Impact of Operational Factors, Inoculum Origin, and Feedstock Preservation on the Biochemical Methane Potential
Abstract
:1. Introduction
2. Materials and Methods
2.1. Inoculum and Substrate
2.2. Biochemical Methane Potential Protocol
2.3. Details of the Operational Modification of the BMP Protocol
2.4. Modeling and Statistical Analysis
2.5. Analyses
3. Results and Discussion
3.1. Influence of the Operational Factors on BMP Results
3.2. Influence of the Source of Inoculum on Methane Production
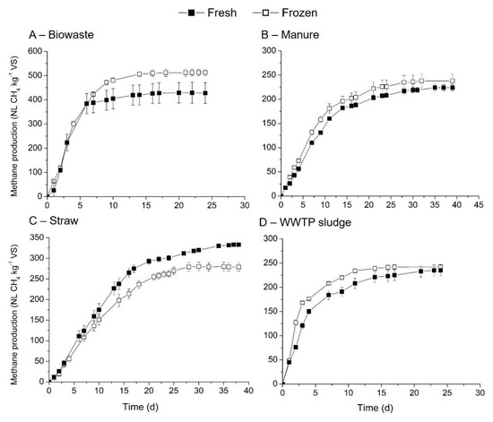
3.3. Influence of Freezing for Feedstock Conservation
4. Conclusions
Supplementary Materials
Author Contributions
Funding
Institutional Review Board Statement
Informed Consent Statement
Data Availability Statement
Acknowledgments
Conflicts of Interest
Abbreviations
| BMP | Biochemical Methane Potential |
| ISR | Inoculum Substrate Ratio |
| TS | Total Solid |
| VS | Volatile Solid |
| WWTP | Wastewater Treatment Plant |
References
- Holliger, C.; de Fruteau Laclos, H.; Hack, G. Methane production of full-scale anaerobic digestion plants calculated from substrate’s biomethane potentials compares well with the one measured on-site. Front. Energy Res. 2017, 5, 12. [Google Scholar] [CrossRef] [Green Version]
- Koch, K.; Hefner, S.D.; Weinrich, S.; Astals, S.; Holliger, C. Power and Limitations of Biochemical Methane Potential (BMP) Tests. Front. Energy Res. 2020, 8, 63. [Google Scholar]
- Ribeiro, T.; Cresson, R.; Pommier, S.; Preys, S.; André, L.; Béline, F.; Bouchez, T.; Bougrier, C.; Buffière, P.; Cacho, J. Measurement of Biochemical Methane Potential of Heterogeneous Solid Substrates: Results of a Two-Phase French Inter-Laboratory Study. Water 2020, 12, 2814. [Google Scholar] [CrossRef]
- Hafner, S.D.; de Fruteau Laclos, H.; Koch, K.; Holliger, C. Improving inter-laboratory reproducibility in measurement of biochemical methane potential (BMP). Water 2020, 12, 1752. [Google Scholar] [CrossRef]
- Holliger, C.; Alves, M.; Andrade, D.; Angelidaki, I.; Astals, S.; Baier, U.; Bougrier, C.; Buffière, P.; Carballa, M.; De Wilde, V. Towards a standardization of biomethane potential tests. Water Sci. Technol. 2016, 74, 2515–2522. [Google Scholar] [CrossRef] [PubMed]
- VDI 4630 Standards. Fermentation of Organic Materials–Characterisation of the Substrate, Sampling, Collection of Material Data, Fermentation Tests. Available online: https://standards.globalspec.com/std/10052171/VDI%204630 (accessed on 1 November 2016).
