Older Fallers’ Comprehensive Neuromuscular and Kinematic Alterations in Reactive Balance Control: Indicators of Balance Decline or Compensation? A Pilot Study
Abstract
1. Introduction
2. Materials and Methods
2.1. Study Design and Participants
2.2. Subjective Assessments
2.3. Perturbation Trials
2.3.1. Experimental Set-Up
2.3.2. Protocol of Perturbation Trials
2.4. Data Processing
2.5. Statistical Analyses
3. Results
3.1. Subjective Assessment Results
3.2. Balance Control Strategies
3.3. COM Displacements
3.4. Dominant-Leg Joint Motions
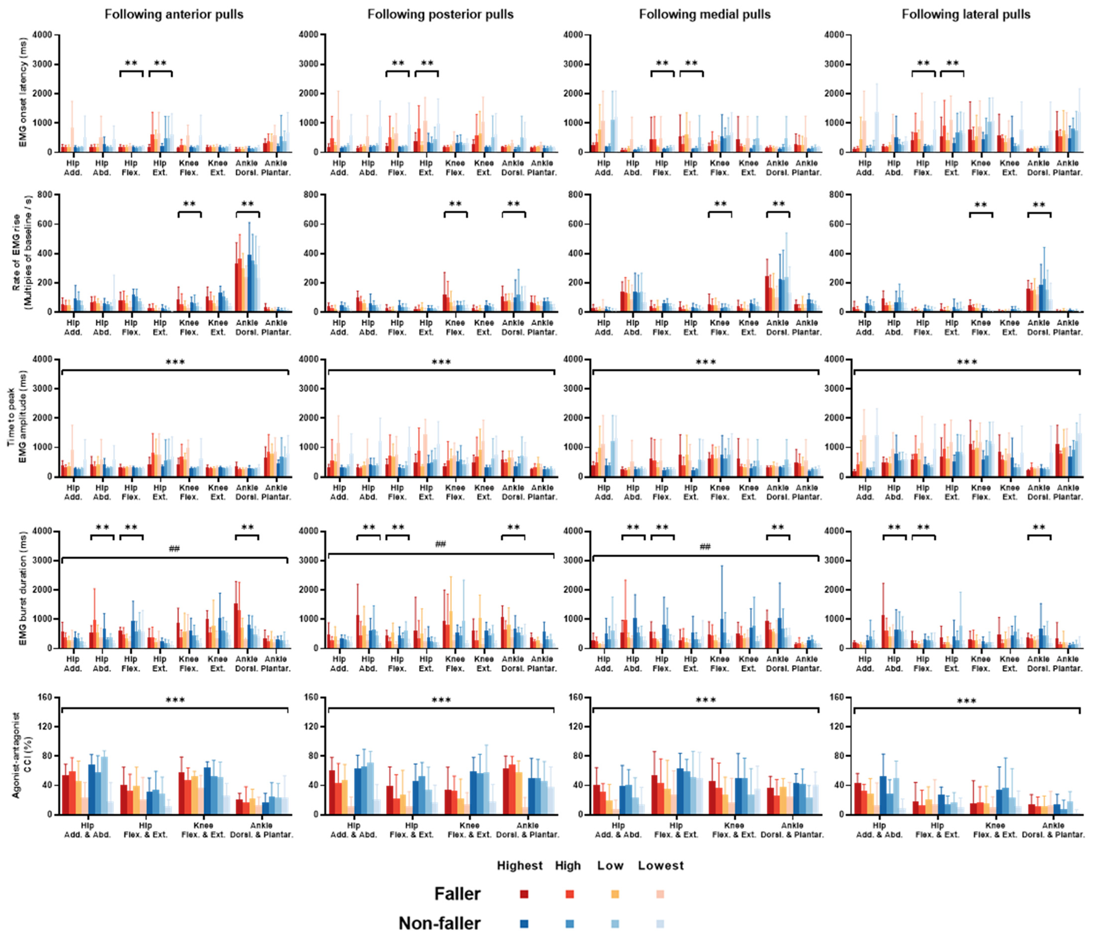
3.5. EMG Signals of Dominant-Leg Muscles
4. Discussion
4.1. Fallers Tended to Use Suspensory Strategies Following Unpredictable Perturbations: Neuromuscular and Kinematic Mechanisms
4.2. Fallers Had Altered Responses to Different Perturbation Directions
4.3. Strengths and Limitations
4.4. Implications for Clinical Practice and Future Resesarch
5. Conclusions
Supplementary Materials
Author Contributions
Funding
Institutional Review Board Statement
Informed Consent Statement
Data Availability Statement
Conflicts of Interest
List of Abbreviations
| Abbreviation | Full Name |
| AM | Adductor Magnus |
| ANOVA | Analysis of Variance |
| BF | Long Head of Bicep Femoris |
| CCI | Co-Contraction Index |
| COM | Center of Mass |
| EMG | Electromyographic |
| FES-I | Falls Efficacy Scale-International |
| MG | Medial Gastrocnemius |
| GMax | Gluteus Maximus |
| GMed | Gluteus Medius |
| Mini-BEST | Mini-Balance Evaluation System Test |
| PASE-C | Chinese Version of The Physical Activity Scale for the Elderly |
| RF | Rectus Femoris |
| SA | Sartorius |
| SD | Standard Deviation |
| SENIAM | Surface Electromyography for the Non-Invasive Assessment of Muscles |
| TA | Tibialis Anterior |
Appendix A
| Muscle | Location of EMG and MMG Sensor Placement |
|---|---|
| Hip adductor: Adductor magnus (AM) | Halfway between the pubic tubercle and the medial femoral epicondyle |
| Hip abductor: Gluteus medius (GMed) | Halfway between the iliac crest to the greater trochanter |
| Hip flexor: Sartorius (SA) | At 8 cm distal from the ASIS towards the medial epicondyle of the femur |
| Hip extensor: Gluteus maximus (GMax) | Halfway between the sacral vertebrae and the greater trochanter |
| Knee flexor: Long head of bicep femoris (BF) | Halfway between the ischial tuberosity and the lateral epicondyle of tibia |
| Knee extensor: Rectus femoris (RF) | Halfway between the anterior superior iliac spine (ASIS) and the superior border of the patella |
| Ankle dorsiflexor: Tibialis anterior (TA) | At 1/3 on the line between the tip of fibula and the tip of medial malleolus |
| Ankle plantarflexor: Gastrocnemius medialis (GM) | On the most prominent bulge of the muscle |
| Perturbation Direction | Perturbation Intensity | Mean of Maximum Displacements (mm) | Mean of Maximum Velocities (m/s) | Mean of Maximum Accelerations (m/s2) |
|---|---|---|---|---|
| Anterior | Highest | 59 | 0.40 | 4.3 |
| High | 43 | 0.31 | 3.4 | |
| Low | 29 | 0.21 | 2.3 | |
