Clinical Validation of rPPG-Enabled Contactless Pulse Rate Monitoring Software in Cardiovascular Disease Patients
Abstract
1. Introduction
2. Materials and Methods
2.1. Experimental Setup
2.2. Device Configuration
2.3. Data Collection Protocol
2.4. Data Processing
3. Results
3.1. Demographic Statistics
3.2. PR Measurements
4. Discussion
4.1. Disparity Between PPG and ECG
4.2. Statistical Analysis
4.2.1. Effect of Configurations
4.2.2. Effect of CVD
4.2.3. Effect of Skin Tone
4.2.4. Effect of Lightning
5. Conclusions
Author Contributions
Funding
Institutional Review Board Statement
Informed Consent Statement
Data Availability Statement
Conflicts of Interest
Abbreviations
| bpm | Beats Per Minute |
| CI | Confidence Interval |
| CVD | Cardiovascular Disease |
| ECG | Electrocardiogram |
| FDA | Food and Drug Administration |
| ICD | Implantable Cardioverter-Defibrillators |
| MAE | Mean Absolute Error |
| PC | Personal Computer |
| PPG | Photoplethysmography |
| PR | Pulse Rate |
| R | Pearson Correlation |
| REML | Restricted Maximum Likelihood |
| RMSE | Root-Mean-Squared Error |
| ROI | Region of Interest |
| rPPG | Remote Photoplethysmography |
| SE | Standard Error |
References
- World Health Organization. Cardiovascular Diseases (CVDs). 2021. Available online: https://www.who.int/health-topics/cardiovascular-diseases (accessed on 16 February 2026).
- Bloom, D.E.; Cafiero, E.; Jané-Llopis, E.; Abrahams-Gessel, S.; Bloom, L.R.; Fathima, S.; Feigl, A.B.; Gaziano, T.; Hamandi, A.; Mowafi, M.; et al. The Global Economic Burden of Non-Communicable Diseases. 2011. Available online: https://ideas.repec.org/p/gdm/wpaper/8712.html?utm_medium=email&utm_source=transaction (accessed on 16 February 2026).
- Roth, G.A.; Johnson, C.; Abajobir, A.; Abd-Allah, F.; Abera, S.F.; Abyu, G.; Ahmed, M.; Aksut, B.; Alam, T.; Alam, K.; et al. Global, regional, and national burden of cardiovascular diseases for 10 causes, 1990 to 2015. J. Am. Coll. Cardiol. 2020, 70, 1–25. [Google Scholar] [CrossRef]
- Fox, K.; Borer, J.S.; Camm, A.J.; Danchin, N.; Ferrari, R.; Sendon, J.L.; Steg, P.G.; Tardif, J.C.; Tavazzi, L.; Tendera, M.; et al. Resting heart rate in cardiovascular disease. J. Am. Coll. Cardiol. 2007, 50, 823–830. [Google Scholar] [CrossRef]
- Piwek, L.; Ellis, D.A.; Andrews, S.; Joinson, A. The rise of consumer health wearables: Promises and barriers. PLoS Med. 2016, 13, e1001953. [Google Scholar] [CrossRef]
- Shabaan, M.; Arshid, K.; Yaqub, M.; Jinchao, F.; Zia, M.S.; Bojja, G.R.; Iftikhar, M.; Ghani, U.; Ambati, L.S.; Munir, R. Survey: Smartphone-based assessment of cardiovascular diseases using photoplethysmography. BMC Med. Inform. Decis. Mak. 2020, 20, 177. [Google Scholar] [CrossRef]
- McDuff, D. Camera measurement of physiological vital signs. ACM Comput. Surv. 2023, 55, 1–40. [Google Scholar] [CrossRef]
- Xiao, H.; Liu, T.; Sun, Y.; Li, Y.; Zhao, S.; Avolio, A. Remote photoplethysmography for heart rate measurement: A review. Biomed. Signal Process. Control 2024, 88, 105608. [Google Scholar] [CrossRef]
- Verkruysse, W.; Svaasand, L.O.; Nelson, J.S. Remote plethysmographic imaging using ambient light. Opt. Express 2008, 16, 21434–21445. [Google Scholar] [CrossRef] [PubMed]
- Poh, M.Z.; McDuff, D.J.; Picard, R.W. Non-contact, automated cardiac pulse measurements using video imaging and blind source separation. Opt. Express 2010, 18, 10762–10774. [Google Scholar] [CrossRef] [PubMed]
- De Haan, G.; Jeanne, V. Robust pulse rate from chrominance-based rPPG. IEEE Trans. Biomed. Eng. 2013, 60, 2878–2886. [Google Scholar] [CrossRef] [PubMed]
