Pathology-Based Animal Cancer Registry of Abruzzo and Molise Regions (Central Italy): A Ten-Year Retrospective Study (2014–2023)
Simple Summary
Abstract
1. Introduction
2. Materials and Methods
2.1. Data Source
2.2. Data Handling and Preparation
2.3. Statistical Analyses
3. Results
3.1. Dataset
3.2. Geographic Distribution
3.3. Age Distribution
3.4. Breed Distribution and Malignancies in Purebred Dogs
3.5. Location of Tumors by Species, Sex and Reproductive Status
3.6. Frequency of Tumor Diagnoses
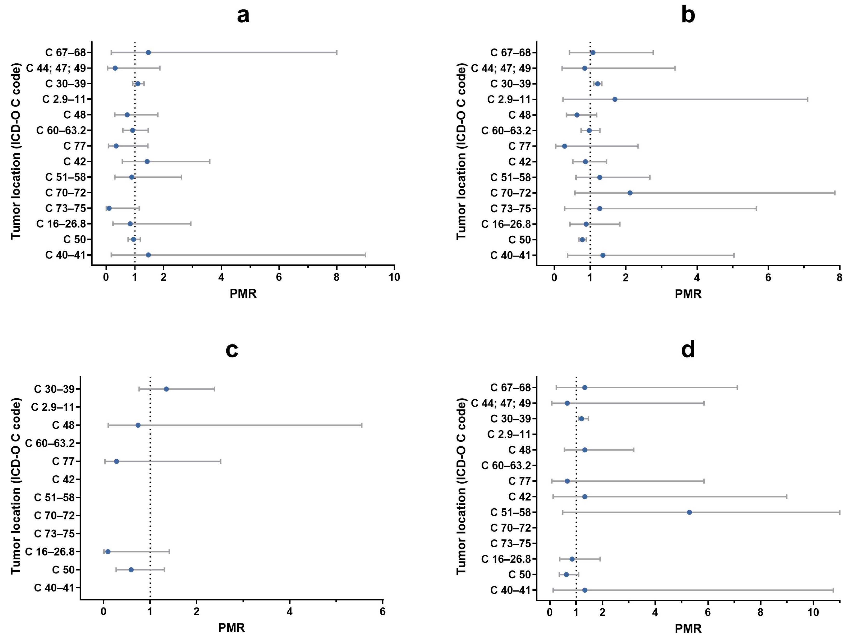
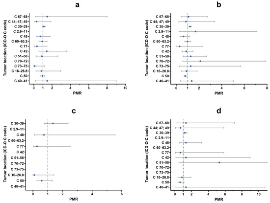
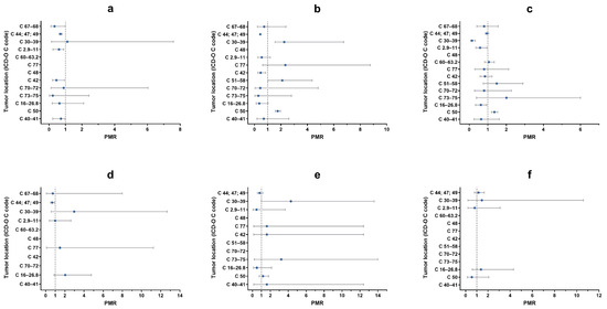
3.7. Analysis of Proportional Morbidity Ratios
4. Discussion
5. Conclusions
Author Contributions
Funding
Institutional Review Board Statement
Informed Consent Statement
Data Availability Statement
Conflicts of Interest
References
- Sarver, A.L.; Makielski, K.M.; DePauw, T.A.; Schulte, A.J.; Modiano, J.F. Increased risk of cancer in dogs and humans: A consequence of recent extension of lifespan beyond evolutionarily-determined limitations? Aging Cancer 2022, 3, 3–19. [Google Scholar] [CrossRef] [PubMed]
- Global Burden of Disease Cancer Collaboration; Fitzmaurice, C.; Abate, D.; Abbasi, N.; Abbastabar, H.; Abd-Allah, F.; Abdel-Rahman, O.; Abdelalim, A.; Abdoli, A.; Abdollahpour, I.; et al. Global, Regional, and National Cancer Incidence, Mortality, Years of Life Lost, Years Lived With Disability, and Disability-Adjusted Life-Years for 29 Cancer Groups, 1990 to 2017: A Systematic Analysis for the Global Burden of Disease. JAMA Oncol. 2019, 5, 1749–1768. [Google Scholar] [PubMed]
- Carbone, M.; Adusumilli, P.S.; Alexander, H.R.; Baas, P., Jr.; Bardelli, F.; Bononi, A.; Bueno, R.; Felley-Bosco, E.; Galateau-Salle, F.; Jablons, D.; et al. Mesothelioma: Scientific clues for prevention, diagnosis, and therapy. CA Cancer J. Clin. 2020, 70, 313–314. [Google Scholar] [CrossRef] [PubMed]
- Glickman, L.T.; Domanski, L.M.; Maguire, T.G.; Dubielzig, R.R.; Churg, A. Mesothelioma in pet dogs associated with exposure of their owners to asbestos. Environ. Res. 1983, 32, 305–313. [Google Scholar] [CrossRef] [PubMed]
- Hayes, H.M.; Tarone, R.E.; Casey, H.W. A cohort study of the effects of Vietnam service on testicular pathology of U.S. military working dogs. Mil. Med. 1995, 160, 248–255. [Google Scholar] [CrossRef]
