Morphometric Measurements and Muscle Atrophy Scoring as a Tool to Predict Body Weight and Condition of Horses
Abstract
Simple Summary
Abstract
1. Introduction
2. Materials and Methods
2.1. Measurements of Body Weight, Body Condition Score, Cresty Neck Score, and Muscle Atrophy Scoring in Horses
2.2. Morphometric Measurements
2.3. Estimated Parameters and Comparison with Models from the Literature
- Body weight (kg) = −1160 + 1.538 × Body circumference + 1.487 × Neck circumference + 2.594 × Height at withers + 13.631 × Body Condition Score + 1.336 × Chest circumference + 6.226 × Cane circumference [24];
- Body weight (kg) = [Chest circumference1.528 ×Body length0.574 × Height at withers0.246 × Neck circumference0.261]/1.209 (Warmblood) [20];
- Body Condition Score = [8.1493 × (((Chest circumference + Neck circumference)/2)/Height at the withers (cm/cm))] − 2.7572 [25].
2.4. Questionnaire Study
2.5. Statistical Analysis
3. Results
3.1. Data of Body Weight, Morphometric Measurements, and Body Condition Score
3.2. Development of the New Model for Prediction of the Body Weight
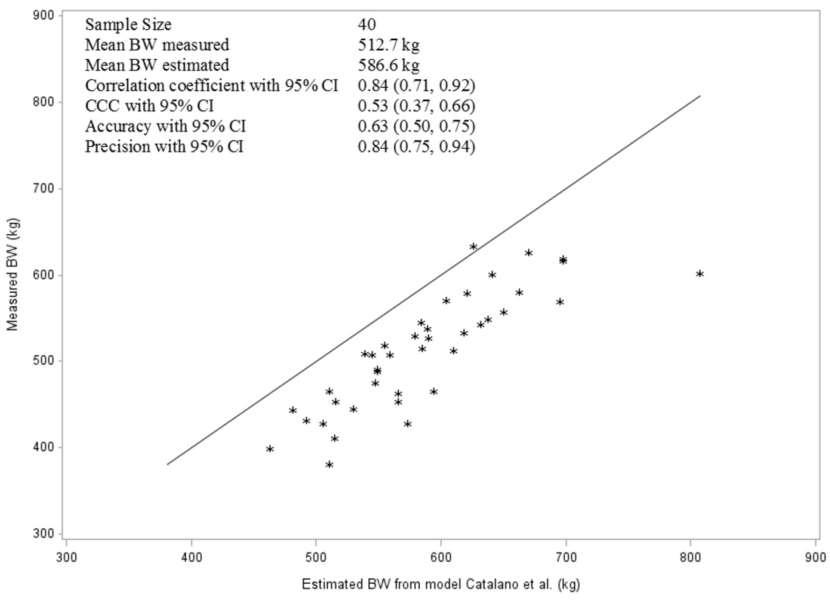
3.3. Evaluation of Models from the Literature
3.4. The Model of Prediction of the Body Condition Score and Comparison with Literature
3.5. Characterization of the Body Condition and Muscle Atrophy by Owners
4. Discussion
5. Conclusions
Supplementary Materials
Author Contributions
Funding
Institutional Review Board Statement
Informed Consent Statement
Data Availability Statement
Acknowledgments
Conflicts of Interest
References
- Owers, R.; Chubbock, S. Fight the fat! Equine veterinary journal. Equine Vet. J. 2013, 45, 5. [Google Scholar] [CrossRef] [PubMed]
- Wyse, C.A.; McNie, K.A.; Tannahill, V.J.; Tannahil, V.J.; Murray, J.K.; Love, S. Prevalence of obesity in riding horses in Scotland. Vet. Rec. 2008, 162, 590–591. [Google Scholar] [CrossRef] [PubMed]
- Kosolofski, H.R.; Gow, S.P.; Robinson, K.A. Prevalence of obesity in the equine population of Saskatoon and surrounding area. Can. Vet. J. 2017, 58, 967–970. [Google Scholar] [PubMed]
- Jensen, R.B.; Danielsen, S.H.; Tauson, A.-H. Body condition score, morphometric measurements and estimation of body weight in mature Icelandic horses in Denmark. Acta Vet. Scand. 2016, 58, 59. [Google Scholar] [CrossRef]
- Secombe, C.J.; Lester, G.D. The role of diet in the prevention and management of several equine diseases. Anim. Feed Sci. Technol. 2012, 173, 86–101. [Google Scholar] [CrossRef]
- Raspa, F.; Tarantola, M.; Muca, E.; Bergero, D.; Soglia, D.; Cavallini, D.; Vervuert, I.; Bordin, C.; De Palo, P.; Valle, E. Does Feeding Management Make a Difference to Behavioural Activities and Welfare of Horses Reared for Meat Production? Animals 2022, 12, 1740. [Google Scholar] [CrossRef]
- Kearns, C.F.; McKeever, K.H.; Abe, T. Overview of horse body composition and muscle architecture: Implications for performance. Vet. J. 2002, 164, 224–234. [Google Scholar] [CrossRef]