- Wang, W.; Den Brinker, A.C.; Stuijk, S.; De Haan, G. Algorithmic principles of remote PPG. IEEE Trans. Biomed. Eng. 2016, 64, 1479–1491. [Google Scholar] [CrossRef]
- Chen, S.; Wong, K.L.; Chan, T.T.; Wang, Y.; So, R.H.Y.; Chin, J.W. An image enhancement based method for improving rPPG extraction under low-light illumination. Biomed. Signal Process. Control 2025, 100, 106963. [Google Scholar] [CrossRef]
- Chen, M.; Zhu, Q.; Zhang, H.; Wu, M.; Wang, Q. Respiratory rate estimation from face videos. In Proceedings of the 2019 IEEE EMBS International Conference on Biomedical & Health Informatics (BHI), Chicago, IL, USA, 19–22 May 2019; IEEE: Piscataway, NJ, USA, 2019; pp. 1–4. [Google Scholar]
- Cheng, C.H.; Yuen, Z.; Chen, S.; Wong, K.L.; Chin, J.W.; Chan, T.T.; So, R.H.Y. Contactless Blood Oxygen Saturation Estimation from Facial Videos Using Deep Learning. Bioengineering 2024, 11, 251. [Google Scholar] [CrossRef] [PubMed]
- Schrumpf, F.; Frenzel, P.; Aust, C.; Osterhoff, G.; Fuchs, M. Assessment of non-invasive blood pressure prediction from ppg and rppg signals using deep learning. Sensors 2021, 21, 6022. [Google Scholar] [CrossRef]
- Lewandowska, M. Measuring Pulse Rate with a Webcam—A Non-contact Method for Evaluating Cardiac Activity. In Proceedings of the Federated Conference on Computer Science and Information Systems, Szczecin, Poland, 18–21 September 2011; pp. 405–410. [Google Scholar]
- Thayer, J.F.; Yamamoto, S.S.; Brosschot, J.F. The relationship of autonomic imbalance, heart rate variability and cardiovascular disease risk factors. Int. J. Cardiol. 2010, 141, 122–131. [Google Scholar] [CrossRef]
- Špetlík, R.; Franc, V.; Matas, J. Visual heart rate estimation with convolutional neural network. In Proceedings of the British Machine Vision Conference, Newcastle, UK, 3–6 September 2018; pp. 3–6. [Google Scholar]
- Yu, Z.; Li, X.; Zhao, G. Remote photoplethysmograph signal measurement from facial videos using spatio-temporal networks. arXiv 2019, arXiv:1905.02419. [Google Scholar] [CrossRef]
- Chen, W.; McDuff, D. Deepphys: Video-based physiological measurement using convolutional attention networks. In Proceedings of the European Conference on Computer Vision (ECCV), Munich, Germany, 8–14 September 2018; pp. 349–365. [Google Scholar]
- Niu, X.; Shan, S.; Han, H.; Chen, X. Rhythmnet: End-to-end heart rate estimation from face via spatial-temporal representation. IEEE Trans. Image Process. 2019, 29, 2409–2423. [Google Scholar] [CrossRef]
- Chen, S.; Wong, K.L.; Chin, J.W.; Chan, T.T.; So, R.H. DiffPhys: Enhancing Signal-to-Noise Ratio in Remote Photoplethysmography Signal Using a Diffusion Model Approach. Bioengineering 2024, 11, 743. [Google Scholar] [CrossRef]
- Chang, T.Y.; Wu, Y.C.; Chung, M.L.; Wu, B.F.; Cheng, H.M.; Lee, W.C.; Chang, S.L. Novel application of contactless remote photoplethysmography in identifying heart failure with left ventricular systolic dysfunction. J. Cardiol. 2025, in press. [Google Scholar] [CrossRef]
- Wong, K.L.; Chin, J.W.; Chan, T.T.; Prae-Arporn, K.; So, R.H. Vitals: Camera-based physiological monitoring and health management platform. In Proceedings of the 2022 IEEE/ACM Conference on Connected Health: Applications, Systems and Engineering Technologies (CHASE), Arlington, VA, USA, 17–19 November 2022; IEEE: Piscataway, NJ, USA; ACM: New York, NY, USA, 2022; pp. 140–141. [Google Scholar]
- PanopticAI Technologies Limited. 510(k) Premarket Notification: K240890—PanopticAI Vital Signs; U.S. Food and Drug Administration: Silver Spring, MD, USA, 2024.