- Glickman, L.T.; Raghavan, M.; Knapp, D.W.; Bonney, P.L.; Dawson, M.H. Herbicide exposure and the risk of transitional cell carcinoma of the urinary bladder in Scottish Terriers. J. Am. Vet. Med. Assoc. 2004, 224, 1290–1297. [Google Scholar] [CrossRef]
- Glickman, L.T.; Schofer, F.S.; McKee, L.J.; Reif, J.S.; Goldschmidt, M.H. Epidemiologic Study of Insecticide Exposures, Obesity, and Risk of Bladder Cancer in Household Dogs. J. Toxicol. Environ. Health 1989, 28, 407–414. [Google Scholar] [CrossRef]
- Reif, J.S. Animal sentinels for environmental and public health. Public Health Rep. 2011, 126 (Suppl. S1), 50–57. [Google Scholar] [CrossRef]
- van der Schalie, W.H.; Gardner, H.S.; Bantle, J.A.; De Rosa, C.T.; Finch, R.A.; Reif, J.S.; Reuter, R.H.; Backer, L.C.; Burger, J.; Folmar, L.C.; et al. Animals as Sentinels of Human Health Hazards of Environmental Chemicals. Environ. Health Perspect. 1999, 107, 309–315. [Google Scholar] [CrossRef]
- LeBlanc, A.K.; Mazcko, C.N. Improving Human Cancer Therapy through the Evaluation of Pet Dogs. Nat. Rev. Cancer 2020, 20, 727–742. [Google Scholar] [CrossRef]
- Rabinowitz, P.; Scotch, M.; Conti, L. Human and animal sentinels for shared health risks. Vet. Ital. 2009, 45, 23–34. [Google Scholar] [PubMed]
- Schmidt, P.L. Companion animals as sentinels for public health. Vet. Clin. N. Am. Small Anim. Pract. 2009, 39, 241–250. [Google Scholar] [CrossRef] [PubMed]
- Oh, J.H.; Cho, J.-Y. Comparative Oncology: Overcoming Human Cancer through Companion Animal Studies. Mol. Med. 2023, 55, 725–734. [Google Scholar] [CrossRef] [PubMed]
- Pinello, K.; Baldassarre, V.; Steiger, K.; Paciello, O.; Pires, I.; Laufer-Amorim, R.; Oevermann, A.; Niza-Ribeiro, J.; Aresu, L.; Rous, B.; et al. Vet-ICD-O-Canine-1, a System for Coding Canine Neoplasms Based on the Human ICD-O-3.2. Cancers 2022, 14, 1529. [Google Scholar] [CrossRef] [PubMed]
- Schiffman, J.D.; Breen, M. Comparative Oncology: What Dogs and Other Species Can Teach Us about Humans with Cancer. Philos. Trans. R. Soc. Lond. B. Biol. Sci. 2015, 370, 20140231. [Google Scholar] [CrossRef]
- IARC. The Global Initiative for Cancer Registry Development. Available online: https://gicr.iarc.fr/ (accessed on 6 July 2024).
