Flash Vacuum Expansion of Maradol Papaya (Carica papaya L.) for Producing an Antioxidant-Potential Dairy Beverage Fermented by Limosilactobacillus fermentum J24
Abstract
1. Introduction
2. Materials and Methods
2.1. Plant Material
2.2. Preparation of Fruit Puree Using the Flash Vacuum Expansion Process
2.3. Strain Preparation
2.4. Preparation and Fermentation of Dairy Beverages with Papaya Puree
2.5. Microbial Growth Curve
2.6. Kinetic Parameters Determination
2.7. Physicochemical Parameters
2.8. Antioxidant Properties
2.8.1. Preparation of Extracts
2.8.2. Total Phenolic Content
2.8.3. ABTS Antioxidant Capacity
2.8.4. DPHH Antioxidant Capacity
2.9. Statistical and Correlation Analysis
3. Results
3.1. Microbial Growth and Kinetic Parameters
3.2. Titratable Acidity and pH Changes
3.3. Changes in Total Phenolic Content
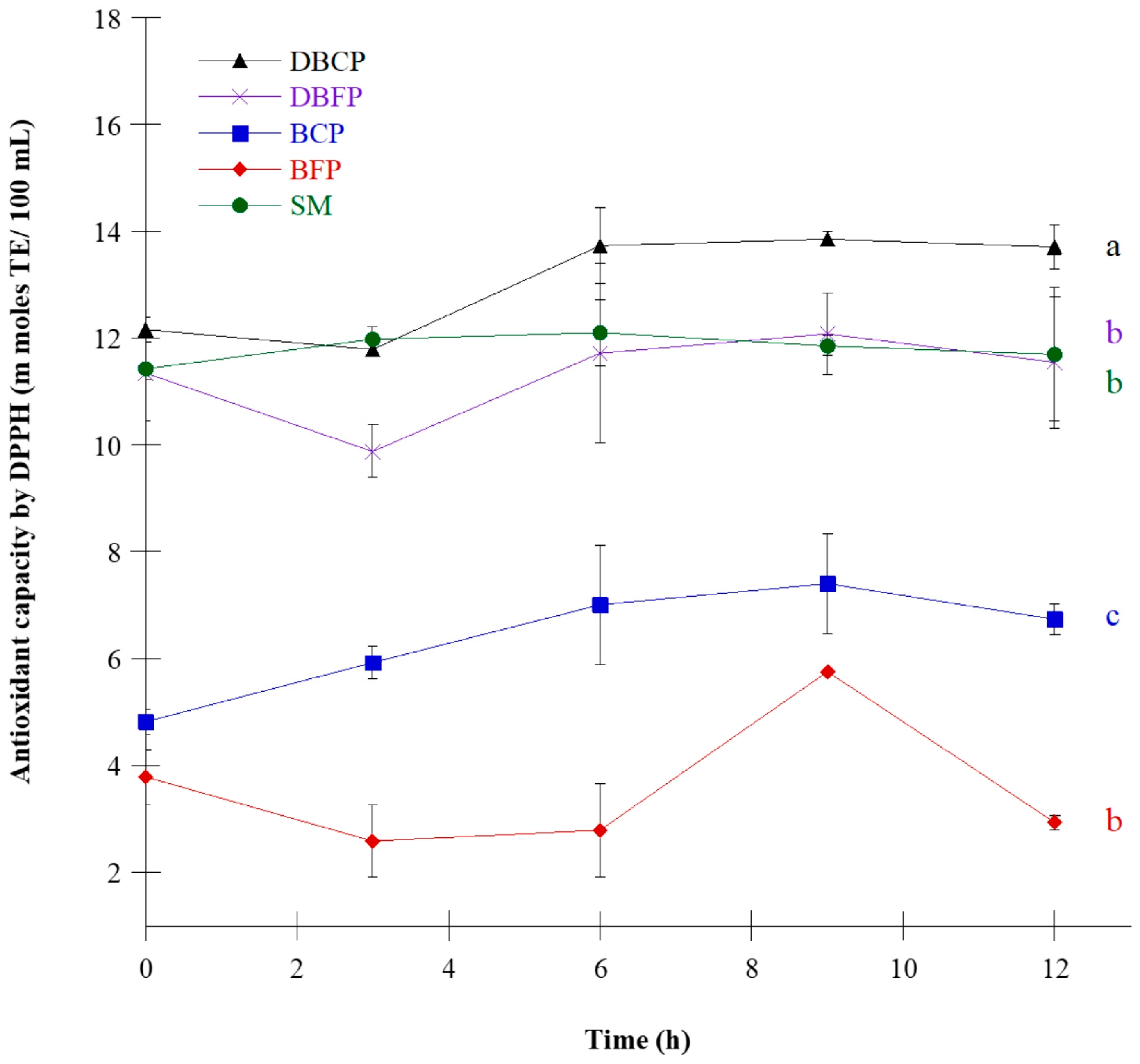
3.4. Changes in Antioxidant Capacity
3.5. Correlation between Microbial Load and Antioxidant Properties
4. Conclusions
Author Contributions
Funding
Institutional Review Board Statement
Informed Consent Statement
Data Availability Statement
Acknowledgments
Conflicts of Interest
References
- Pathak, P.D.; Mandavgane, S.A.; Kulkarni, B.D. Waste to wealth: A case study of papaya peel. Waste Biomass Valor. 2019, 10, 1755–1766. [Google Scholar] [CrossRef]
- Vázquez-Mata, N.; Acosta-Camacho, P.; Camacho-Parra, E.; Rocha-Mendoza, D.; Cano, I.G. Aprovechamiento de Subproductos y Residuos Generados en la Central de Abastos de la Ciudad de México. Biotecnol. Sustentabilidad 2022, 7, 119–140. [Google Scholar]