- Goy, J.J.; Stauffer, J.C.; Schlaepfer, J.; Christeler, P. Electrocardiography (ECG); Bentham Science Publishers: Sharjah, United Arab Emirates, 2013; Volume 1. [Google Scholar]
- Berkaya, S.K.; Uysal, A.K.; Gunal, E.S.; Ergin, S.; Gunal, S.; Gulmezoglu, M.B. A survey on ECG analysis. Biomed. Signal Process. Control 2018, 43, 216–235. [Google Scholar] [CrossRef]
- Alian, A.A.; Shelley, K.H. Photoplethysmography. Best Pract. Res. Clin. Anaesthesiol. 2014, 28, 395–406. [Google Scholar] [CrossRef]
- Nitzan, M.; Ovadia-Blechman, Z. Physical and physiological interpretations of the PPG signal. In Photoplethysmography; Academic Press: Cambridge, MA, USA, 2022; pp. 319–340. [Google Scholar]
- Kyriacou, P.A.; Chatterjee, S. The origin of photoplethysmography. In Photoplethysmography; Elsevier: Amsterdam, The Netherlands, 2022; pp. 17–43. [Google Scholar]
- Lavie, C., Jr.; Nunez, B.; Garavaglia, G.; Messerli, F. Hypertensive concentric left ventricular hypertrophy: When is ventricular ectopic activity increased? South. Med. J. 1988, 81, 696–700. [Google Scholar] [CrossRef] [PubMed]
- Kaya, Y.; Pehlivan, H. Classification of premature ventricular contraction in ECG. Int. J. Adv. Comput. Sci. Appl. 2015, 6, 34–40. [Google Scholar] [CrossRef]
- Lin, W.H.; Wu, D.; Li, C.; Zhang, H.; Zhang, Y.T. Comparison of heart rate variability from PPG with that from ECG. In Proceedings of the International Conference on Health Informatics: ICHI 2013, Vilamoura, Portugal, 7–9 November 2013; Springer: Cham, Switzerland, 2014; pp. 213–215. [Google Scholar]
- Weiler, D.T.; Villajuan, S.O.; Edkins, L.; Cleary, S.; Saleem, J.J. Wearable heart rate monitor technology accuracy in research: A comparative study between PPG and ECG technology. In Proceedings of the Human Factors and Ergonomics Society Annual Meeting; SAGE Publications: Los Angeles, CA, USA, 2017; Volume 61, pp. 1292–1296. [Google Scholar]








| Device | Specification | Setting |
|---|---|---|
| Camera 1 (Smart Phone) | iPhone 13 Pro | @30 fps |
