; Zhou, W.; Luo, X. Global research trends on platelet-rich plasma for tendon and ligament injuries from the past two decades: A bibliometric and visualized study. Front. Surg. 2023, 10, 1113491. [Google Scholar]
- Cui, Y.; Lin, L.; Wang, Z.; Wang, K.; Xiao, L.; Lin, W.; Zhang, Y. Research trends of platelet-rich plasma therapy on knee osteoarthritis from 2011 to 2021: A review. Medicine 2023, 102, e32434. [Google Scholar] [PubMed]
- Cash, C.; Scott, L.; Walden, R.L.; Kuhn, A.; Bowman, E. Bibliometric analysis of the top 50 highly cited articles on platelet-rich plasma in osteoarthritis and tendinopathy. Regen. Med. 2022, 17, 491–506. [Google Scholar]
- Bradford, S.C. Sources of information on specific subjects. Engineering 1934, 137, 85–86. [Google Scholar]
- Alvarado, R.U. El crecimiento de la literatura sobre la ley de Bradford. Investig. Bibl. Arch. Bibl. E Inf. 2016, 30, 51–72. [Google Scholar]
- Lotka, A.J. The frequency distribution of scientific productivity. J. Wash. Acad. Sci. 1926, 16, 317–323. [Google Scholar]
- Marycz, K.; Toker, N.Y.; Grzesiak, J.; Wrzeszcz, K.; Golonka, P. The therapeutic effect of autogenic adipose derived stem cells combined with autogenic platelet rich plasma in tendons disorders in horses in vitro and in vivo research. J. Anim. Vet. Adv. 2012, 11, 4324–4331. [Google Scholar]
- Carmona, J.U.; López, C.; Prades, M. Uso de concentrados autólogos de plaquetas obtenidos mediante el método del tubo como tratamiento de artropatías en caballos. Arch. De. Med. Vet. 2009, 41, 175–179. [Google Scholar]
- Fortier, L.A.; Smith, R.K. Regenerative medicine for tendinous and ligamentous injuries of sport horses. Vet. Clin. N. Am. Equine Pract. 2008, 24, 191–201. [Google Scholar]













| Source | Rank | Frequency | Cumulative Frequency | Zone |
|---|---|---|---|---|
| Frontiers in Veterinary Science | 1 | 26 | 26 | Zone 1 |
| Journal of Equine Veterinary Science | 2 | 24 | 50 | Zone 1 |
| BMC Veterinary Research | 3 | 11 | 61 | Zone 1 |
| Equine Veterinary Journal | 4 | 11 | 72 | Zone 1 |
| Pferdeheilkunde | 5 | 11 | 83 | Zone 2 |
| American Journal of Veterinary Research | 6 | 10 | 93 | Zone 2 |
| Archivos de Medicina Veterinaria | 7 | 10 | 103 | Zone 2 |
| Veterinary Clinics of North America—Equine Practice | 8 | 8 | 111 | Zone 2 |
| Equine Veterinary Education | 9 | 7 | 118 | Zone 2 |
| Research in Veterinary Science | 10 | 7 | 125 | Zone 2 |
| Authors | Source | Topic | DT | TC | TCPY | NTC |
|---|---|---|---|---|---|---|
| Frisbie et al. [43] | American Journal of Veterinary Research | Autologous conditioned serum (ACS) and experimental osteoarthritis (OA) | Article | 207 | 11.50 | 1.90 |
| Waselau et al. [44] | Journal of the American Veterinary Medical Association | Platelet-rich plasma (PRP) and suspensory ligament desmitis | Article | 111 | 6.53 | 2.14 |
| Del Bue et al. [45] | Veterinary Research Communications | PRP plus mesenchymal stem cells and tendonitis | Article | 94 | 5.53 | 1.81 |
| Argüelles et al. [46] | Research in Veterinary Science | PRP technique | Article | 93 | 4.89 | 1.00 |
| Fortier et al. [46] | Veterinary Clinics of North America—Equine Practice | Regenerative medicine and tenodesmic lesions | Review | 93 | 5.47 | 1.79 |
| Carmona et al. [47] | Journal of Equine Veterinary Science | PRP and OA | Article | 80 | 4.44 | 0.74 |
| Sutter et al. [42] | American Journal of Veterinary Research | PRP technique | Article | 78 | 3.71 | 1.00 |
| Hraha et al. [48] | Equine Veterinary Journal | ACS and IRAP techniques | Article | 78 | 5.43 | 3.21 |
| Textor et al. [49] | Veterinary Surgery | PRP and exogenous activation | Article | 76 | 5.85 | 3.06 |