- SADER. México, Principal Exportador de Papaya en el Mundo; Crece Producción 3.2 por Ciento en 2020. Available online: https://www.gob.mx/agricultura/prensa/mexico-principal-exportador-de-papaya-en-el-mundo-crece-produccion-3-2-por-ciento-en-2020?idiom=es#:~:text=calcio%20y%20hierro.-,La%20producci%C3%B3n%20de%20papaya%20en%20M%C3%A9xico%20creci%C3%B3%203.2%20por%20ciento,de%20Agricultura%20y%20Desarrollo%20Rural (accessed on 9 April 2024).
- SENASICA. Recognition of the Productive, Economic and Historical-Cultural Value of Mexican Papaya. Available online: https://www.gob.mx/senasica/documentos/recognition-of-the-productive-economic-and-historical-cultural-value-of-mexican-papaya (accessed on 23 September 2024).
- Ovando-Martinez, M.; López-Teros, M.; Tortoledo-Ortiz, O.; Astiazarán-García, H.; Ayala-Zavala, J.; Villegas-Ochoa, M.; González-Aguilar, G. Effect of ripening on physico-chemical properties and bioactive compounds in papaya pulp, skin and seeds. Indian J. Nat. Prod. Resour. 2018, 9, 47–59. [Google Scholar]
- Romo-Zamarrón, K.F.; Pérez-Cabrera, L.E.; Tecante, A. Physicochemical and sensory properties of gummy candies enriched with pineapple and papaya peel powders. Food Nutr. Sci. 2019, 10, 1300–1312. [Google Scholar] [CrossRef]
- SAGARPA. Planeación Agrícola Nacional 2017–2030: Papaya Mexicana. Ciudad de México, MEX. Agricultura: Secretaria de Agricultura y Desarrollo Rural. Available online: https://www.gob.mx/cms/uploads/attachment/file/257083/Potencial-Papaya.pdf (accessed on 9 April 2024).