- Henneke, D.R.; Potter, G.D.; Kreider, J.L.; Yeates, B.F. Relationship between condition score, physical measurements and body fat percentage in mares. Equine Vet. J. 1983, 15, 371–372. [Google Scholar] [CrossRef]
- Carroll, C.L.; Huntington, P.J. Body condition scoring and weight estimation of horses. Equine Vet. J. 1988, 20, 41–45. [Google Scholar] [CrossRef]
- Schramme, C.S. Body Condition Scores und Biometrische Daten zur Abschätzung des Körpergewichts bei Warmblutpferden. Ph.D. Dissertation, Ludwig-Maximilians-Universität München, Munich, Germany, 2003. [Google Scholar]
- Carter, R.A.; McCutcheon, L.J.; Valle, E.; Meilahn, E.N.; Geor, R.J. Effects of exercise training on adiposity, insulin sensitivity, and plasma hormone and lipid concentrations in overweight or obese, insulin-resistant horses. Am. J. Vet. Res. 2010, 71, 314–321. [Google Scholar] [CrossRef]
- Carter, R.A.; Geor, R.J.; Burton Staniar, W.; Cubitt, T.A.; Harris, P.A. Apparent adiposity assessed by standardised scoring systems and morphometric measurements in horses and ponies. Vet. J. 2009, 179, 204–210. [Google Scholar] [CrossRef] [PubMed]
- Ireland, J.L.; McGowan, C.M. Epidemiology of pituitary pars intermedia dysfunction: A systematic literature review of clinical presentation, disease prevalence and risk factors. Vet. J. 2018, 235, 22–33. [Google Scholar] [CrossRef] [PubMed]
- Li, C.; White, S.H.; Warren, L.K.; Wohlgemuth, S.E. Effects of aging on mitochondrial function in skeletal muscle of American American Quarter Horses. J. Appl. Physiol. 2016, 121, 299–311. [Google Scholar] [CrossRef] [PubMed]
- van Weyenberg, S.; Sales, J.; Janssens, G. Passage rate of digesta through the equine gastrointestinal tract: A review. Livest. Sci. 2006, 99, 3–12. [Google Scholar] [CrossRef]
- Graham-Thiers, P.M.; Kronfeld, D.S. Amino acid supplementation improves muscle mass in aged and young horses. J. Anim. Sci. 2005, 83, 2783–2788. [Google Scholar] [CrossRef]
- Herbst, A.C.; Johnson, M.G.; Gammons, H.; Reedy, S.E.; Urschel, K.L.; Harris, P.A.; Adams, A.A. Development and evaluation of a muscle atrophy scoring system (MASS) for horses. J. Equine Vet. Sci. 2022, 110, 103771. [Google Scholar] [CrossRef]
- Górniak, W.; Wieliczko, M.; Soroko, M.; Korczyński, M. Evaluation of the Accuracy of Horse Body Weight Estimation Methods. Animals 2020, 10, 1750. [Google Scholar] [CrossRef]
- Webb, A.I.; Weaver, B.M. Body composition of the horse. Equine Vet. J. 1979, 11, 39–47. [Google Scholar] [CrossRef]
- Catalano, D.N.; Coleman, R.J.; Hathaway, M.R.; McCue, M.E.; Rendahl, A.K.; Martinson, K.L. Estimation of actual and ideal bodyweight using morphometric measurements and owner guessed bodyweight of adult draft and warmblood horses. J. Equine Vet. Sci. 2016, 39, 38–43. [Google Scholar] [CrossRef]
- Marcenac, L.N.; Aublet, H. Enncyclopedie du Cheval; Maloine: Prais, France, 1964. [Google Scholar]
- Ensminger, M. Horses and Horsemanship; Interstate Publishers Inc.: Prairie Village, KS, USA, 1999. [Google Scholar]