- De Biase, D.; Baldassarre, V.; Piegari, G.; Rosato, G.; Caputo, V.; Pompameo, M.; Sarnelli, P.; Russo, V.; D’Angelo, D.; Papparella, S.; et al. Animal sentinels and cancer registries: State of the art and new perspectives. Ann. Res. Oncol. 2023, 3, 14–23. [Google Scholar] [CrossRef]
- Gardner, H.L.; Fenger, J.M.; London, C.A. Dogs as a Model for Cancer. Annu. Rev. Anim. Biosci. 2016, 4, 199–222. [Google Scholar] [CrossRef]
- Raposo, T.P.; Arias-Pulido, H.; Chaher, N.; Fiering, S.N.; Argyle, D.J.; Prada, J.; Pires, I.; Queiroga, F.L. Comparative aspects of canine and human inflammatory breast cancer. Semin. Oncol. 2017, 44, 288–300. [Google Scholar] [CrossRef]
- Bray, F.; Znaor, A.; Cueva, P.; Korir, A.; Swaminathan, R.; Ullrich, A.; Wang, S.A.; Parkin, D.M. The role and status of population-based cancer registration. In Planning and Developing Population-Based Cancer Registration in Low- and Middle-Income Settings; IARC Technical Publication No. 43; World Health Organization: Geneva, Switzerland, 2014; pp. 3–7. [Google Scholar]
- Parkin, D.M. The evolution of the population-based cancer registry. Nat. Rev. Cancer 2006, 6, 603–612. [Google Scholar] [CrossRef]
- Nødtvedt, A.; Berke, O.; Bonnett, B.N.; Brønden, L. Current status of canine cancer registration—Report from an international workshop. Vet. Comp. Oncol. 2012, 10, 95–101. [Google Scholar] [CrossRef]
- Brønden, L.B.; Flagstad, A.; Kristensen, A.T. Veterinary cancer registries in companion animal cancer: A review. Vet. Comp. Oncol. 2007, 5, 133–144. [Google Scholar] [CrossRef] [PubMed]
- IZS Teramo. Available online: https://www.izs.it/IZS/Engine/RAServeFile.php/f/attivita_diagnostica/Modulo_istologia_citologia_registro_tumori_rev.1-marzo_2024.pdf (accessed on 6 July 2024).
- Crescio, M.I.; Ru, G.; Aresu, L.; Bozzetta, E.; Cancedda, M.G.; Capello, K.; Castagnaro, M.; Carnio, A.; Cocumelli, C.; Degli Uberti, B.; et al. On Behalf Of Nilov. The Italian Network of Laboratories for Veterinary Oncology (NILOV) 2.0: Improving Knowledge on Canine Tumours. Vet. Sci. 2022, 9, 394. [Google Scholar] [CrossRef] [PubMed]
- WHO. International Classification of Diseases for Oncology (ICD-O-3), 3rd ed.; Fritz, A., Percy, C., Jack, A., Shanmugaratnam, K., Sobin, L., Parkin, D.M., Whelan, S., Eds.; World Health Organization: Geneva, Switzerland, 2013. [Google Scholar]
- Grüntzig, K.; Graf, R.; Hässig, M.; Welle, M.; Meier, D.; Lott, G.; Erni, D.; Schenker, N.S.; Guscetti, F.; Boo, G.; et al. The Swiss Canine Cancer Registry: A retrospective study on the occurrence of tumours in dogs in Switzerland from 1955 to 2008. J. Comp. Pathol. 2015, 152, 161–171. [Google Scholar] [CrossRef] [PubMed]
- Pinello, K.; Amorim, I.; Pires, I.; Canadas-Sousa, A.; Catarino, J.; Faísca, P.; Branco, S.; Peleteiro, M.C.; Silva, D.; Severo, M.; et al. Vet-OncoNet: Malignancy Analysis of Neoplasms in Dogs and Cats. Vet. Sci. 2022, 9, 535. [Google Scholar] [CrossRef]
- Nødtvedt, A.; Gamlem, H.; Gunnes, G.; Grotmol, T.; Indrebø, A.; Moe, L. Breed differences in the proportional morbidity of testicular tumours and distribution of histopathologic types in a population-based canine cancer registry. Vet. Comp. Oncol. 2011, 9, 45–54. [Google Scholar] [CrossRef]
