Comparative Efficacy of Chimeric Porcine Circovirus (PCV) Vaccines against Experimental Heterologous PCV2d Challenges
Abstract
Simple Summary
Abstract
1. Introduction
2. Materials and Methods
2.1. Animals and Experimental Designs
2.2. PCV2d Challenge
2.3. Immunological Response Evaluation and PCV2 DNA Detection
2.4. Histopathology and Immunohistochemistry
2.5. Immunohistochemistry Scoring
2.6. Statistical Analyses
3. Results
3.1. Growth Performance and Pathological Evaluation
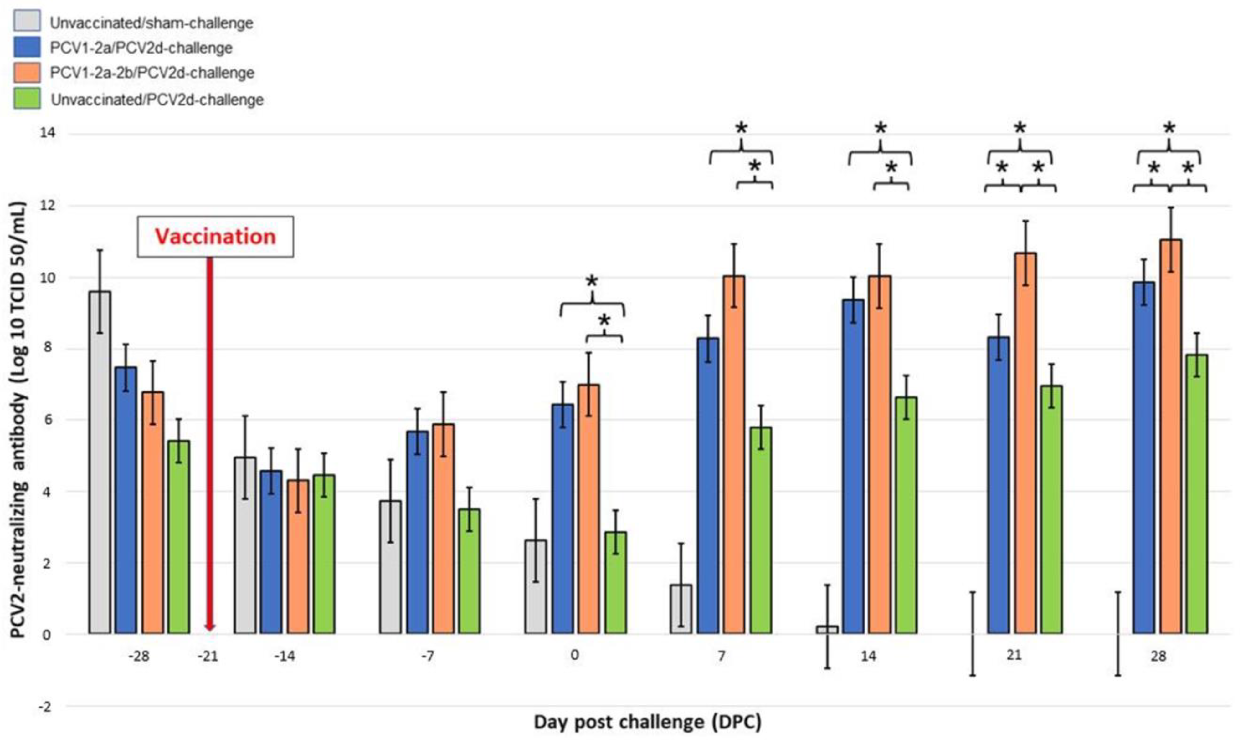
3.2. Evaluation of PCV2d-Specific Neutralizing Antibody
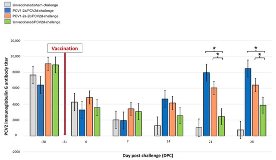
3.3. Evaluation of PCV2-Immunoglobulin G Antibody (IgG) Titers
3.4. PCV2 DNA Detection in Serum Samples
4. Discussion
Supplementary Materials
Author Contributions
Funding
Institutional Review Board Statement
Informed Consent Statement
Data Availability Statement
Acknowledgments
Conflicts of Interest
References
- Gillespie, J.; Opriessnig, T.; Meng, X.J.; Pelzer, K.; Buechner-Maxwell, V. Porcine circovirus type 2 and porcine circovirus-associated disease. J. Vet. Intern. Med. 2009, 23, 1151–1163. [Google Scholar] [CrossRef] [PubMed]
- Baekbo, P.; Kristensen, C.S.; Larsen, L.E. Porcine circovirus diseases: A review of PMWS. Transbound Emerg. Dis. 2012, 59 (Suppl. 1), 60–67. [Google Scholar] [CrossRef] [PubMed]
- Link, E.K.; Eddicks, M.; Nan, L.; Ritzmann, M.; Sutter, G.; Fux, R. Discriminating the eight genotypes of the porcine circovirus type 2 with TaqMan-based real-time PCR. Virol. J. 2021, 18, 70. [Google Scholar] [CrossRef] [PubMed]
- Franzo, G.; Tucciarone, C.M.; Cecchinato, M.; Drigo, M. Porcine circovirus type 2 (PCV2) evolution before and after the vaccination introduction: A large scale epidemiological study. Sci. Rep. 2016, 6, 39458. [Google Scholar] [CrossRef]
- Kwon, T.; Lee, D.U.; Yoo, S.J.; Sang, H.J.; Shin, J.Y.; Lyoo, Y.S. Genotypic diversity of porcine circovirus type 2 (PCV2) and genotype shift to PCV2d in Korean pig population. Virus Res. 2017, 228, 24–29. [Google Scholar] [CrossRef]
- Fanelli, A.; Pellegrini, F.; Camero, M.; Catella, C.; Buonavoglia, D.; Fusco, G.; Martella, V.; Lanave, G. Genetic Diversity of Porcine Circovirus Types 2 and 3 in Wild Boar in Italy. Animals 2022, 12, 953. [Google Scholar] [CrossRef]
- Thangthamniyom, N.; Sangthong, P.; Poolperm, P.; Thanantong, N.; Boonsoongnern, A.; Hansoongnern, P.; Semkum, P.; Petcharat, N.; Lekcharoensuk, P. Genetic diversity of porcine circovirus type 2 (PCV2) in Thailand during 2009–2015. Vet. Microbiol. 2017, 208, 239–246. [Google Scholar] [CrossRef]
- Fort, M.; Sibila, M.; Perez-Martin, E.; Nofrarias, M.; Mateu, E.; Segalés, J. One dose of a porcine circovirus 2 (PCV2) sub-unit vaccine administered to 3-week-old conventional piglets elicits cell-mediated immunity and significantly reduces PCV2 viremia in an experimental model. Vaccine 2009, 27, 4031–4037. [Google Scholar] [CrossRef]
