Thermal Data of Perfluorinated Carboxylic Acid Functionalized Aluminum Nanoparticles
Abstract
:1. Summary
2. Data Description
2.1. ATR-IR Data
2.2. DSC Data
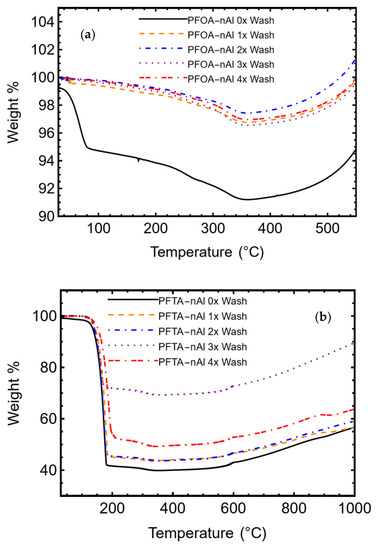
2.3. TGA Data
3. Methods
3.1. Materials
3.2. Instrumentation
3.3. Oxidizer/Fuel Core-Shell Particle Synthesis
POTENTIAL HAZARD NOTE: In our studies, the preparation of PFCA/nAl blends showed indefinite shelf-stability in open air and during physical handing of the materials. These materials were/should be prepared on a small-scale with less than 1 g nAl content. However, we stress caution in handling these materials by using the proper personal protection equipment (gloves, safety glasses, and a flame retardant garment) and in a glove box or under a controlled inert air-handling environment and preferably in a ventilation fume hood. Avoid exposing materials to an open flame, static discharge, direct heating, or other energy point sources (unless under controlled conditions and by an individual experienced in the art) as these formulations are extremely flammable and potentially combustible.
Supplementary Materials
Author Contributions
Funding
Institutional Review Board Statement
Informed Consent Statement
Data Availability Statement
Conflicts of Interest
References
- Weeks, N.J.; Gazmin, E.; Iacono, S.T. Optimizing the interfaces of energetic textiles with perfluorinated oligomer-coated aluminum nanoparticles: Implications for metastable intermolecular composites. ACS Appl. Nano Mater. 2021, 4, 6002–6011. [Google Scholar] [CrossRef]
- Valluri, S.K.; Schoenitz, M.; Dreizin, E. Fluorine-containing oxidizers for metal fuels in energetic formulations. Def. Technol. 2019, 15, 1–22. [Google Scholar] [CrossRef]





| Entry | Wash | (cm−1) | Tm (°C) | ΔHexo (J/g) | Td (°C) | Char Yield (%) |
|---|---|---|---|---|---|---|
| nAl (bare) | – | – | – | – | – | – |
| PFOA | – | 1140, 1200 | –24, 40 | – | 147. | – |
| PFDA | – | 1150, 1200 | 82, 10 | – | 227 | – |
| PFTA | – | 1150, 1200 | 80, 97, 121 | – | 221 | – |
| PFOA/nAl | 0× | – | 41 | 121 | 302 | 94 |
| PFOA/nAl | 1× | – | – | 189 | 291 | 97 |
| PFOA/nAl | 2× | – | – | 190 | 289 | 97 |
| PFOA/nAl | 3× | – | – | 187 | 287 | 96 |
| PFOA/nAl | 4× | 1180, 1230 | – | 185 | 293 | 96 |
| PFDA/nAl | 0× | – | 80, 108 | 189 | 347 | – |
| PFDA/nAl | 1× | 80, 107 | 219 | 331 | – | |
| PFDA/nAl | 2× | – | – | 196 | 306 | – |
| PFDA/nAl | 3× | 1170, 1280 | – | 190 | 304 | – |
| PFTA/nAl | 0× | – | 83, 133 | 276 | 357 | 40 |
| PFTA/nAl | 1× | – | 82, 102, 133 | 236 | 346 | 43 |
| PFTA/nAl | 2× | – | 82, 102, 133 | 222 | 346 | 43 |
| PFTA/nAl | 4× | – | 65, 106 | 228 | 358 | 49 |
| PFTA/nAl | 5× | 1180, 1270 | – | 227 | 322 | – |
Disclaimer/Publisher’s Note: The statements, opinions and data contained in all publications are solely those of the individual author(s) and contributor(s) and not of MDPI and/or the editor(s). MDPI and/or the editor(s) disclaim responsibility for any injury to people or property resulting from any ideas, methods, instructions or products referred to in the content. |
© 2022 by the authors. Licensee MDPI, Basel, Switzerland. This article is an open access article distributed under the terms and conditions of the Creative Commons Attribution (CC BY) license (https://creativecommons.org/licenses/by/4.0/).
Share and Cite
Weeks, N.J.; Martin, B.; Gazmin, E.; Iacono, S.T. Thermal Data of Perfluorinated Carboxylic Acid Functionalized Aluminum Nanoparticles. Data 2023, 8, 5. https://doi.org/10.3390/data8010005
Weeks NJ, Martin B, Gazmin E, Iacono ST. Thermal Data of Perfluorinated Carboxylic Acid Functionalized Aluminum Nanoparticles. Data. 2023; 8(1):5. https://doi.org/10.3390/data8010005
Chicago/Turabian StyleWeeks, Nathan J., Bradley Martin, Enrique Gazmin, and Scott T. Iacono. 2023. "Thermal Data of Perfluorinated Carboxylic Acid Functionalized Aluminum Nanoparticles" Data 8, no. 1: 5. https://doi.org/10.3390/data8010005
APA StyleWeeks, N. J., Martin, B., Gazmin, E., & Iacono, S. T. (2023). Thermal Data of Perfluorinated Carboxylic Acid Functionalized Aluminum Nanoparticles. Data, 8(1), 5. https://doi.org/10.3390/data8010005