- Leitão, M.; Ribeiro, T.; García, P.A.; Barreiros, L.; Correia, P. Benefits of Fermented Papaya in Human Health. Foods 2022, 11, 563. [Google Scholar] [CrossRef]
- Barón-Arroyo, A.; Morales-Pablo, R.; Aguilar-Gutiérrez, G.; Ramírez Martínez, A. Estimación de las pérdidas de papaya y los factores que las causan en la zona Norte del estado de Veracruz. Investig. Desarro. Cienc. Tecnol. Aliment. 2022, 7, 261–266. [Google Scholar]
- Ayala-Zavala, J.; Castillo-Romero, T.d.J.; Salgado-Cervantes, M.; Marín-Castro, U.; Vargas-Ortiz, M.; Pallet, D.; Servent, A. Flash Vacuum Expansion: Effect on physicochemical, biochemical and sensory parameters in fruit processing. Food Rev. Int. 2023, 40, 833–866. [Google Scholar] [CrossRef]
- Vargas-Ortiz, M.; Servent, A.; Rodríguez-Jimenes, G.; Pallet, D.; Salgado-Cervantes, M. Effect of thermal stage in the processing avocado by flash vacuum expansion: Effect on the antioxidant capacity and the qualitaty of the mash. J. Food Process. Preserv. 2017, 41, e13118. [Google Scholar] [CrossRef]
- Salgado-Cervantes, M.; Servent, A.; Maraval, I.; Vargas-Ortiz, M.; Pallet, D. Flash vacuum-expansion process: Effect on the sensory, color and texture attributes of avocado (Persea americana) Puree. Plant Food Hum. Nutr. 2019, 74, 370–375. [Google Scholar]
- Marin-Castro, U.R.; Garcia-Alvarado, M.; Vargas-Ortiz, M.; Pallet, D.; Salgado-Cervantes, M.; Servent, A. Sensory and nutritional qualities of ‘Manila’ mango ready-to-eat puree enhanced using mild flash vacuum expansion processing. Fruits 2021, 76, 248–257. [Google Scholar] [CrossRef]
- Goulding, D.A.; Fox, P.F.; O’Mahony, J.A. Milk proteins: An overview. In Milk Proteins; Boland, M., Singh, H., Eds.; Academic Press: Oxford, UK, 2020; pp. 21–98. [Google Scholar]
- Stobiecka, M.; Król, J.; Brodziak, A. Antioxidant activity of milk and dairy products. Animals 2022, 12, 245. [Google Scholar] [CrossRef] [PubMed]
- Ruiz Rodríguez, L.G.; Mendoza, L.M.; Van Nieuwenhove, C.P.; Pescuma, M.; Mozzi, F.B. Fermentación de jugos y bebidas a base de frutas. In Alimentos Fermentados: Microbiología, Nutrición, Salud y Cultura; Ferrari, A., Vinderola, G., Weill, R., Eds.; Instituto Danonde: Buenos Aires, Argentina, 2020; pp. 273–296. [Google Scholar]
- Swain, M.R.; Anandharaj, M.; Ray, R.C.; Parveen Rani, R. Fermented fruits and vegetables of Asia: A potential source of probiotics. Biotechnol. Res. Int. 2014, 2014, 250424. [Google Scholar] [CrossRef] [PubMed]
- Mennu, M.; Kaur, S.; Kaur, M.; Mradula, M.; Khandare, K.; Xu, B.; Pati, P.K. The golden era of fruit juices-based probiotic beverages: Recent advancements and future possibilities. Process Biochem. 2024, 142, 113–135. [Google Scholar] [CrossRef]
- Santamaría-Basulto, F.; Díaz-Plaza, R.; Sauir-Duch, E.; Espadas y Gil, F.; Santamaría-Fernández, J.M.; Larqué-Saavedra, A. Característica de calidad de frutos de papaya Maradol en la madurez de consumo. Agric. Téc. Méx. 2009, 35, 347–353. [Google Scholar]
- Diario Oficial de la Federación (DOF). Norma Oficial Méxicana NOM-110-SSA1-1994. Goods and Services. Preparation and Dilution of Food Samples for Microbiological Analysis. Secretaria de Economía. Available online: https://dof.gob.mx/nota_detalle.php?codigo=4883170&fecha=16/10/1995#gsc.tab=0 (accessed on 2 April 2024).
- Heredia-Castro, P.Y.; Méndez-Romero, J.I.; Hernández-Méndoza, A.; Acedo-Felix, E.; González-Córdova, A.F.; Vallejo-Cordoba, B. Antimicrobial activity and partial characterization of bacteriocin-like inhibitory substances produced by Lactobacillus spp. isolated from artisanal Mexican cheese. J. Dairy Sci. 2015, 98, 8285–8293. [Google Scholar] [CrossRef]
- Diario Oficial de la Federación (DOF). NMX-F-102-NORMEX-2010. Alimentos—Determinación de Acidez Titulable en Alimentos—Métodos de Ensayo (Prueba). Secretaria de Economía. 2010. Available online: https://www.dof.gob.mx/nota_detalle.php?codigo=5150634&fecha=05/07/2010#gsc.tab=0 (accessed on 24 May 2024).