- Heerenklage, J.; Rechtenbach, D.; Atamaniuk, I.; Alassali, A.; Raga, R.; Koch, K.; Kuchta, K. Development of a method to produce standardised and storable inocula for biomethane potential tests—Preliminary steps. Renew. Energy 2019, 143, 753–761. [Google Scholar] [CrossRef]
- Angelidaki, I.; Alves, M.; Bolzonella, D.; Borzacconi, L.; Campos, J.L.; Guwy, A.J.; Kalyuzhnyi, S.; Jenicek, P.; van Lier, J.B. Defining the biomethane potential (BMP) of solid organic wastes and energy crops: A proposed protocol for batch assays. Water Sci. Technol. 2009, 59, 927–934. [Google Scholar] [CrossRef] [PubMed] [Green Version]
- Filer, J.; Ding, H.H.; Chang, S. Biochemical methane potential (BMP) assay method for anaerobic digestion research. Water 2019, 11, 921. [Google Scholar] [CrossRef] [Green Version]
- Li, C.; Nges, I.A.; Lu, W.; Wang, H. Assessment of the degradation efficiency of full-scale biogas plants: A comparative study of degradation indicators. Bioresour. Technol. 2017, 244, 304–312. [Google Scholar] [CrossRef]
- Hansen, T.L.; Schmidt, J.E.; Angelidaki, I.; Marca, E.; la Cour Jansen, J.; Mosbæk, H.; Christensen, T.H. Method for determination of methane potentials of solid organic waste. Waste Manag. 2004, 24, 393–400. [Google Scholar] [CrossRef] [PubMed]
- Hack, G.; de Fruteau Laclos, H.; Holliger, C. Détermination de la Production de Méthane D’installations de Digestion Industrielles à Partir de Tests BMP en Laboratoire; Office Fédérale de l’Energie: Ittigen, Switzerland, 2015; pp. 1–76. [Google Scholar]
- Koch, K.; Fernández, Y.B.; Drewes, J.E. Influence of headspace flushing on methane production in Biochemical Methane Potential (BMP) tests. Bioresour. Technol. 2015, 186, 173–178. [Google Scholar]
- Koch, K.; Huber, B.; Fernández, Y.B.; Drewes, J.E. Methane from CO2: Influence of different CO2 concentrations in the flush gas on the methane production in BMP tests. Waste Manag. 2016, 49, 36–39. [Google Scholar] [CrossRef]
- Raposo, F.; Fernández-Cegrí, V.; de la Rubia, M.A.; Borja, R.; Béline, F.; Cavinato, C.; Demirer, G.; Fernández, B.; Fernández-Polanco, M.; Frigon, J.C. Biochemical methane potential (BMP) of solid organic substrates: Evaluation of anaerobic biodegradability using data from an international interlaboratory study. J. Chem. Technol. Biotechnol. 2011, 86, 1088–1098. [Google Scholar] [CrossRef]
- Valero, D.; Montes, J.A.; Rico, J.L.; Rico, C. Influence of headspace pressure on methane production in Biochemical Methane Potential (BMP) tests. Waste Manag. 2016, 48, 193–198. [Google Scholar] [PubMed] [Green Version]
- Hafner, S.D.; Astals, S. Systematic error in manometric measurement of biochemical methane potential: Sources and solutions. Waste Manag. 2019, 91, 147–155. [Google Scholar] [CrossRef] [PubMed]
- Steinmetz, R.L.R.; Mezzari, M.P.; da Silva, M.L.B.; Kunz, A.; do Amaral, A.C.; Tápparo, D.C.; Soares, H.M. Enrichment and acclimation of an anaerobic mesophilic microorganism’s inoculum for standardization of BMP assays. Bioresour. Technol. 2016, 219, 21–28. [Google Scholar]