- Pinello, K.; Pires, I.; Castro, A.F.; Carvalho, P.T.; Santos, A.; de Matos, A.; Queiroga, F.; Canadas-Sousa, A.; Dias-Pereira, P.; Catarino, J.; et al. Cross Species Analysis and Comparison of Tumors in Dogs and Cats, by Age, Sex, Topography and Main Morphologies. Data from Vet-OncoNet. Vet. Sci. 2022, 9, 167. [Google Scholar] [CrossRef]
- Merlo, D.F.; Rossi, L.; Pellegrino, C.; Ceppi, M.; Cardellino, U.; Capurro, C.; Ratto, A.; Sambucco, P.L.; Sestito, V.; Tanara, G.; et al. Cancer incidence in pet dogs: Findings of the Animal Tumour Registry of Genoa, Italy. J. Vet. Intern. Med. 2008, 22, 976–984. [Google Scholar] [CrossRef]
- Vascellari, M.; Baioni, E.; Ru, G.; Carminato, A.; Mutinelli, F. Animal tumour registry of two provinces in northern Italy: Incidence of spontaneous tumours in dogs and cats. BMC Vet. Res. 2009, 5, 39. [Google Scholar] [CrossRef]
- Brønden, L.B.; Nielsen, S.S.; Toft, N.; Kristensen, A.T. Data from the Danish veterinary cancer registry on the occurrence and distribution of neoplasms in dogs in Denmark. Vet. Rec. 2010, 166, 586–590. [Google Scholar] [CrossRef]
- Baioni, E.; Scanziani, E.; Vincenti, M.C.; Leschiera, M.; Bozzetta, E.; Pezzolato, M.; Desiato, R.; Bertolini, S.; Maurella, C.; Ru, G. Estimating canine tumour incidence: Findings from a population-based tumour registry in northwestern Italy. BMC Vet. Res. 2017, 13, 203. [Google Scholar] [CrossRef]
- Vincze, O.; Colchero, F.; Lemaître, J.; Conde, D.A.; Pavard, S.; Bieuville, M.; Urrutia, A.O.; Ujvari, B.; Boddy, A.M.; Maley, C.C.; et al. Cancer risk across mammals. Nature 2022, 601, 263–267. [Google Scholar] [CrossRef] [PubMed]
- Dobson, J.M. Breed-predispositions to cancer in pedigree dogs. ISRN Vet. Sci. 2013, 2013, 941275. [Google Scholar] [CrossRef] [PubMed]
- Prymak, C.; McKee, L.J.; Goldschmidt, M.H.; Glickman, L.T. Epidemiologic, clinical, pathologic, and prognostic characteristics of splenic hemangiosarcoma and splenic hematoma in dogs: 217 cases (1985). Am. Vet. Med. Assoc. 1988, 193, 706–712. [Google Scholar]
- Warland, J.; Dobson, J. Breed predispositions in canine mast cell tumour: A single centre experience in the United Kingdom. Vet. J. 2013, 197, 496–498. [Google Scholar] [CrossRef]
- Gillard, M.; Cadieu, E.; De Brito, C.; Abadie, J.; Vergier, B.; Devauchelle, P.; Degorce, F.; Dreano, S.; Primot, A.; Dorso, L.; et al. Naturally occurring melanomas in dogs as models for non-UV pathways of human melanomas. Pigment. Cell Melanoma Res. 2014, 27, 90–102. [Google Scholar] [CrossRef]
- Kurushima, J.D.; Lipinski, M.J.; Gandolfi, B.; Froenicke, L.; Grahn, J.C.; Grahn, R.A.; Lyons, L.A. Variation of cats under domestication: Genetic assignment of domestic cats to breeds and worldwide random-bred populations. Anim. Genet. 2013, 44, 311–324. [Google Scholar] [CrossRef]
- Dobson, J.M.; Samuel, S.; Milstein, H.; Rogers, K.; Wood, J.L. Canine neoplasia in the UK: Estimates of incidence rates from a population of insured dogs. J. Small Anim. Pract. 2002, 43, 240–246. [Google Scholar] [CrossRef]
