Short Term Effect of Ivermectin on the Bacterial Microbiota from Fecal Samples in Chinchillas (Chinchilla lanigera)
Abstract
Simple Summary
Abstract
1. Introduction
2. Materials and Methods
2.1. Animals
2.2. Study Design and Fecal Sample Collection
2.3. DNA Extraction and 16S rRNA Sequencing
2.4. Statistical Analysis
3. Results
3.1. Clinical Findings and Parasitic Examination
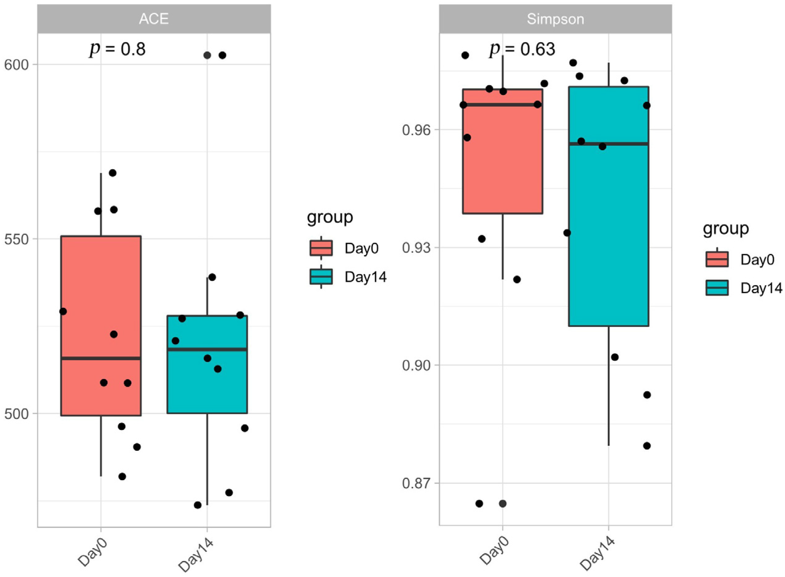
3.2. Microbiota Profile Analysis
3.3. Compositional Analysis
4. Discussion
5. Conclusions
Author Contributions
Funding
Institutional Review Board Statement
Informed Consent Statement
Data Availability Statement
Conflicts of Interest
References
- Patton, J.L.; Pardiñas, U.F.J.; D’Elía, G. Mammals of South America, Volume 2. Rodents; UCP: Chicago, IL, USA, 2015; pp. 765–768. [Google Scholar]
- Donnelly, T.M.; Brown, C.J. Guinea pig and chinchilla care and husbandry. Vet. Clin. N. Am. Exot. Anim. Pract. 2004, 7, 351–373. [Google Scholar] [CrossRef] [PubMed]
- ESCCAP. ESCCAP Guideline 7: Control of parasites and fungal infections in small pet mammals. ESCCAP 2017, 61–63. Available online: https://www.esccap.org/guidelines/gl7/ (accessed on 17 December 2022).
- Artis, D. Epithelial-cell recognition of commensal bacteria and maintenance of immune homeostasis in the gut. Nat. Rev. Immunol. 2008, 8, 411–420. [Google Scholar] [CrossRef] [PubMed]
- Jandhyala, S.M.; Talukdar, R.; Subramanyam, C.; Vuyyuru, H.; Sasikala, M.; Nageshwar Reddy, D. Role of the normal gut microbiota. World J. Gastroenterol. 2015, 21, 8787–8803. [Google Scholar] [CrossRef]
- Clemente, J.C.; Ursell, L.K.; Parfrey, L.W.; Knight, R. The impact of the gut microbiota on human health: An integrative view. Cell 2012, 148, 1258–1270. [Google Scholar] [CrossRef]
- Morrison, D.J.; Preston, T. Formation of short chain fatty acids by the gut microbiota and their impact on human metabolism. Gut Microbes 2016, 7, 189–200. [Google Scholar] [CrossRef]
- Lange, K.; Buerger, M.; Stallmach, A.; Bruns, T. Effects of antibiotics on gut microbiota. Dig Dis. 2016, 34, 260–268. [Google Scholar] [CrossRef]
- Martin, R.J.; Robertson, A.P.; Choudhary, S. Ivermectin: An anthelmintic, an insecticide, and much more. Trends Parasitol. 2021, 37, 48–64. [Google Scholar] [CrossRef]
- Foletto, V.R.; Vanz, F.; Gazarini, L.; Stern, C.A.; Tonussi, C.R. Efficacy and security of ivermectin given orally to rats naturally infected with Syphacia spp., Giardia spp. and Hymenolepis nana. Lab. Anim. 2015, 49, 196–200. [Google Scholar] [CrossRef]
- Dicks, L.M.T.; Deane, S.M.; Grobbelaar, M.J. Could the COVID-19-driven increased use of ivermectin lead to incidents of imbalanced gut microbiota and dysbiosis? Probiotics Antimicrob. Proteins 2022, 14, 217–223. [Google Scholar] [CrossRef]
- He, F.; Zhai, J.; Zhang, L.; Liu, D.; Ma, Y.; Rong, K.; Xu, Y.; Ma, J. Variations in gut microbiota and fecal metabolic phenotype associated with fenbendazole and ivermectin tablets by 16S rRNA gene sequencing and LC/MS-based metabolomics in amur tiger. Biochem. Biophys. Res. Commun. 2018, 499, 447–453. [Google Scholar] [CrossRef]