- Hemann, M.; Beach, N.M.; Meng, X.J.; Wang, C.; Halbur, P.G.; Opriessnig, T. A live-attenuated and an inactivated chimeric porcine circovirus (PCV)1-2 vaccine are both effective at inducing a humoral immune response and reducing PCV2 viremia and intrauterine infection in female swine of breeding age. Can. J. Vet. Res. 2014, 78, 8–16. [Google Scholar]
- Kekarainen, T.; McCullough, K.; Fort, M.; Fossum, C.; Segalés, J.; Allan, G.M. Immune responses and vaccine-induced immunity against Porcine circovirus type 2. Vet. Immunol. Immunopathol. 2010, 136, 185–193. [Google Scholar] [CrossRef]
- Opriessnig, T.; Xiao, C.T.; Halbur, P.G.; Gerber, P.F.; Matzinger, S.R.; Meng, X.J. A commercial porcine circovirus (PCV) type 2a-based vaccine reduces PCV2d viremia and shedding and prevents PCV2d transmission to naive pigs under experimental conditions. Vaccine 2017, 35, 248–254. [Google Scholar] [CrossRef] [PubMed]
- Seo, H.W.; Han, K.; Kim, D.; Oh, Y.; Kang, I.; Park, C.; Jang, H.; Chae, C. Effects of an inactivated porcine circovirus type 2 (PCV2) vaccine on PCV2 virus shedding in semen from experimentally infected boars. Clin. Vaccine Immunol. 2011, 18, 1091–1096. [Google Scholar] [CrossRef]
- Zhang, H.H.; Hu, W.Q.; Li, J.Y.; Liu, T.N.; Zhou, J.Y.; Opriessnig, T.; Xiao, C.T. Novel circovirus species identified in farmed pigs designated as Porcine circovirus 4, Hunan province, China. Transbound. Emerg. Dis. 2020, 67, 1057–1061. [Google Scholar] [CrossRef]
- Opriessnig, T.; Karuppannan, A.K.; Halbur, P.G.; Calvert, J.G.; Nitzel, G.P.; Matzinger, S.R.; Meng, X.J. Porcine circovirus type 2a or 2b based experimental vaccines provide protection against PCV2d/porcine parvovirus 2 co-challenge. Vaccine 2020, 38, 1975–1981. [Google Scholar] [CrossRef] [PubMed]
- Opriessnig, T.; Castro, A.M.; Karuppanan, A.K.; Gauger, P.C.; Halbur, P.G.; Matzinger, S.R.; Meng, X.J. A Porcine circovirus type 2b (PCV2b)-based experimental vaccine is effective in the PCV2b-Mycoplasma hyopneumoniae coinfection pig model. Vaccine 2019, 37, 6688–6695. [Google Scholar] [CrossRef] [PubMed]
- Bandrick, M.; Gutiérrez, A.H.; Desai, P.; Rincon, G.; Martin, W.D.; Terry, F.E.; De Groot, A.S.; Foss, D.L. T cell epitope content comparison (EpiCC) analysis demonstrates a bivalent PCV2 vaccine has greater T cell epitope overlap with field strains than monovalent PCV2 vaccines. Vet. Immunol. Immunopathol. 2020, 223, 110034. [Google Scholar] [CrossRef]
- Kolyvushko, O.; Rakibuzzaman, A.; Pillatzki, A.; Webb, B.; Ramamoorthy, S. Efficacy of a Commercial PCV2a Vaccine with a Two-Dose Regimen Against PCV2d. Vet. Sci. 2019, 6, 61. [Google Scholar] [CrossRef]
- Gerber, P.F.; Garrocho, F.M.; Lana, Â.M.; Lobato, Z.I. Serum antibodies and shedding of infectious porcine circovirus 2 into colostrum and milk of vaccinated and unvaccinated naturally infected sows. Vet. J. 2011, 188, 240–242. [Google Scholar] [CrossRef]