- Gamlem, H.; Nordstoga, K.; Glattre, E. Canine neoplasia—Introductory paper. APMIS Suppl. 2008, 116, 5–18. [Google Scholar] [CrossRef]
- Pisani, G.; Millanta, F.; Lorenzi, D.; Vannozzi, I.; Poli, A. Androgen receptor expression in normal, hyperplastic and neoplastic hepatoid glands in the dog. Res. Vet. Sci. 2006, 81, 231–246. [Google Scholar] [CrossRef]
- Hauck, M.L.; Oblak, M.L. Tumors of the Skin and Subcutaneous Tissues. In Withrow and MacEwen’s Small Animal Clinical Oncology, 6th ed.; Vail, D.M., Thamm, D.H., Liptak, J.M., Eds.; W.B. Saunders: St. Louis, MO, USA, 2020; pp. 352–366. [Google Scholar]
- Murphy, S. Cutaneous squamous cell carcinoma in the cat: Current understanding and treatment approaches. J. Feline Med. Surg. 2013, 15, 401–407. [Google Scholar] [CrossRef]
- Munday, J.S.; Thomson, N.A.; Luff, J.A. Papillomaviruses in dogs and cats. Vet. J. 2017, 225, 23–31. [Google Scholar] [CrossRef] [PubMed]
- Dos Santos Silva, I. Measures of occurrence of disease and other health-related events. In Cancer Epidemiology: Principles and Methods; International Agency for Research on Cancer: Lyon, France, 1999; pp. 77–80. [Google Scholar]
- Smith, A.N. The role of neutering in cancer development. Vet. Clin. N. Am. Small Anim. Pract. 2014, 44, 965–975. [Google Scholar] [CrossRef] [PubMed]
- Torres de la Riva, G.; Hart, B.L.; Farver, T.B.; Oberbauer, A.M.; Messam, L.L.; Willits, N.; Hart, L.A. Neutering dogs: Effects on joint disorders and cancers in golden retrievers. PLoS ONE 2013, 8, e55937. [Google Scholar]
- Hargis, A.M.; Ihrke, P.J.; Spangler, W.L.; Stannard, A.A. A retrospective clinicopathologic study of 212 dogs with cutaneous hemangiomas and hemangiosarcomas. Vet. Pathol. 1992, 29, 316–328. [Google Scholar] [CrossRef]
- Nikula, K.J.; Benjamin, S.A.; Angleton, G.M.; Saunders, W.J.; Lee, A.C. Ultraviolet radiation, solar dermatosis, and cutaneous neoplasia in beagle dogs. Radiat. Res. 1992, 129, 11–18. [Google Scholar] [CrossRef]












| Location | ICD-O C Code |
|---|---|
| Blood and hematopoietic system | ICD-O C 42 |
| Bones, joints and cartilage | ICD-O C 40–41 |
| Brain, meninges, eyes and other parts of CNS | ICD-O C 70–72 |
| Mammary gland | ICD-O C 50 |
| Endocrine gland | ICD-O C 73–75 |
| Gastrointestinal tract (excluded oral cavity) | ICD-O C 16–26.8 |
| Lymph nodes | ICD-O C 77 |
| Male sexual organs | ICD-O C 60–63.2 |
| Oral cavity and pharynx | ICD-O C 2.9–11 |
| Female sexual organs | ICD-O C 51–58 |
| Respiratory system and intrathoracic organs | ICD-O C 30–39 |
| Retroperitoneum and peritoneum | ICD-O C 48 |
| Skin and soft tissues (subcutaneous, connective tissue and skeletal muscle) | ICD-O C 44; 47; 49 |
| Urinary organs | ICD-O C 67–68 |
| Diagnoses | ICD-O Code |
|---|---|
| Odontogenic neoplasia | ICD-O 9270–9330 |
| Epithelial tumors | ICD-O 8010–8587, |
| ICD-O 9050–9058 | |
| Germ cell tumors | ICD-O 9060–9085 |
| Lymphoid tumors | ICD-O 9590–9960 |
| Melanoma and melanocytic tumor | ICD-O 8720–8790 |
| Mesenchymal tumors | ICD-O 8680–8711, |
| ICD-O 8800–9040, | |
| ICD-O 9120–9175, | |
| ICD-O 9580 | |