- Association of Oficial Analytica Chemists International (AOAC). Official Methods of Analysis of AOAC INTERNATIONAL, 18th ed.; AOAC International: Gaithersburg, MA, USA, 2005. [Google Scholar]
- Chen, R.; Chen, W.; Chen, H.; Zhang, G.; Chen, W. Comparative Evaluation of the Antioxidant Capacities, Organic Acids, and Volatiles of Papaya Juices Fermented by Lactobacillus acidophilus and Lactobacillus plantarum. J. Food Qual. 2018, 2018, 9490435. [Google Scholar] [CrossRef]
- Valero, Y.; Colima, J.; Ineichen, E. Effect of processing on the antioxidant capacity of creole plum (Prunus domestica). Arch. Latinoam. Nutr. 2012, 62, 363–369. [Google Scholar]
- Cuevas-González, P.F.; Aguilar-Toalá, J.E.; García, H.S.; González-Córdova, A.F.; Vallejo-Cordoba, B.; Hernández-Mendoza, A. Protective Effect of the Intracellular Content from Potential Probiotic Bacteria against Oxidative Damage Induced by Acryla-mide in Human Erythrocytes. Probiotics Antimicrob. Prot. 2020, 12, 1459–1470. [Google Scholar] [CrossRef]
- Haron, E.; Ayad, E.H.; Bakrey, A.; Darwesh, M.S. Biochemical Properties of Bio-Fermented Strawberry Milk Beverage Supplemented with Probiotic Bacteria. J. Adv. Agric. Res. 2019, 24, 518–533. [Google Scholar] [CrossRef]
- Dianasari, U.; Malaka, R.; Maruddin, F. Physicochemical quality of fermented milk with additional red dragon fruit (Hylocereus polyrhizus) skin. IOP Conf. Ser. Earth. Environ. 2020, 492, 012050. [Google Scholar] [CrossRef]
- Colombo-Pimentel, T.; Karoline-Almeida da Costa, W.; Eduardo-Barão, C.; Rosset, M.; Magnani, M. Vegan probiotic products: A modern tendency or the newest challenge in functional foods. Food Res. Int. 2021, 140, 110033. [Google Scholar] [CrossRef] [PubMed]
- Shah, N.P. Functional cultures and health benefits. Int. Dairy J. 2007, 17, 1262–1277. [Google Scholar] [CrossRef]
- Murti, T.W. Fermentation of Bovine, Non-Bovine and Vegetable Milk. In Fermentation—Processes, Benefits and Risks; Laranjo, M., Ed.; IntechOpen: London, UK, 2020; pp. 83–97. [Google Scholar]
- Almada-Corral, A.; Santiago-López, L.; Vallejo-Cordoba, B.; González-Córdova, A.F.; Hernández-Mendoza, A. Development of a Functional Fermented Milk by using Single or Multistrain Potential Probiotic Cultures. ACS Food Sci. Technol. 2023, 3, 23–30. [Google Scholar] [CrossRef]
- Doco, T.; Williamns, P.; Cheynier, V. Effect of Flash Release and Pectinolytic Enzyme Treatments on Wine Polysaccharide Composition. J. Agric. Food Chem. 2007, 55, 6643–6649. [Google Scholar] [CrossRef] [PubMed]
- Ntuli, R.G.; Ponangi, R.; Jeffery, D.W.; Wilkinson, K.L. Color Extraction and Stability of Rubired Juice Concentrate Produced via Conventional Must Heating or Flash Détente Processing. ACS Food Sci. Technol. 2021, 1, 829–838. [Google Scholar] [CrossRef]
- Dhingra, D.; Michael, M.; Rajput, H.; Patil, R.T. Dietary fibre in foods: A review. J. Food Sci. Technol. 2012, 49, 255–266. [Google Scholar] [CrossRef]
- Benítez, V.; Mollá, E.; Martín-Cabrejas, M.A.; Aguilera, Y.; López-Andréu, F.J.; Esteban, R.M. Effect of sterilisation on dietary fibre and physicochemical properties of onion by-products. Food Chem. 2011, 127, 501–507. [Google Scholar] [CrossRef] [PubMed]