| Lowest | 13 | 0.10 | 1.1 | |
| Posterior | Highest | 79 | 0.33 | 3.7 |
| High | 56 | 0.26 | 2.8 | |
| Low | 37 | 0.18 | 1.9 | |
| Lowest | 18 | 0.09 | 1.0 | |
| Medial | Highest | 110 | 0.37 | 4.7 |
| High | 82 | 0.29 | 3.7 | |
| Low | 54 | 0.20 | 2.5 | |
| Lowest | 28 | 0.11 | 1.4 | |
| Lateral | Highest | 113 | 0.35 | 4.3 |
| High | 86 | 0.26 | 3.2 | |
| Low | 55 | 0.19 | 2.3 | |
| Lowest | 25 | 0.09 | 1.1 |
| Parameter | Onset Latency of COM Displacement | Time to Peak COM Displacement | Peak COM Displacement |
|---|---|---|---|
| Significant interaction effect of “fall history” and other factor(s) in four-way ANOVAs | fall history × postural sway direction | fall history × postural sway direction | fall history × direction × postural sway direction |
| All significant results of post hoc pairwise comparisons within the postural sway direction & perturbation direction factor | fallers: lateral < backward | fallers: upward < forward | fallers: A: upward & downward & lateral & medial & forward < backward; upward & downward & lateral < forward; upward < medial P: upward & downward & medial & lateral < backward < forward; upward < lateral M: upward & downward & backward < forward & medial < lateral L: upward & downward & backward < lateral & forward < medial |
| non-fallers: backward & lateral & upward < forward < downward; medial < downward | non-fallers: backward & upward & lateral & medial < downward; backward & upward < forward | non-fallers: A: downward & upward & lateral & medial & forward < backward; downward & upward < medial & forward P: downward & upward & medial & lateral & backward < forward; downward & upward < backward; downward < lateral M: downward & upward < forward & backward & medial < lateral L: downward & upward < backward & forward & lateral < medial |
| Parameter | Angle Onset Latency | Time to Peak Angle | Peak Angle | Angle Burst Duration |
|---|---|---|---|---|
| Significant interaction effect of “fall history” and other factor(s) in four-way ANOVAs | fall history × direction × joint motion | fall history × direction × joint motion | fall history × joint motion | fall history × joint motion |
| All significant results of post hoc pairwise comparisons within the joint motion & perturbation direction factor | fallers: A: ankle plantarflexion & hip flexion & knee flexion & ankle dorsiflexion & hip abduction & hip adduction < knee extension; ankle plantarflexion & hip flexion & knee flexion & ankle dorsiflexion < hip adduction & hip extension; ankle plantarflexion & hip flexion & knee flexion < hip abduction P: ankle dorsiflexion < knee extension & hip adduction & hip abduction & ankle plantarflexion M: hip adduction & ankle dorsiflexion & knee flexion & hip flexion & hip abduction < hip extension & ankle plantarflexion; hip adduction & ankle dorsiflexion & knee flexion & hip flexion < knee extension; hip adduction & ankle dorsiflexion < hip abduction L: hip abduction & hip flexion & knee flexion < knee extension & hip adduction & ankle dorsiflexion & hip extension; ankle plantarflexion < hip extension | fallers: A: ankle plantarflexion & knee flexion < hip abduction & hip adduction & hip extension & knee extension; ankle dorsiflexion & hip flexion < hip adduction & hip extension & knee extension P: hip extension & ankle dorsiflexion < knee extension & hip abduction & hip adduction & ankle plantarflexion M: hip adduction < hip flexion & hip abduction & knee extension & ankle plantarflexion & hip extension; knee flexion & ankle dorsiflexion < hip abduction & knee extension & ankle plantarflexion & hip extension; hip flexion < knee extension & ankle plantarflexion & hip extension; hip abduction < hip extension L: hip abduction & knee flexion & hip flexion < knee extension & hip adduction & ankle dorsiflexion & hip extension; ankle plantarflexion < hip adduction & ankle dorsiflexion & hip extension | fallers: hip extension & knee extension & hip adduction & ankle plantarflexion & hip abduction < ankle dorsiflexion < knee flexion < hip flexion | fallers: hip abduction & hip adduction & ankle plantarflexion & hip extension < hip flexion; hip abduction & hip adduction & ankle plantarflexion < knee extension |
| non-fallers: A: hip flexion & ankle plantarflexion & knee flexion & ankle dorsiflexion & hip adduction < knee extension; hip flexion & ankle plantarflexion & knee flexion & ankle dorsiflexion < hip abduction; hip flexion & ankle plantarflexion & knee flexion < hip extension P: ankle dorsiflexion < hip adduction & hip extension & hip abduction & knee extension M: ankle dorsiflexion & knee flexion & hip flexion & hip adduction & hip abduction & ankle plantarflexion & knee extension < hip extension; ankle dorsiflexion < hip abduction L: hip abduction < ankle plantarflexion & hip adduction & ankle dorsiflexion & knee extension & hip extension; hip flexion < hip adduction & ankle dorsiflexion & knee extension & hip extension; knee flexion & ankle plantarflexion < hip extension | non-fallers: A: ankle plantarflexion & knee flexion & hip flexion < hip adduction & knee extension & hip extension & hip abduction; ankle dorsiflexion < knee extension & hip extension & hip abduction P: ankle dorsiflexion < knee flexion & hip extension & hip flexion & hip abduction & ankle plantarflexion & hip adduction & knee extension; knee flexion & hip extension < ankle plantarflexion & hip adduction & knee extension; hip flexion < knee extension M: knee flexion & hip adduction & ankle dorsiflexion < ankle plantarflexion & hip abduction & knee extension & hip extension; hip flexion & ankle plantarflexion < knee extension & hip extension; hip abduction < hip extension L: hip abduction < knee flexion & ankle plantarflexion & hip adduction & ankle dorsiflexion & knee extension & hip extension; hip flexion & knee flexion < hip adduction & ankle dorsiflexion & knee extension & hip extension | non-fallers: hip extension & knee extension & hip adduction & hip abduction & ankle plantarflexion & ankle dorsiflexion < hip flexion; hip extension & knee extension & hip adduction & hip abduction < knee flexion; hip extension & knee extension < ankle dorsiflexion | non-fallers: ankle dorsiflexion & knee flexion & hip abduction & hip extension & ankle plantarflexion & hip adduction & knee extension < hip flexion |