- de Vrieze, J.; Raport, L.; Willems, B.; Verbrugge, S.; Volcke, E.; Meers, E.; Angenent, L.T.; Boon, N. Inoculum selection influences the biochemical methane potential of agro-industrial substrates. Microb. Biotechnol. 2015, 8, 776–786. [Google Scholar] [CrossRef]
- Hülsemann, B.; Zhou, L.; Merkle, W.; Hassa, J.; Müller, J.; Oechsner, H. Biomethane Potential Test: Influence of Inoculum and the Digestion System. Appl. Sci. 2020, 10, 2589. [Google Scholar] [CrossRef] [Green Version]
- Moset, V.; Poulsen, M.; Wahid, R.; Højberg, O.; Møller, H.B. Mesophilic versus thermophilic anaerobic digestion of cattle manure: Methane productivity and microbial ecology. Microb. Biotechnol. 2015, 8, 787–800. [Google Scholar] [CrossRef] [PubMed]
- Palatsi, J.; Gimenez-Lorang, A.; Ferrer, I.; Flotats, X. Start-up strategies of thermophilic anaerobic digestion of sewage sludge. Water Sci. Technol. 2009, 59, 1777–1784. [Google Scholar] [PubMed]
- Bachmann, N.; Deront, M.; de Fruteau Laclos, H.; Holliger, C.; Membrez, Y.; Wellinger, A. Optimisation des Tests Standardisés de Digestibilité dans des Réacteurs Batch; Office fédéral de l’énergie OFEN: Ittigen, Switzerland, 2011. [Google Scholar]
- Cresson, R.; Pommier, S.; Beline, F.; Bouchez, T.; Buffière, P.; Rivero, J.A.C.; Patricia, C.; Pauss, A.; Pouech, P.; Ribeiro, T. Etude interlaboratoires pour l’harmonisation des protocoles de mesure du potentiel méthanogène des matrices solides hétérogènes. In Proceedings of the Journées Recherche Industrie Biogaz et Méthanisation, Rennes, France, 3–5 February 2015. [Google Scholar]
- Moset, V.; Al-zohairi, N.; Møller, H.B. The impact of inoculum source, inoculum to substrate ratio and sample preservation on methane potential from different substrates. Biomass Bioenergy 2015, 83, 474–482. [Google Scholar] [CrossRef]
- Stabnikova, O.; Liu, X.Y.; Wang, J.Y. Digestion of frozen/thawed food waste in the hybrid anaerobic solid–liquid system. Waste Manag. 2008, 28, 1654–1659. [Google Scholar] [CrossRef]
- Kohn, R.A.; Allen, M.S. Storage of fresh and ensiled forages by freezing affects fibre and crude protein fractions. J. Sci. Food Agric. 1992, 58, 215–220. [Google Scholar] [CrossRef]
- Montusiewicz, A.; Lebiocka, M.; Rożej, A.; Zacharska, E.; Pawłowski, L. Freezing/thawing effects on anaerobic digestion of mixed sewage sludge. Bioresour. Technol. 2010, 101, 3466–3473. [Google Scholar] [CrossRef] [PubMed]
- Achinas, S.; Euverink, G.J.W. Theoretical analysis of biogas potential prediction from agricultural waste. Resour.-Effic. Technol. 2016, 2, 143–147. [Google Scholar]
- APHA, A. Standard Methods for the Examination of Water and Wastewater, 21st. ed.; APHA; AWWA; WPCR: New York, NY, USA, 2005. [Google Scholar]
- Anderson, G.K.; Yang, G. Determination of bicarbonate and total volatile acid concentration in anaerobic digesters using a simple titration. Water Environ. Res. 1992, 64, 53–59. [Google Scholar] [CrossRef]
- Amodeo, C.; Hafner, S.D.; Teixeira Franco, R.; Benbelkacem, H.; Moretti, P.; Bayard, R.; Buffière, P. How Different Are Manometric, Gravimetric, and Automated Volumetric BMP Results? Water 2020, 12, 1839. [Google Scholar] [CrossRef]
- Gu, Y.; Chen, X.; Liu, Z.; Zhou, X.; Zhang, Y. Effect of inoculum sources on the anaerobic digestion of rice straw. Bioresour. Technol. 2014, 158, 149–155. [Google Scholar]