- García-Ruiz, A.; Moreno-Arribas, M.V.; Martín-Álvarez, P.J.; Bartolomé, B. Comparative study of the inhibitory effects of wine polyphenols on the growth of enological lactic acid bacteria. Int. J. Food Microbiol. 2011, 145, 426–431. [Google Scholar] [CrossRef]
- Mantzourani, I.; Kazakos, S.; Terpou, A.; Alexopoulos, A.; Bezirtzoglou, E.; Bekatorou, A.; Plessas, S. Potential of the probiotic Lactobacillus plantarum ATCC 14917 strain to produce functional fermented pomegranate juice. Foods 2018, 8, 4. [Google Scholar] [CrossRef]
- Carrasco, J.A.; Lucena-Padrós, H.; Brenes, M.; Ruiz-Barba, J.L. Expression of genes involved in metabolism of phenolic compounds by Lactobacillus pentosus and its relevance for table-olive fermentations. Food Microbiol. 2018, 76, 382–389. [Google Scholar] [CrossRef]
- Diario Oficial de la Federación (DOF). NOM-F-420-S-1982. Productos Alimenticios para su Uso Humano—Determinación de Acidez en Leche Fluida. Secretaria de Economía. 1982. Available online: https://dof.gob.mx/nota_detalle.php?codigo=4761014&fecha=02/09/1982#gsc.tab=0 (accessed on 30 May 2024).
- Zhao, Y.; Yu, L.; Tian, F.; Zhao, J.; Zhang, H.; Chen, W.; Zhai, Q. Environment-Related Genes Analysis of Limosilactobacillus fermentum Isolated from Food and Human Gut: Genetic Diversity and Adaption Evolution. Foods 2022, 11, 3135. [Google Scholar] [CrossRef] [PubMed]
- Ayseli, M.T.; İpek-Ayseli, Y. Flavors of the future: Health benefits of flavor precursors and volatile compounds in plant foods. Trends Food Sci. 2016, 48, 69–77. [Google Scholar] [CrossRef]
- Bourdichon, F.; Casaregola, S.; Farrokh, C.; Frisvad, J.C.; Gerds, M.L.; Hammes, W.P.; Harnett, J.; Huys, G.; Laulund, S.; Ouwehand, A. Food fermentations: Microorganisms with technological beneficial use. Int. J. Food Microbiol. 2012, 154, 87–97. [Google Scholar] [CrossRef] [PubMed]
- Pot, B.; Felis, G.; De Bruyne, K.; Tsakalidou, E.; Papadimitriou, K.; Leisner, J.; Vandamme, P. The genus Lactobacillus. In Lactic Acid Bacteria: Biodiversity and Taxonomy; Holzapfel, W.H., Wood, B.J.B., Eds.; John Wiley & Sons, Inc.: West Sussex, UK, 2014; pp. 249–353. [Google Scholar]
- Martínez, F.G.; Cuencas Barrientos, M.E.; Mozzi, F.; Pescuma, M. Survival of selenium-enriched lactic acid bacteria in a fermented drink under storage and simulated gastro-intestinal digestion. Food Res. Int. 2019, 123, 115–124. [Google Scholar] [CrossRef] [PubMed]
- De la Rosa, L.A.; Moreno-Escamilla, J.O.; Rodrigo-García, J.; Álvarez-Parrilla, E. Phenolic Compounds. In Postharvest Physiology and Biochemistry of Fruits and Vegetables; Yahia, E.M., Ed.; Woodhead Publishing: Duxford, UK, 2019; pp. 253–271. [Google Scholar]
- Patras, A.; Brunton, N.P.; O´Donnell, C.; Tiwari, B.K. Effect of thermal processing on anthocyanin stability in foods; Mechanisms and kinetics of degradation. Trends Food Sci. 2010, 21, 3–11. [Google Scholar] [CrossRef]
- Wang, L.; Zhang, H.; Lei, H. Phenolics profile, antioxidant activity and flavor volatiles of pear juice: Influence of lactic acid fermentation using three Lactobacillus strains in monoculture and binary mixture. Foods 2021, 11, 11. [Google Scholar] [CrossRef]