- Henriques, A.M.; Duarte, M.; Barros, S.C.; Fagulha, T.; Ramos, F.; Luís, T.; Fevereiro, M. Development and validation of a real-time PCR for the detection and quantification of porcine circovirus type 2. Virusdisease 2018, 29, 355–361. [Google Scholar] [CrossRef]
- Chianini, F.; Majo, N.; Segalés, J.; Domınguez, J.; Domingo, M. Immunohistochemical characterisation of PCV2 associate lesions in lymphoid and non-lymphoid tissues of pigs with natural postweaning multisystemic wasting syndrome (PMWS). Vet. Immunol. Immunopathol. 2003, 94, 63–75. [Google Scholar] [CrossRef]
- Fenaux, M.; Opriessnig, T.; Halbur, P.; Elvinger, F.; Meng, X. A chimeric porcine circovirus (PCV) with the immunogenic capsid gene of the pathogenic PCV type 2 (PCV2) cloned into the genomic backbone of the nonpathogenic PCV1 induces protective immunity against PCV2 infection in pigs. J. Virol. 2004, 78, 6297–6303. [Google Scholar] [CrossRef] [PubMed]
- Huan, C.; Fan, M.; Cheng, Q.; Wang, X.; Gao, Q.; Wang, W.; Gao, S.; Liu, X. Evaluation of the Efficacy and Cross-Protective Immunity of Live-Attenuated Chimeric PCV1-2b Vaccine Against PCV2b and PCV2d Subtype Challenge in Pigs. Front. Microbiol. 2018, 9, 455. [Google Scholar] [CrossRef] [PubMed]
- Noh, Y.H.; Kim, S.C.; Jeong, C.G.; Lee, S.C.; Lee, D.U.; Yoon, I.J.; Kim, W.I. Pathological Evaluation of Porcine Circovirus 2d (PCV2d) Strain and Comparative Evaluation of PCV2d and PCV2b Inactivated Vaccines against PCV2d Infection in a Specific Pathogen-Free (SPF) Yucatan Miniature Pig Model. Vaccines 2022, 10, 1469. [Google Scholar] [CrossRef] [PubMed]
- Park, K.H.; Oh, T.; Yang, S.; Cho, H.; Kang, I.; Chae, C. Evaluation of a porcine circovirus type 2a (PCV2a) vaccine efficacy against experimental PCV2a, PCV2b, and PCV2d challenge. Vet. Microbiol. 2019, 231, 87–92. [Google Scholar] [CrossRef] [PubMed]
- Venegas-Vargas, C.; Taylor, L.P.; Foss, D.L.; Godbee, T.K.; Philip, R.; Bandrick, M. Cellular and humoral immunity following vaccination with two different PCV2 vaccines (containing PCV2a or PCV2a/PCV2b) and challenge with virulent PCV2d. Vaccine 2021, 39, 5615–5625. [Google Scholar] [CrossRef]
- McNeilly, F.; Kennedy, S.; Moffett, D.; Meehan, B.M.; Foster, J.C.; Clarke, E.G.; Allan, G.M. A comparison of in situ hybridization and immunohistochemistry for the detection of a new porcine circovirus in formalin-fixed tissues from pigs with post-weaning multisystemic wasting syndrome (PMWS). J. Virol. Methods 1999, 80, 123–128. [Google Scholar] [CrossRef]
- Sorden, S.D.; Harms, P.A.; Nawagitgul, P.; Cavanaugh, D.; Paul, P.S. Development of a polyclonal-antibody-based immunohistochemical method for the detection of type 2 porcine circovirus in formalin-fixed, paraffin-embedded tissue. J. Vet. Diagn. Investig. 1999, 11, 528–530. [Google Scholar] [CrossRef]





| Group | Type of Vaccine | Dose |
|---|---|---|