- Schneeberger, P.H.H.; Coulibaly, J.T.; Gueuning, M.; Moser, W.; Coburn, B.; Frey, J.E.; Keiser, J. Off-target effects of tribendimidine, tribendimidine plus ivermectin, tribendimidine plus oxantel-pamoate, and albendazole plus oxantel-pamoate on the human gut microbiota. Int. J. Parasitol. Drugs Drug Resist. 2018, 8, 372–378. [Google Scholar] [CrossRef]
- Bailey, M.T.; Lauber, C.L.; Novotny, L.A.; Goodman, S.D.; Bakaletz, L.O. Immunization with a biofilm-disrupting nontypeable Haemophilus influenzae vaccine antigen did not alter the gut microbiome in chinchillas, unlike oral delivery of a broad-spectrum antibiotic commonly used for otitis media. mSphere 2020, 5, e00296-20. [Google Scholar] [CrossRef]
- Cole, J.R.; Wang, Q.; Cardenas, E.; Fish, J.; Chai, B.; Farris, R.J.; Kulam-Syed-Mohideen, A.S.; McGarrell, D.M.; Marsh, T.; Garrity, G.M.; et al. The ribosomal database project: Improved alignments and new tools for rRNA analysis. Nucleic Acids Res. 2009, 37, D141–D145. [Google Scholar] [CrossRef] [PubMed]
- O’Donnell, M.M.; Harris, H.M.B.; Ross, R.P.; O’Toole, P.W. Core fecal microbiota of domesticated herbivorous ruminant, hindgut fermenters, and monogastric animals. Microbiologyopen 2017, 6, e00509. [Google Scholar] [CrossRef] [PubMed]
- Peachey, L.E.; Molena, R.A.; Jenkins, T.P.; Di Cesare, A.; Traversa, D.; Hodgkinson, J.E.; Cantacessi, C. The relationships between faecal egg counts and gut microbial composition in UK thoroughbreds infected by cyathostomins. Int. J. Parasitol. 2018, 48, 403–412. [Google Scholar] [CrossRef] [PubMed]
- Velasco-Galilea, M.; Piles, M.; Viñas, M.; Rafel, O.; González-Rodríguez, O.; Guivernau, M.; Sanchez, J.P. Rabbit microbiota changes throughout the intestinal tract. Front. Microbiol. 2018, 9, 2144. [Google Scholar] [CrossRef] [PubMed]
- Hu, C.; Rzymski, P. Non-photosynthetic melainabacteria (cyanobacteria) in human gut: Characteristics and association with health. Life 2022, 12, 476. [Google Scholar] [CrossRef]
- Shepherd, M.L.; Swecker, W.S., Jr.; Jensen, R.V.; Ponder, M.A. Characterization of the fecal bacteria communities of forage-fed horses by pyrosequencing of 16S rRNA V4 gene amplicons. FEMS Microbiol. Lett. 2012, 326, 62–68. [Google Scholar] [CrossRef]
- Montes-Carreto, L.M.; Aguirre-Noyola, J.L.; Solís-García, I.A.; Ortega, J.; Martinez-Romero, E.; Guerrero, J.A. Diverse methanogens, bacteria and tannase genes in the feces of the endangered volcano rabbit (Romerolagus diazi). PeerJ 2021, 9, e11942. [Google Scholar] [CrossRef]
- Brenner, S.R. Blue-green algae or cyanobacteria in the intestinal micro-flora may produce neurotoxins such as Beta-N-Methylamino-L-Alanine (BMAA) which may be related to development of amyotrophic lateral sclerosis, Alzheimer’s disease and Parkinson-dementia-complex in humans and equine motor neuron disease in horses. Med. Hypotheses 2013, 80, 103. [Google Scholar] [PubMed]