| Camera 2 (Tablet) | iPad Air 5th Generation | @30 fps |
| Patient Monitor | Mindray iMEC8 | @30 fps |
| Pulse Oximeter | Masimo MightySat | 1 Hz |
| Subjects (n = 47) | ||||
|---|---|---|---|---|
| Mean | Median | Interquartile Range | Full Range | |
| General characteristics | ||||
| Age | 65.41 | 66 | 62–70 | 44–80 |
| BMI | 26.22 | 26 | 23.30–28.40 | 17.30–36.30 |
| Gender | ||||
| F | 30 | |||
| M | 17 | |||
| Environmental characteristics | ||||
| Luminance | 277.81 | 274 | 242.25–331 | 126–547 |
| Ambient temperature | 22.47 | 22.65 | 22.10–22.98 | 18.80–24.60 |
| Humidity | 67.76 | 68.10 | 65.90–69.90 | 58.80–73.00 |
| Baseline measurements | ||||
| Pulse rate | 67.31 | 66.34 | 61.02–72.60 | 50.14–91.78 |
| Medical Condition | Disease | Number of Subjects (%) | Number of Samples (%) |
|---|---|---|---|
| Antihypertensives | Hypertension | 40 (85.1%) | 363 (85.8%) |
| Cardiac Medications | Ischaemic Heart Disease | 3 (6.4%) | 27 (6.4%) |
| Atrial Fibrillation | 2 (4.3%) | 15 (3.5%) | |
| Stroke | 2 (4.3%) | 13 (3.1%) | |
| Atrial Septal Defect | 1 (2.1%) | 11 (2.6%) | |
| Atrial Flutter | 1 (2.1%) | 10 (2.4%) | |
| Cerebrovascular Disease | 1 (2.1%) | 8 (1.9%) | |
| Metabolic Disorders | Hyperlipidemia | 25 (53.2%) | 220 (52.0%) |
| Type II Diabetes Mellitus | 17 (36.2%) | 157 (37.1%) | |
| Gout | 1 (2.1%) | 12 (2.8%) | |
| Dyslipidemia | 1 (2.1%) | 10 (2.4%) | |
| Disorder of Lipid Metabolism | 1 (2.1%) | 9 (2.1%) | |
| Neurological Conditions | Obstructive Sleep Apnea | 1 (2.1%) | 11 (2.6%) |
| Positional Obstructive Sleep Apnea | 1 (2.1%) | 10 (2.4%) | |
| Epilepsy | 1 (2.1%) | 8 (1.9%) | |
| Brain Tumor | 1 (2.1%) | 8 (1.9%) |
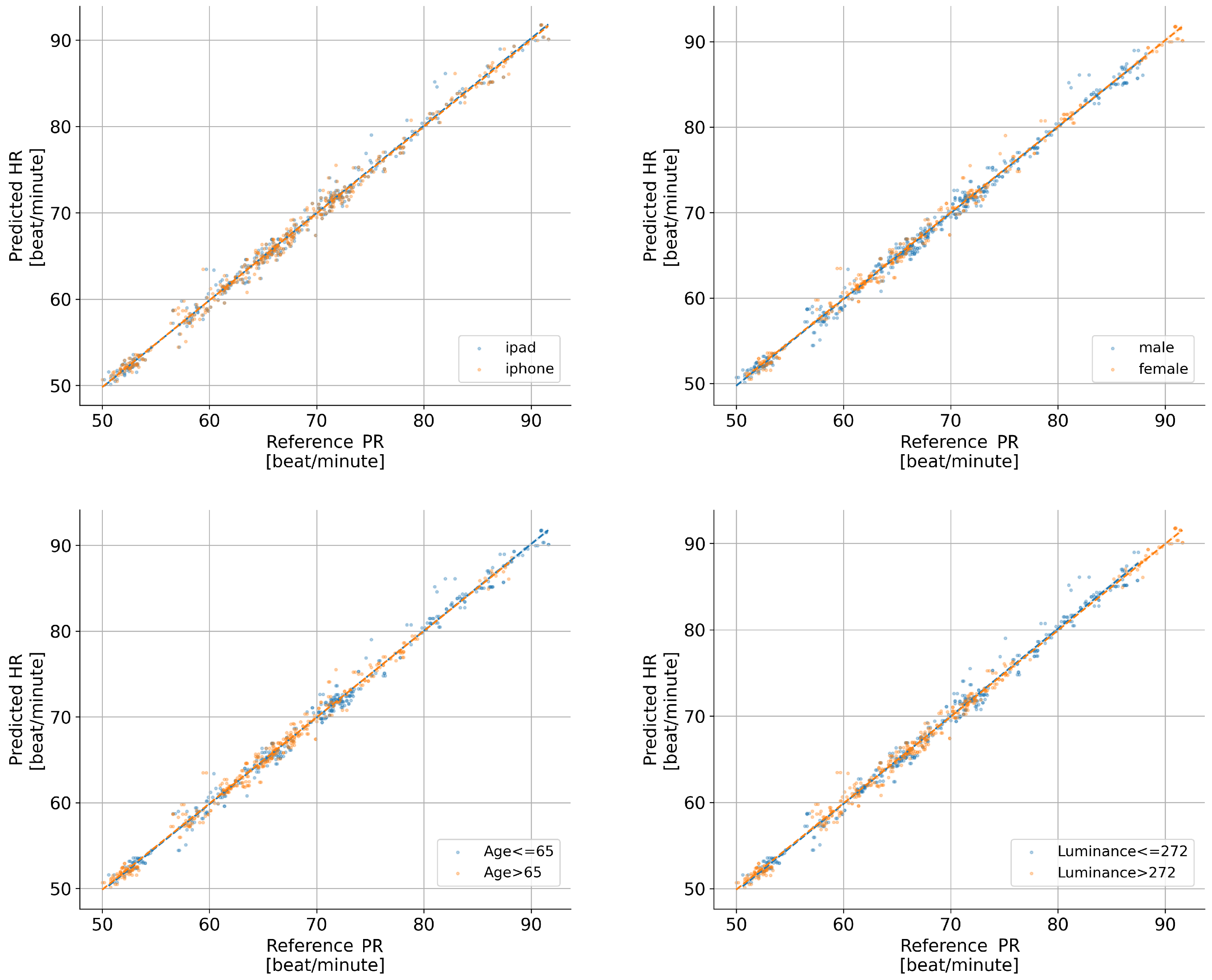
| Subgroup | R | MAE | RMSE |
|---|---|---|---|
| age ≤ 65 | 0.996 | 0.703 | 0.947 |
| age > 65 | 0.995 | 0.606 | 0.844 |
| gender—Male | 0.996 | 0.628 | 0.909 |
| gender—Female | 0.996 | 0.672 | 0.889 |
| luminance ≤ 272 | 0.994 | 0.703 | 0.987 |
| luminance > 272 | 0.997 | 0.608 | 0.813 |
| device—iPhone | 0.996 | 0.642 | 0.867 |