- Ricci, A.; Cirlini, M.; Levante, A.; Dall´Asta, C.; Galaverna, G.; Lazzi, C. Volatile profile of elderberry juice: Effect of lactic acid fermentation using L. plantarum, L. rhamnosus and L. casei strains. Food Res. Int. 2018, 105, 412–422. [Google Scholar] [CrossRef]
- Kaprasob, R.; Kerdchoechuen, O.; Laohakunjit, N.; Sarkar, D.; Shetty, K. Fermentation-based biotransformation of bioactive phenolics and volatile compounds from cashew apple juice by select lactic acid bacteria. Process Biochem. 2017, 59, 141–149. [Google Scholar] [CrossRef]
- Sañudo-Barajas, J.A.; Labavitch, J.; Greve, C.; Osuna-Enciso, T.; Muy-Rangel, D.; Siller-Cepeda, J. Cell wall disassembly during papaya softening: Role of ethylene in changes in composition, pectin-derived oligomers (PDOs) production and wall hydrolases. Postharvest Biol. Technol. 2009, 51, 158–167. [Google Scholar] [CrossRef]
- Zhou, Y.; Wang, R.; Zhang, Y.; Yang, Y.; Sun, X.; Zhang, Q.; Yang, N. Biotransformation of phenolics and metabolites and the change in antioxidant activity in kiwifruit induced by Lactobacillus plantarum fermentation. J. Sci. Food Agric. 2020, 100, 3283–3290. [Google Scholar] [CrossRef]
- Filannino, P.; Di Cagno, R.; Gobbetti, M. Metabolic and functional paths of lactic acid bacteria in plant foods: Get out of the labyrinth. Curr. Opin. Biotechnol. 2018, 49, 64–72. [Google Scholar] [CrossRef] [PubMed]
- Leonard, W.; Zhang, P.; Ying, D.; Adhikari, B.; Fang, Z. Fermentation transforms the phenolic profiles and bioactivities of plant-based foods. Biotechnol. Adv. 2021, 49, 107763. [Google Scholar] [CrossRef] [PubMed]
- Rogozinska, M.; Lisiecki, K.; Czarnocki, Z.; Biesaga, M. Antioxidant Activity of Sulfate Metabolites of Chlorogenic Acid. Appl. Sci. 2023, 13, 2192. [Google Scholar] [CrossRef]
- Filannino, P.; Bai, Y.; Di Cagno, R.; Gobbetti, M.; Gänzle, M.G. Metabolism of phenolic compounds by Lactobacillus spp. during fermentation of cherry juice and broccoli puree. Food Microbiol. 2015, 46, 272–279. [Google Scholar] [CrossRef] [PubMed]
- Hur, S.J.; Lee, S.Y.; Kim, Y.C.; Choi, I.; Kim, G.B. Effect of fermentation on the antioxidant activity in plant-based foods. Food Chem. 2014, 160, 346–356. [Google Scholar] [CrossRef]
- Borkowski, T.; Szymusiak, H.; Gliszczyńska-Świgło, A.; Rietjens, I.M.; Tyrakowska, B. Radical scavenging capacity of wine anthocyanins is strongly pH-dependent. J. Agric. Food Chem. 2005, 53, 5526–5534. [Google Scholar] [CrossRef]
- Di-Cagno, R.; Minervini, G.; Rizzello, C.G.; De Angelis, M.; Gobbetti, M. Effect of lactic acid fermentation on antioxidant, texture, color and sensory properties of red and green smoothies. Food Microbiol. 2011, 28, 1062–1071. [Google Scholar] [CrossRef]
- Mashitoa, F.M.; Akinola, S.A.; Manhevi, V.E.; Garcia, C.; Remize, F.; Slabbert, R.M.; Sivakumar, D. Influence of Fermentation of Pasteurised Papaya Puree with Different Lactic Acid Bacterial Strains on Quality and bioaccessibility of phenolic compounds during in vitro digestion. Foods 2021, 10, 962. [Google Scholar] [CrossRef]
- Rumpf, J.; Burger, R.; Schulze, M. Statistical evaluation of DPPH, ABTS, FRAP, and Folin-Ciocalteu assays to assess the antioxidant capacity of lignins. Int. J. Biol. Macromol. 2023, 233, 123470. [Google Scholar] [CrossRef]