- Jones, R.S.; Lawrence, T.L.; Veevers, A.; Cleave, N.; Hall, J. Accuracy of prediction of the liveweight of horses from body measurements. Vet. Rec. 1989, 125, 549–553. [Google Scholar] [CrossRef]
- Kienzle, E.; Schramme, S.C. Body condition scoring and prediction of body weight in adult warm blooded horses. Pferdeheikunde 2004, 20, 517–524. [Google Scholar] [CrossRef]
- Laubach, J. Überprüfung der Versorgung von Pferden im (ambitionierten) Freizeitsport mittels Vorort-Untersuchungen und dem Fütterungsprogramm Equine Diet©. Diploma Thesis, University of Veterinary Medicine, Vienna, Austria, 2022. Available online: https://phaidra.vetmeduni.ac.at/open/o:1331 (accessed on 9 March 2023).
- Lin, L.I. A concordance correlation coefficient to evaluate reproducibility. Biometrics 1989, 45, 255–268. [Google Scholar] [CrossRef]
- Taffé, P. Assessing bias, precision, and agreement in method comparison studies. Stat. Methods Med. Res. 2020, 29, 778–796. [Google Scholar] [CrossRef] [PubMed]
- Hinkle, D.E.; Wiersma, W.; Jurs, S.G. Applied Statistics for the Behavioral Sciences, 5th ed.; Houghton Mifflin Company: Boston, MA, USA, 2003. [Google Scholar]
- Mottet, R.; Onan, G.; Hiney, K. Revisiting the Henneke body condition scoring system: 25 years later. J. Equine Vet. Sci. 2009, 29, 417–418. [Google Scholar] [CrossRef]
- Latham, C.M.; Owen, R.N.; Dickson, E.C.; Guy, C.P. Skeletal muscle adaptations to exercise training in young and aged horses. Front. Aging 2021, 2, 54. [Google Scholar] [CrossRef] [PubMed]
- Siard-Altman, M.H.; Harris, P.A.; Moffett-Krotky, A.D.; Ireland, J.L.; Betancourt, A.; Barker, V.D.; McMurry, K.E.; Reedy, S.E.; Adams, A.A. Relationships of inflamm-aging with circulating nutrient levels, body composition, age, and pituitary pars intermedia dysfunction in a senior horse population. Vet. Immunol. Immunopathol. 2020, 221, 110013. [Google Scholar] [CrossRef]
- Dugdale, A.H.A.; Curtis, G.C.; Cripps, P.; Harris, P.A.; Argo, C.M. Effect of dietary restriction on body condition, composition and welfare of overweight and obese pony mares. Equine Vet. J. 2010, 42, 600–610. [Google Scholar] [CrossRef]
- Pratt, S.E.; Geor, R.J.; McCutcheon, L.J. Effects of dietary energy source and physical conditioning on insulin sensitivity and glucose tolerance in Standardbred horses. Equine Vet. J. 2006, 38, 579–584. [Google Scholar] [CrossRef]
- Resch, R.; Stögmüller, G. Heuqualität auf österreichischen Praxisbetrieben unter besonderer Berücksichtigung der Feld- und Lagerpilzflora. 46. Viehwirtschaftliche Fachtagung: Milchviehfütterung, Herdenmanagement, Rindermast, Grundfutterqualität, Silomaisfütterung 10. und 11. April 2019, Grimmingsaal, HBLFA Raumberg-Gumpenstein. Irdning-Donnersbachtal: Höhere Bundeslehr- und Forschungsanstalt für Landwirtschaft Raumberg-Gumpenstein. 2019. Available online: https://raumberg-gumpenstein.at/jdownloads/Tagungen/Viehwirtschaftstagung/Viehwirtschaftstagung%202019/1v_2019_tagungsband_gesamt_1.pdf (accessed on 9 March 2023).