| device—iPad | 0.996 | 0.668 | 0.928 |
| Model 1: Unadjusted | Model 2: Adjusted | |||||
|---|---|---|---|---|---|---|
| Parameter | β (95% CI) | SE | p-Value | β (95% CI) | SE | p-Value |
| Fixed Effects | ||||||
| Intercept | 0.217 (−1.049, 1.483) | 0.646 | 0.737 | 0.754 (−1.115, 2.624) | 0.954 | 0.429 |
| Estimated pulse rate | 0.996 (0.978, 1.015) | 0.009 | <0.001 | 0.991 (0.966, 1.016) | 0.013 | <0.001 |
| Age group (ref: ≤65) | – | – | – | 0.015 (−0.285, 0.315) | 0.153 | 0.923 |
| Luminance group (ref: ≤272) | – | – | – | −0.144 (−0.451, 0.164) | 0.157 | 0.360 |
| Device group (ref: iPhone) | – | – | – | 0.038 (−0.082, 0.157) | 0.061 | 0.536 |
| Gender group (ref: Male) | – | – | – | −0.190 (−0.492, 0.112) | 0.154 | 0.218 |
| Variance Components | ||||||
| Between-subject variance | 0.146 | 0.093 | – | 0.199 | 0.137 | – |
| Residual variance | 0.714 | – | – | 0.705 | – | – |
| Model Fit | ||||||
| REML log-likelihood | −1016.30 | −1019.88 | ||||
| Number of observations | 782 | 782 | ||||
| Number of subjects | 47 | 47 | ||||
| Estimation method | REML | REML | ||||
| Model 3: Main Effects | Model 4: Condition Interactions | |||||
|---|---|---|---|---|---|---|
| Parameter | β (95% CI) | SE | p-Value | β (95% CI) | SE | p-Value |
| Fixed Effects | ||||||
| Intercept | 0.297 (−1.397, 1.992) | 0.865 | 0.731 | 0.250 (−1.746, 2.246) | 1.018 | 0.806 |
| Estimated pulse rate | 0.995 (0.971, 1.020) | 0.012 | <0.001 | 0.996 (0.968, 1.025) | 0.014 | <0.001 |
| Hyperlipidemia (ref: No) | 0.019 (−0.297, 0.335) | 0.161 | 0.906 | −0.825 (−2.973, 1.323) | 1.096 | 0.452 |
| Type 2 Diabetes (ref: No) | −0.074 (−0.383, 0.234) | 0.158 | 0.637 | 1.472 (−0.814, 3.757) | 1.166 | 0.207 |
| Interaction Effects | ||||||
| PR × Hyperlipidemia | – | – | – | 0.014 (−0.019, 0.046) | 0.017 | 0.416 |
| PR × Type 2 Diabetes | – | – | – | −0.023 (−0.057, 0.010) | 0.017 | 0.171 |
| Variance Components | ||||||
| Between-subject variance | 0.167 | 0.119 | – | 0.183 | 0.131 | – |