- Corral-Aguayo, R.D.; Yahia, E.M.; Carrillo-Lopez, A.; Gonzalez-Aguilar, G. Correlation between some nutritional components and the total antioxidant capacity measured with six different assays in eight horticultural crops. J. Agric. Food Chem. 2008, 56, 10498–10504. [Google Scholar] [CrossRef]
- Gayosso-García Sancho, L.E.; Yahia, E.M.; González-Aguilar, G.A. Contribution of major hydrophilic and lipophilic antioxidants from papaya fruit to total antioxidant capacity. Food Nutr. Sci. 2013, 4, 93–100. [Google Scholar]
- Platzer, M.; Kiese, S.; Herfellner, T.; Schweiggert-Weisz, U.; Miesbauer, O.; Eisner, P. Common trends and differences in antioxidant activity analysis of phenolic substances using single electron transfer based assays. Molecules 2021, 26, 1244. [Google Scholar] [CrossRef] [PubMed]
- Heo, H.J.; Kim, Y.J.; Chung, D.; Kim, D.O. Antioxidant capacities of individual and combined phenolics in a model system. Food Chem. 2007, 104, 87–92. [Google Scholar] [CrossRef]
- Mauro, C.S.I.; Guergoletto, K.B.; Garcia, S. Development of blueberry and carrot juice blend fermented by Lactobacillus reuteri LR92. Beverages 2016, 2, 37. [Google Scholar] [CrossRef]
- Pontonio, E.; Montemurro, M.; Pinto, D.; Trani, A.; Mazzeo, A.; Gobbetti, M.; Rizzello, C.G. Lactic acid fermentation of pomegranate juice as a tool to improve antioxidant activity. Front. Microbiol. 2019, 10, 460471. [Google Scholar] [CrossRef]
- González-Alonso, V.; Pradal, I.; Wardhana, Y.R.; Cnockaert, M.; Wieme, A.D.; Vandamme, P.; De Vuyst, L. Microbial ecology and metabolite dynamics of backslopped triticale sourdough productions and the impact of scale. Int. J. Food Microbiol. 2024, 408, 110445. [Google Scholar] [CrossRef]
- Panda, S.H.; Parmanick, M.; Ray, R.C. Lactic acid fermentation of sweet potato (Ipomoea batatas L.) into pickles. J. Food Process. Preserv. 2007, 31, 83–101. [Google Scholar] [CrossRef]
- Coulibaly, W.H.; Camara, F.; Tohoyessou, M.G.; Konan, P.A.K.; Coulibaly, K.; Yapo, E.G.A.S.; Wiafe, M.A. Nutritional profile and functional properties of coconut water marketed in the streets of Abidjan (Côte d’Ivoire). Sci. Afr. 2023, 20, e01616. [Google Scholar] [CrossRef]
- Gayosso-García, S.L.E.; Yahia, E.M.; González-Aguilar, G.A. Identification and quantification of phenols, carotenoids, and vitamin C from papaya (Carica papaya L., cv. Maradol) fruit determined by HPLC-DAD-MS/MS-ESI. Food Res. Int. 2011, 44, 1284–1291. [Google Scholar] [CrossRef]
- Panda, S.K.; Behera, S.K.; Witness, Q.X.; Sekar, S.; Ndinteh, D.T.; Nanjundaswamy, H.M.; Ray, R.C.; Kayitesi, E. Quality enhancement of prickly pears (Opuntia sp.) juice through probiotic fermentation using Lactobacillus fermentum—ATCC 9338. LWT Food Sci. Technol. 2017, 75, 453–459. [Google Scholar] [CrossRef]
- Martínez-Flores, H.E.; Garnica-Romo, M.G.; Bermúdez-Aguirre, D.; Pokhrel, P.R.; Barbosa-Cánovas, G.V. Physico-chemical parameters, bioactive compounds and microbial quality of thermo-sonicated carrot juice during storage. Food Chem. 2015, 172, 650–656. [Google Scholar] [CrossRef] [PubMed]