- Parra-Orobio, B.A.; Donoso-Bravo, A.; Ruiz-Sánchez, J.C.; Valencia-Molina, K.J.; Torres-Lozada, P. Effect of inoculum on the anaerobic digestion of food waste accounting for the concentration of trace elements. Waste Manag. 2018, 71, 342–349. [Google Scholar]
- Mortreuil, P.; Baggio, S.; Lagnet, C.; Schraauwers, B.; Monlau, F. Fast prediction of organic wastes methane potential by near infrared reflectance spectroscopy: A successful tool for farm-scale biogas plant monitoring. Waste Manag. Res. 2018, 36, 800–809. [Google Scholar] [CrossRef]
- Vedrenne, F.; Béline, F.; Dabert, P.; Bernet, N. The effect of incubation conditions on the laboratory measurement of the methane producing capacity of livestock wastes. Bioresour. Technol. 2008, 99, 146–155. [Google Scholar] [CrossRef]
- Rodrigues, R.P.; Rodrigues, D.P.; Klepacz-Smolka, A.; Martins, R.C.; Quina, M.J. Comparative analysis of methods and models for predicting biochemical methane potential of various organic substrates. Sci. Total Environ. 2019, 649, 1599–1608. [Google Scholar] [PubMed]
- Justesen, C.G.; Astals, S.; Mortensen, J.R.; Thorsen, R.; Koch, K.; Weinrich, S.; Triolo, J.M.; Hafner, S.D. Development and Validation of a Low-Cost Gas Density Method for Measuring Biochemical Methane Potential (BMP). Water 2019, 11, 2431. [Google Scholar] [CrossRef] [Green Version]
- Doublet, J.; Boulanger, A.; Ponthieux, A.; Laroche, C.; Poitrenaud, M.; Rivero, J.C. Predicting the biochemical methane potential of wide range of organic substrates by near infrared spectroscopy. Bioresour. Technol. 2013, 128, 252–258. [Google Scholar] [CrossRef]
- Strömberg, S.; Nistor, M.; Liu, J. Early prediction of Biochemical Methane Potential through statistical and kinetic modelling of initial gas production. Bioresour. Technol. 2015, 176, 233–241. [Google Scholar] [CrossRef]
- Catenacci, A.; Azzellino, A.; Malpei, F. Development of statistical predictive models for estimating the methane yield of Italian municipal sludges from chemical composition: A preliminary study. Water Sci. Technol. 2019, 79, 435–447. [Google Scholar] [CrossRef]
- Sambusiti, C.; Rollini, M.; Ficara, E.; Musatti, A.; Manzoni, M.; Malpei, F. Enzymatic and metabolic activities of four anaerobic sludges and their impact on methane production from ensiled sorghum forage. Bioresour. Technol. 2014, 155, 122–128. [Google Scholar] [CrossRef]
- Allen, E.; Wall, D.M.; Herrmann, C.; Murphy, J.D. A detailed assessment of resource of biomethane from first, second and third generation substrates. Renew. Energy 2016, 87, 656–665. [Google Scholar] [CrossRef]



| Parameters | Units | Inoculum 1 | Inoculum 2 |
|---|---|---|---|
| Temperature | °C | 38 | 38 |
| pH | 7.9 | 7.5 | |
| Redox | mV ENH−1 | −433 | −382 |
| TS | % weight | 3.6 ± 0.01 | 4.4 ± 0.01 |
| VS | % TS | 64.6 ± 0.7 | 71.7 ± 0.1 |
| Alkalinity | g CaCO3 L−1 | 5.7 | 5.3 |
| N-NH4+ | g L−1 | 1.5 | 1.3 |
| VFAs | g L−1 | 0.1 | 2.4 |
| Substrates | TS (% w) | VS (% TS) | C (%) | H (%) | N (%) | S (%) | TMC (NL CH4 kg−1 VS) |
|---|---|---|---|---|---|---|---|
| Biowastes | 11.3 ± 1.3 | 89.9 ± 1.3 | 47.7 | 7.9 | 4.6 | 0.0 | 593 |