| Unvaccinated/sham-challenge | Normal saline | 2 mL, single dose |
| PCV1-2a/PCV2d-challenge | Chimeric PCV type 1-type 2a vaccine (Fostera® PCV MetaStim, Zoetis, Charles city, IA, USA) | 2 mL, single dose |
| PCV1-2a-2b/PCV2d-challenge | Chimeric PCV type 1, type 2a and type 2b vaccine (Fostera® Gold PCV, Zoetis, Charles city, IA, USA) | 2 mL, single dose |
| Unvaccinated/PCV2d-challenge | Normal saline | 2 mL, single dose |
| Group/ Challenge Day | Number of Positive Animals/Total Animals | |||||
|---|---|---|---|---|---|---|
| −28 | 0 | 7 | 14 | 21 | 28 | |
| Unvaccinated/sham-challenge | 0/6 | 0/6 | 0/6 | 0/6 | 0/6 | 0/6 |
| PCV1-2a/PCV2d-challenge | 0/6 | 0/6 | 0/6 | 4/6 | 4/6 | 3/6 |
| PCV1-2a-2b/PCV2d-challenge | 0/6 | 0/6 | 0/6 | 2/6 | 1/6 | 2/6 |
| Unvaccinated/PCV2d-challenge | 0/6 | 0/6 | 3/6 | 4/6 | 4/6 | 3/6 |
Disclaimer/Publisher’s Note: The statements, opinions and data contained in all publications are solely those of the individual author(s) and contributor(s) and not of MDPI and/or the editor(s). MDPI and/or the editor(s) disclaim responsibility for any injury to people or property resulting from any ideas, methods, instructions or products referred to in the content. |
© 2023 by the authors. Licensee MDPI, Basel, Switzerland. This article is an open access article distributed under the terms and conditions of the Creative Commons Attribution (CC BY) license (https://creativecommons.org/licenses/by/4.0/).
Share and Cite
Wongchanapai, P.; Yamsakul, P.; Arunorat, J.; Guntawang, T.; Sittisak, T.; Srivorakul, S.; Photichai, K.; Thanawongnuwech, R.; Sukmak, M.; Pringproa, K. Comparative Efficacy of Chimeric Porcine Circovirus (PCV) Vaccines against Experimental Heterologous PCV2d Challenges. Vet. Sci. 2023, 10, 80. https://doi.org/10.3390/vetsci10020080
Wongchanapai P, Yamsakul P, Arunorat J, Guntawang T, Sittisak T, Srivorakul S, Photichai K, Thanawongnuwech R, Sukmak M, Pringproa K. Comparative Efficacy of Chimeric Porcine Circovirus (PCV) Vaccines against Experimental Heterologous PCV2d Challenges. Veterinary Sciences. 2023; 10(2):80. https://doi.org/10.3390/vetsci10020080
Chicago/Turabian StyleWongchanapai, Pichanun, Panuwat Yamsakul, Jirapat Arunorat, Thunyamas Guntawang, Tidaratt Sittisak, Saralee Srivorakul, Kornravee Photichai, Roongroje Thanawongnuwech, Manakorn Sukmak, and Kidsadagon Pringproa. 2023. "Comparative Efficacy of Chimeric Porcine Circovirus (PCV) Vaccines against Experimental Heterologous PCV2d Challenges" Veterinary Sciences 10, no. 2: 80. https://doi.org/10.3390/vetsci10020080
APA StyleWongchanapai, P., Yamsakul, P., Arunorat, J., Guntawang, T., Sittisak, T., Srivorakul, S., Photichai, K., Thanawongnuwech, R., Sukmak, M., & Pringproa, K. (2023). Comparative Efficacy of Chimeric Porcine Circovirus (PCV) Vaccines against Experimental Heterologous PCV2d Challenges. Veterinary Sciences, 10(2), 80. https://doi.org/10.3390/vetsci10020080