| Residual variance | 0.711 | 0.708 | ||||
| Model Fit | ||||||
| REML log-likelihood | −1018.20 | −1023.52 | ||||
| Number of observations | 782 | 782 | ||||
| Number of subjects | 47 | 47 | ||||
| Estimation method | REML | REML | ||||
Disclaimer/Publisher’s Note: The statements, opinions and data contained in all publications are solely those of the individual author(s) and contributor(s) and not of MDPI and/or the editor(s). MDPI and/or the editor(s) disclaim responsibility for any injury to people or property resulting from any ideas, methods, instructions or products referred to in the content. |
© 2026 by the authors. Licensee MDPI, Basel, Switzerland. This article is an open access article distributed under the terms and conditions of the Creative Commons Attribution (CC BY) license.
Share and Cite
Chin, J.W.; Chan, P.H.D.; Chen, S.; Cheng, C.H.; So, R.H.Y.; Chow, E.; Fok, B.S.P.; Wong, K.L. Clinical Validation of rPPG-Enabled Contactless Pulse Rate Monitoring Software in Cardiovascular Disease Patients. Bioengineering 2026, 13, 246. https://doi.org/10.3390/bioengineering13020246
Chin JW, Chan PHD, Chen S, Cheng CH, So RHY, Chow E, Fok BSP, Wong KL. Clinical Validation of rPPG-Enabled Contactless Pulse Rate Monitoring Software in Cardiovascular Disease Patients. Bioengineering. 2026; 13(2):246. https://doi.org/10.3390/bioengineering13020246
Chicago/Turabian StyleChin, Jing Wei, Po Him David Chan, Shutao Chen, Chun Hong Cheng, Richard H. Y. So, Elaine Chow, Benny S. P. Fok, and Kwan Long Wong. 2026. "Clinical Validation of rPPG-Enabled Contactless Pulse Rate Monitoring Software in Cardiovascular Disease Patients" Bioengineering 13, no. 2: 246. https://doi.org/10.3390/bioengineering13020246
APA StyleChin, J. W., Chan, P. H. D., Chen, S., Cheng, C. H., So, R. H. Y., Chow, E., Fok, B. S. P., & Wong, K. L. (2026). Clinical Validation of rPPG-Enabled Contactless Pulse Rate Monitoring Software in Cardiovascular Disease Patients. Bioengineering, 13(2), 246. https://doi.org/10.3390/bioengineering13020246