- Demay, J.; Bernard, C.; Reinhardt, A.; Marie, B. Natural products from cyanobacteria: Focus on beneficial activities. Mar. Drugs 2019, 17, 320. [Google Scholar] [CrossRef] [PubMed]
- Wang, Z.; Li, X.; Zhang, L.; Wu, J.; Zhao, S.; Jiao, T. Effect of oregano oil and cobalt lactate on sheep in vitro digestibility, fermentation characteristics and rumen microbial community. Animals 2022, 12, 118. [Google Scholar] [CrossRef] [PubMed]
- Reichardt, N.; Duncan, S.H.; Young, P.; Belenguer, A.; McWilliam Leitch, C.; Scott, K.P.; Flint, H.J.; Louis, P. Phylogenetic distribution of three pathways for propionate production within the human gut microbiota. ISME J. 2014, 8, 1323–1335. [Google Scholar] [CrossRef]
- Yang, C.; Tsedan, G.; Liu, Y.; Hou, F. Shrub coverage alters the rumen bacterial community of yaks (Bos grunniens) grazing in alpine meadows. J. Anim. Sci. Technol. 2020, 62, 504–520. [Google Scholar] [CrossRef]
- Xia, G.; Sun, J.; Fan, Y.; Zhao, F.; Ahmed, G.; Jin, Y.; Zhang, Y.; Wang, H. β-Sitosterol attenuates high grain diet-induced inflammatory stress and modifies rumen fermentation and microbiota in sheep. Animals 2020, 10, 171. [Google Scholar] [CrossRef]
- Ma, J.; Zhu, Y.; Wang, Z.; Yu, X.; Hu, R.; Wang, X.; Cao, G.; Zou, H.; Shah, A.M.; Peng, Q.; et al. Comparing the bacterial community in the gastrointestinal tracts between growth-retarded and normal yaks on the Qinghai-Tibetan plateau. Front. Microbiol. 2020, 11, 600516. [Google Scholar] [CrossRef]
- Li, J.; Sung, C.Y.; Lee, N.; Ni, Y.; Pihlajamäki, J.; Panagiotou, G.; El-Nezami, H. Probiotics modulated gut microbiota suppresses hepatocellular carcinoma growth in mice. Proc. Natl. Acad. Sci. USA 2016, 113, E1306–E1315. [Google Scholar] [CrossRef]
- Paz, E.A.; Chua, E.G.; Hassan, S.U.; Greeff, J.C.; Palmer, D.G.; Liu, S.; Lamichhane, B.; Sepúlveda, N.; Liu, J.; Tay, C.Y.; et al. Bacterial communities in the gastrointestinal tract segments of helminth-resistant and helminth-susceptible sheep. Anim. Microbiome 2022, 4, 23. [Google Scholar] [CrossRef]
- Liao, R.; Xie, X.; Lv, Y.; Dai, J.; Lin, Y.; Zhu, L. Ages of weaning influence the gut microbiota diversity and function in Chongming white goats. Appl. Microbiol. Biotechnol. 2021, 105, 3649–3658. [Google Scholar] [CrossRef]
- Du, M.; Yang, C.; Liang, Z.; Zhang, J.; Yang, Y.; Ahmad, A.A.; Yan, P.; Ding, X. Dietary energy levels affect carbohydrate metabolism-related bacteria and improve meat quality in the longissimus thoracis muscle of yak (Bos grunniens). Front. Vet. Sci. 2021, 8, 718036. [Google Scholar] [CrossRef] [PubMed]
- Qin, S.; Huang, Z.; Wang, Y.; Pei, L.; Shen, Y. Probiotic potential of Lactobacillus isolated from horses and its therapeutic effect on DSS-induced colitis in mice. Microb. Pathog. 2022, 165, 105216. [Google Scholar] [CrossRef] [PubMed]