| Skeletal tumors | ICD-O 9180–9262 |
| Neural tumors | ICD-O 9380–9570 |
| Gonadal tumors | ICD-O 8610–8670 |
| Unspecified tumors | ICD-O 8000 |
| Diagnosis | Malignancy category |
|---|---|
| Canine cutaneous MCT (all grades) | Malignant |
| Feline cutaneous MCT | |
| Benign |
| Malignant |
| Subcutaneous MCT | Benign |
| Meibomian gland epithelioma | Malignant |
| Acanthomatous ameloblastoma | Benign |
| All /1 morphologies | |
| Benign |
| Malignant |
| Sex and Neutering Status | Number (n) | Percentage (%) | Mean Age at Diagnosis (Years) (Benign Tumors) | Mean Age at Diagnosis (Years) (Malignant Tumors) | |
|---|---|---|---|---|---|
| Dogs | Male neutered | 243 | 5.2% | 9.4 | 10.3 |
| Male non-neutered | 1299 | 27.5% | 8.9 | 9.7 | |
| Female spayed | 1814 | 38.4% | 9.2 | 9.8 | |
| Female non-spayed | 1363 | 28.9% | 8.4 | 9.0 | |
| Total | 4719 | 100% | 9.0 | 9.7 | |
| Cats | Male neutered | 143 | 24.3% | 9.7 | 10.3 |
| Male non-neutered | 89 | 14.5% | 9.1 | 9.4 | |
| Female spayed | 266 | 45.1% | 10.1 | 11.1 | |
| Female non-spayed | 94 | 16.1% | 9.4 | 9.8 | |
| Total | 592 | 100% | 9.6 | 10.2 |
Disclaimer/Publisher’s Note: The statements, opinions and data contained in all publications are solely those of the individual author(s) and contributor(s) and not of MDPI and/or the editor(s). MDPI and/or the editor(s) disclaim responsibility for any injury to people or property resulting from any ideas, methods, instructions or products referred to in the content. |
© 2024 by the authors. Licensee MDPI, Basel, Switzerland. This article is an open access article distributed under the terms and conditions of the Creative Commons Attribution (CC BY) license (https://creativecommons.org/licenses/by/4.0/).
Share and Cite
Di Teodoro, G.; Cito, F.; Salini, R.; Baffoni, M.; Defourny, S.V.P.; Cocco, A.; D’Alterio, N.; Palmieri, C.; Petrini, A. Pathology-Based Animal Cancer Registry of Abruzzo and Molise Regions (Central Italy): A Ten-Year Retrospective Study (2014–2023). Vet. Sci. 2024, 11, 521. https://doi.org/10.3390/vetsci11110521
Di Teodoro G, Cito F, Salini R, Baffoni M, Defourny SVP, Cocco A, D’Alterio N, Palmieri C, Petrini A. Pathology-Based Animal Cancer Registry of Abruzzo and Molise Regions (Central Italy): A Ten-Year Retrospective Study (2014–2023). Veterinary Sciences. 2024; 11(11):521. https://doi.org/10.3390/vetsci11110521
Chicago/Turabian StyleDi Teodoro, Giovanni, Francesca Cito, Romolo Salini, Marina Baffoni, Sabrina V. P. Defourny, Antonio Cocco, Nicola D’Alterio, Chiara Palmieri, and Antonio Petrini. 2024. "Pathology-Based Animal Cancer Registry of Abruzzo and Molise Regions (Central Italy): A Ten-Year Retrospective Study (2014–2023)" Veterinary Sciences 11, no. 11: 521. https://doi.org/10.3390/vetsci11110521
APA StyleDi Teodoro, G., Cito, F., Salini, R., Baffoni, M., Defourny, S. V. P., Cocco, A., D’Alterio, N., Palmieri, C., & Petrini, A. (2024). Pathology-Based Animal Cancer Registry of Abruzzo and Molise Regions (Central Italy): A Ten-Year Retrospective Study (2014–2023). Veterinary Sciences, 11(11), 521. https://doi.org/10.3390/vetsci11110521