| Variable | Estimated Parameter | SE | p-Value | VIF |
|---|---|---|---|---|
| Intercept | −1028.9938 | 86.73 | <0.001 | 0 |
| Body Condition Score | 19.96658 | 7.09 | 0.0084 | 2.48 |
| Cresty Neck Score | 11.87471 | 6.68 | 0.0853 | 1.78 |
| Height of the withers (cm) | 1.68772 | 0.62 | 0.0103 | 2.20 |
| Abdomen circumference (cm) | 1.13782 | 0.48 | 0.0237 | 3.34 |
| Cane circumference (cm) | 3.5439 | 1.71 | 0.0468 | 1.76 |
| Body length (cm) | 0.56605 | 0.19 | 0.0063 | 1.43 |
| Body circumference (cm) | 1.90782 | 0.38 | <0.001 | 4.13 |
| Atrophy score of the hindlimb | −17.46599 | 6.18 | 0.0081 | 1.37 |
| Variable | Estimated Parameter | SE | p Value | Variance Inflation |
|---|---|---|---|---|
| Intercept | 1.81445 | 1.57 | 0.2543 | 0 |
| Age (years) | −0.04016 | 0.01 | 0.0038 | 1.13 |
| Index 1 | 5.26108 | 1.22 | 0.0001 | 1.10 |
| Body length (cm) | −0.00678 | 0.004 | 0.0891 | 1.07 |
| Atrophy Neck Score | −0.34174 | 0.12 | 0.0061 | 1.15 |
Disclaimer/Publisher’s Note: The statements, opinions and data contained in all publications are solely those of the individual author(s) and contributor(s) and not of MDPI and/or the editor(s). MDPI and/or the editor(s) disclaim responsibility for any injury to people or property resulting from any ideas, methods, instructions or products referred to in the content. |
© 2023 by the authors. Licensee MDPI, Basel, Switzerland. This article is an open access article distributed under the terms and conditions of the Creative Commons Attribution (CC BY) license (https://creativecommons.org/licenses/by/4.0/).
Share and Cite
Urbanek, N.; Zebeli, Q. Morphometric Measurements and Muscle Atrophy Scoring as a Tool to Predict Body Weight and Condition of Horses. Vet. Sci. 2023, 10, 515. https://doi.org/10.3390/vetsci10080515
Urbanek N, Zebeli Q. Morphometric Measurements and Muscle Atrophy Scoring as a Tool to Predict Body Weight and Condition of Horses. Veterinary Sciences. 2023; 10(8):515. https://doi.org/10.3390/vetsci10080515
Chicago/Turabian StyleUrbanek, Nadine, and Qendrim Zebeli. 2023. "Morphometric Measurements and Muscle Atrophy Scoring as a Tool to Predict Body Weight and Condition of Horses" Veterinary Sciences 10, no. 8: 515. https://doi.org/10.3390/vetsci10080515
APA StyleUrbanek, N., & Zebeli, Q. (2023). Morphometric Measurements and Muscle Atrophy Scoring as a Tool to Predict Body Weight and Condition of Horses. Veterinary Sciences, 10(8), 515. https://doi.org/10.3390/vetsci10080515