| Cellulose | 87.1 ± 0.1 | 100.0 ± 0.1 | 42.6 | 6.1 | 0.0 | 0.0 | 388 |
| Cow manure | 25.5 ± 0.01 | 78.2 ± 0.01 | 41.1 | 5.8 | 2.0 | 0.0 | 536 |
| Straw | 91.0 ± 0.1 | 91.0 ± 0.5 | 43.2 | 6.0 | 0.6 | 0.0 | 467 |
| WWTP sludge | 20.1 ± 0.01 | 78.2 ± 0.01 | 39.9 | 6.2 | 6.9 | 0.0 | 532 |
| Operational Factors | Condition | Methane Production (NL CH4 kg−1 VS) | Kinetic Rate (d−1) |
|---|---|---|---|
| Flushing gas | Pure N2 | 344 ± 6 | 0.324 ± 0.006 |
| N2/CO2 | 321 ± 10 | 0.371 ± 0.012 | |
| Gas analysis | Weekly | 344 ± 6 | 0.352 ± 0.006 |
| Daily | 338 ± 19 | 0.397 ± 0.022 | |
| Vitamin and trace element solution | No addition | 323 ± 3 | 0.370 ± 0.003 |
| With addition | 331 ± 9 | 0.355 ± 0.010 |
| Inoculum 1 | Inoculum 2 | |||
|---|---|---|---|---|
| Substrates | Methane Production (NL CH4 kg−1 VS) | Kinetic Rate (d−1) | Methane Production (NL CH4 kg−1 VS) | Kinetic Rate (d−1) |
| Cellulose | 348 ± 2 | 0.209 ± 0.007 | 340 ± 10 | 0.452 ± 0.016 |
| Cow manure | 238 ± 14 | 0.128 ± 0.001 | 227 ± 8 | 0.106 ± 0.004 |
| Straw | 333 ± 4 | 0.112 ± 0.002 | 253 ± 3 | 0.115 ± 0.001 |
| WWTP sludge | 242 ± 5 | 0.377 ± 0.002 | 243 ± 3 | 0.339 ± 0.007 |
| Fresh | Freezing/Thawing Cycle | |||
|---|---|---|---|---|
| Substrates | Methane Production (NL CH4 kg−1 VS) | Kinetic Rate (d−1) | Methane Production (NL CH4 kg−1 VS) | Kinetic Rate (d−1) |
| Biowastes | 429 ± 42 | 0.311 ± 0.006 | 513 ± 13 | 0.314 ± 0.031 |
| Cow manure | 224 ± 7 | 0.117 ± 0.006 | 238 ± 14 | 0.136 ± 0.006 |
| Straw | 333 ± 4 | 0.102 ± 0.004 | 280 ± 11 | 0.113 ± 0.012 |
| WWTP sludge | 235 ± 11 | 0.203 ± 0.011 | 242 ± 5 | 0.329 ± 0.008 |
Publisher’s Note: MDPI stays neutral with regard to jurisdictional claims in published maps and institutional affiliations. |
© 2021 by the authors. Licensee MDPI, Basel, Switzerland. This article is an open access article distributed under the terms and conditions of the Creative Commons Attribution (CC BY) license (https://creativecommons.org/licenses/by/4.0/).
Share and Cite
Lallement, A.; Siaud, A.; Peyrelasse, C.; Kaparaju, P.; Schraauwers, B.; Maunas, S.; Monlau, F. Impact of Operational Factors, Inoculum Origin, and Feedstock Preservation on the Biochemical Methane Potential. Bioengineering 2021, 8, 176. https://doi.org/10.3390/bioengineering8110176
Lallement A, Siaud A, Peyrelasse C, Kaparaju P, Schraauwers B, Maunas S, Monlau F. Impact of Operational Factors, Inoculum Origin, and Feedstock Preservation on the Biochemical Methane Potential. Bioengineering. 2021; 8(11):176. https://doi.org/10.3390/bioengineering8110176
Chicago/Turabian StyleLallement, Audrey, Aline Siaud, Christine Peyrelasse, Prasad Kaparaju, Blandine Schraauwers, Samuel Maunas, and Florian Monlau. 2021. "Impact of Operational Factors, Inoculum Origin, and Feedstock Preservation on the Biochemical Methane Potential" Bioengineering 8, no. 11: 176. https://doi.org/10.3390/bioengineering8110176
APA StyleLallement, A., Siaud, A., Peyrelasse, C., Kaparaju, P., Schraauwers, B., Maunas, S., & Monlau, F. (2021). Impact of Operational Factors, Inoculum Origin, and Feedstock Preservation on the Biochemical Methane Potential. Bioengineering, 8(11), 176. https://doi.org/10.3390/bioengineering8110176