- Xylia, P.; Botsaris, G.; Chrysargyris, A.; Skandamis, P.; Tzortzakis, N. Variation of microbial load and biochemical activity of ready-to-eat salads in Cyprus as affected by vegetable type, season, and producer. Food microbiol. 2019, 83, 200–210. [Google Scholar] [CrossRef] [PubMed]
- Wang, Y.; Wu, J.; Lv, M.; Shao, Z.; Hungwe, M.; Wang, J.; Bai, X.; Xie, J.; Wang, Y.; Geng, W. Metabolism characteristics of lactic acid bacteria and the expanding applications in food industry. Front. Bioeng. Biotechnol. 2021, 9, 612285. [Google Scholar] [CrossRef] [PubMed]











| Treatments | µmax (h−1) | λ (h) | G (h) |
|---|---|---|---|
| DBCP | 1.15 ± 0.36 a | 3.49 ± 0.74 c | 0.64 ± 0.17 b |
| DBFP | 0.45 ± 0.09 bc | 4.01 ± 0.42 bc | 1.59 ± 0.36 b |
| BCP | 0.64 ± 0.11 b | 4.79 ± 0.37 b | 1.10 ± 0.37 b |
| BFP | 0.45 ± 0.05 bc | 4.23 ± 0.05 bc | 1.56 ± 0.20 b |
| SM | 0.11 ± 0.03 c | 6.26 ± 1.58 a | 6.38 ± 1.58 a |
Disclaimer/Publisher’s Note: The statements, opinions and data contained in all publications are solely those of the individual author(s) and contributor(s) and not of MDPI and/or the editor(s). MDPI and/or the editor(s) disclaim responsibility for any injury to people or property resulting from any ideas, methods, instructions or products referred to in the content. |
© 2024 by the authors. Licensee MDPI, Basel, Switzerland. This article is an open access article distributed under the terms and conditions of the Creative Commons Attribution (CC BY) license (https://creativecommons.org/licenses/by/4.0/).
Share and Cite
Ayala Zavala, J.; Castillo Romero, T.d.J.; Méndez Romero, J.I.; Santiago López, L.; González Córdova, A.F.; Hernández Mendoza, A.; Vallejo Cordoba, B.; Vargas Ortiz, M. Flash Vacuum Expansion of Maradol Papaya (Carica papaya L.) for Producing an Antioxidant-Potential Dairy Beverage Fermented by Limosilactobacillus fermentum J24. Beverages 2024, 10, 96. https://doi.org/10.3390/beverages10040096
Ayala Zavala J, Castillo Romero TdJ, Méndez Romero JI, Santiago López L, González Córdova AF, Hernández Mendoza A, Vallejo Cordoba B, Vargas Ortiz M. Flash Vacuum Expansion of Maradol Papaya (Carica papaya L.) for Producing an Antioxidant-Potential Dairy Beverage Fermented by Limosilactobacillus fermentum J24. Beverages. 2024; 10(4):96. https://doi.org/10.3390/beverages10040096
Chicago/Turabian StyleAyala Zavala, Jesús, Teresita de Jesús Castillo Romero, José Isidro Méndez Romero, Lourdes Santiago López, Aarón Fernando González Córdova, Adrián Hernández Mendoza, Belinda Vallejo Cordoba, and Manuel Vargas Ortiz. 2024. "Flash Vacuum Expansion of Maradol Papaya (Carica papaya L.) for Producing an Antioxidant-Potential Dairy Beverage Fermented by Limosilactobacillus fermentum J24" Beverages 10, no. 4: 96. https://doi.org/10.3390/beverages10040096
APA StyleAyala Zavala, J., Castillo Romero, T. d. J., Méndez Romero, J. I., Santiago López, L., González Córdova, A. F., Hernández Mendoza, A., Vallejo Cordoba, B., & Vargas Ortiz, M. (2024). Flash Vacuum Expansion of Maradol Papaya (Carica papaya L.) for Producing an Antioxidant-Potential Dairy Beverage Fermented by Limosilactobacillus fermentum J24. Beverages, 10(4), 96. https://doi.org/10.3390/beverages10040096