- Mukherjee, A.; Lordan, C.; Ross, R.P.; Cotter, P.D. Gut microbes from the phylogenetically diverse genus Eubacterium and their various contributions to gut health. Gut Microbes 2020, 12, 1802866. [Google Scholar] [CrossRef] [PubMed]
- Jin, D.X.; Zou, H.W.; Liu, S.Q.; Wang, L.Z.; Xue, B.; Wu, D.; Tian, G.; Cai, J.; Yan, T.H.; Wang, Z.S.; et al. The underlying microbial mechanism of epizootic rabbit enteropathy triggered by a low fiber diet. Sci. Rep. 2018, 8, 12489. [Google Scholar] [CrossRef] [PubMed]
- Cutting, S.M. Bacillus probiotics. Food Microbiol. 2011, 28, 214–220. [Google Scholar] [CrossRef]
- Zhang, N.; Wang, L.; Wei, Y. Effects of Bacillus pumilus on growth performance, immunological indicators and gut microbiota of mice. J. Anim. Physiol. Anim. Nutr. 2021, 105, 797–805. [Google Scholar] [CrossRef]
- Chen, N.; Liu, Y.; Qin, P.; Li, Y.; Ma, D.; Li, J.; Shi, T.; Zhu, Z. Antibacterial activities of Bacillus amyloliquefaciens DQB-1 isolated from the cecum of Dezhou donkeys. J. Equine Vet. Sci. 2021, 102, 103616. [Google Scholar] [CrossRef]
- Mayer, J.; Donnelly, T.M. Clinical Veterinary Advisor: Birds and Exotic Pets; Elsevier Saunders: St. Louis, MO, USA, 2013; Available online: https://www.clinvetadvisorexotics.com/index.php (accessed on 17 December 2022).



Disclaimer/Publisher’s Note: The statements, opinions and data contained in all publications are solely those of the individual author(s) and contributor(s) and not of MDPI and/or the editor(s). MDPI and/or the editor(s) disclaim responsibility for any injury to people or property resulting from any ideas, methods, instructions or products referred to in the content. |
© 2023 by the authors. Licensee MDPI, Basel, Switzerland. This article is an open access article distributed under the terms and conditions of the Creative Commons Attribution (CC BY) license (https://creativecommons.org/licenses/by/4.0/).
Share and Cite
Ma, X.; Li, J.; Yang, L.; Liu, H.; Zhu, Y.; Ren, H.; Yu, F.; Liu, B. Short Term Effect of Ivermectin on the Bacterial Microbiota from Fecal Samples in Chinchillas (Chinchilla lanigera). Vet. Sci. 2023, 10, 169. https://doi.org/10.3390/vetsci10020169
Ma X, Li J, Yang L, Liu H, Zhu Y, Ren H, Yu F, Liu B. Short Term Effect of Ivermectin on the Bacterial Microbiota from Fecal Samples in Chinchillas (Chinchilla lanigera). Veterinary Sciences. 2023; 10(2):169. https://doi.org/10.3390/vetsci10020169
Chicago/Turabian StyleMa, Xinyi, Jing Li, Luo Yang, Haoqian Liu, Yiping Zhu, Honglin Ren, Feng Yu, and Bo Liu. 2023. "Short Term Effect of Ivermectin on the Bacterial Microbiota from Fecal Samples in Chinchillas (Chinchilla lanigera)" Veterinary Sciences 10, no. 2: 169. https://doi.org/10.3390/vetsci10020169
APA StyleMa, X., Li, J., Yang, L., Liu, H., Zhu, Y., Ren, H., Yu, F., & Liu, B. (2023). Short Term Effect of Ivermectin on the Bacterial Microbiota from Fecal Samples in Chinchillas (Chinchilla lanigera). Veterinary Sciences, 10(2), 169. https://doi.org/10.3390/vetsci10020169