| Argüelles et al. [50] | Veterinary Record | PRP and tenodesmic lesions | Article | 75 | 4.41 | 1.45 |
| Cutting Year | Niche Themes | Motor Themes | Basic Themes | Emerging or Declining Themes |
|---|---|---|---|---|
| 2012 | Cluster 1 (growth factors, horse, collagenase) | Cluster 1 (horse, tendon, prp) Cluster 2 (equine, platelet-rich plasma, mesenchymal stem cells) | Cluster 1 (platelet-rich plasma, bone marrow, autologous conditioned serum) | Cluster 1 (regenerative therapy) Cluster 2 (platelet) |
| 2015 | Cluster 1 (comparison, prp). Cluster 2 (platelet rich plasma, mesenchymal stem cell, tissue engineering) | Cluster 1 (horse, platelet concentrate, regenerative therapy). Cluster 2 (platelet rich plasma, mesenchymal stem cell, tissue engineering). Cluster 3 (osteoarthritis, autologous conditioned serum, stem cells) | Cluster 1 (platelet-rich plasma, equine, growth factors). Cluster 2 (osteoarthritis, autologous conditioned serum, stem cells) | Cluster 1 (cytokines). Cluster 2 (horses) |
| 2019 | Cluster 1 (cryopreservation, dmso, platelet-rich plasma (prp)). Cluster 2 (osteoarthritis, cartilage, aggrecan) Cluster 3 (ultrasound) Cluster 4 (autologous conditioned serum) | Cluster 1 (platelet-rich plasma, regenerative medicine, tendon) Cluster 2 (osteoarthritis, cartilage, aggrecan) Cluster 3 (growth factors, regenerative therapy, cytokines) | Cluster 1 (equine, mesenchymal stem cells, stem cells). Cluster 2 (growth factors, regenerative therapy, cytokines) Cluster 3 (horse, autologous conditioned serum, acs) Cluster 4 (horses, platelet rich plasma (prp) | Cluster 1 (growth factor). Cluster 2 (growth factors, regenerative therapy, cytokines) |
| 2021 | Cluster 1 (growth factors, prp, healing) | Cluster 1 (equine, sports medicine, biological therapies) Cluster 2 (horse, osteoarthritis, autologous conditioned serum) | Cluster 1 (platelet-rich plasma) Cluster 2 (horse, osteoarthritis, autologous conditioned serum) | Cluster 1 (platelet-rich plasma) Cluster 2 (platelet lysate) |
Disclaimer/Publisher’s Note: The statements, opinions and data contained in all publications are solely those of the individual author(s) and contributor(s) and not of MDPI and/or the editor(s). MDPI and/or the editor(s) disclaim responsibility for any injury to people or property resulting from any ideas, methods, instructions or products referred to in the content. |
© 2024 by the authors. Licensee MDPI, Basel, Switzerland. This article is an open access article distributed under the terms and conditions of the Creative Commons Attribution (CC BY) license (https://creativecommons.org/licenses/by/4.0/).
Share and Cite
Carmona, J.U.; Carmona-Ramírez, L.H.; López, C. Platelet-Rich Plasma and Related Orthobiologics for the Treatment of Equine Musculoskeletal Disorders—A Bibliometric Analysis from 2000 to 2024. Vet. Sci. 2024, 11, 385. https://doi.org/10.3390/vetsci11080385
Carmona JU, Carmona-Ramírez LH, López C. Platelet-Rich Plasma and Related Orthobiologics for the Treatment of Equine Musculoskeletal Disorders—A Bibliometric Analysis from 2000 to 2024. Veterinary Sciences. 2024; 11(8):385. https://doi.org/10.3390/vetsci11080385
Chicago/Turabian StyleCarmona, Jorge U., Luis H. Carmona-Ramírez, and Catalina López. 2024. "Platelet-Rich Plasma and Related Orthobiologics for the Treatment of Equine Musculoskeletal Disorders—A Bibliometric Analysis from 2000 to 2024" Veterinary Sciences 11, no. 8: 385. https://doi.org/10.3390/vetsci11080385
APA StyleCarmona, J. U., Carmona-Ramírez, L. H., & López, C. (2024). Platelet-Rich Plasma and Related Orthobiologics for the Treatment of Equine Musculoskeletal Disorders—A Bibliometric Analysis from 2000 to 2024. Veterinary Sciences, 11(8), 385. https://doi.org/10.3390/vetsci11080385