| Parameter | EMG Onset Latency | Rate of EMG Rise | EMG Burst Duration |
|---|---|---|---|
| Significant interaction effect of “fall history” and other factor(s) in four-way ANOVAs | fall history × muscle | fall history × muscle | fall history × muscle; fall history × direction |
| All significant results of post hoc pairwise comparisons within the muscle & perturbation direction factor | fallers: ankle dorsiflexor < knee flexor & ankle plantarflexor & knee extensor & hip flexor & hip adductor & hip extensor; hip abductor < hip adductor & hip extensor; knee flexor < hip extensor | fallers: hip extensor & hip adductor & hip flexor & ankle plantarflexor & knee extensor & knee flexor & hip abductor < ankle dorsiflexor; hip extensor & hip adductor & hip flexor & ankle plantarflexor & knee extensor < hip abductor; hip extensor < knee flexor | fallers: Within muscle factor: ankle plantarflexor & hip adductor & hip extensor & hip flexor < hip abductor & ankle dorsiflexor; ankle plantarflexor & hip adductor & hip extensor < knee flexor; ankle plantarflexor & hip adductor < knee extensor Within perturbation direction factor: lateral & medial < posterior & anterior |
| non-fallers: ankle dorsiflexor < hip extensor & knee flexor; hip flexor & hip abductor < knee flexor | non-fallers: hip extensor & knee flexor & hip adductor & ankle plantarflexor & hip flexor & knee extensor & hip abductor < ankle dorsiflexor; hip extensor & knee flexor & hip adductor & ankle plantarflexor < hip abductor | non-fallers: Within muscle factor: ankle plantarflexor & hip extensor & hip adductor < ankle dorsiflexor; ankle plantarflexor < knee extensor & hip abductor. Within perturbation direction factor: lateral < medial |
References
- World Health Organization. Falls. Available online: https://www.who.int/news-room/fact-sheets/detail/falls# (accessed on 30 April 2023).
- Moreland, B.; Kakara, R.; Henry, A. Trends in nonfatal falls and fall-related injuries among adults aged ≥ 65 years—United States, 2012–2018. Morb. Mortal. Weekly Rep. 2020, 69, 875. [Google Scholar] [CrossRef] [PubMed]
- de Vries, O.J.; Peeters, G.M.E.E.G.; Elders, P.J.M.; Muller, M.; Knol, D.L.; Danner, S.A.; Bouter, L.M.; Lips, P. Multifactorial Intervention to Reduce Falls in Older People at High Risk of Recurrent Falls: A Randomized Controlled Trial. Arch. Intern. Med. 2010, 170, 1110–1117. [Google Scholar] [CrossRef] [PubMed]
- Kasahara, S.; Saito, H. Mechanisms of postural control in older adults based on surface electromyography data. Hum. Mov. Sci. 2021, 78, 102803. [Google Scholar] [CrossRef]
- Tong, C.Y.; Zhu, R.T.; Ling, Y.T.; Scheeren, E.M.; Lam, F.M.; Fu, H.; Ma, C.Z. Muscular and Kinematic Responses to Unexpected Translational Balance Perturbation: A Pilot Study in Healthy Young Adults. Bioengineering 2023, 10, 831. [Google Scholar] [CrossRef]
- Manchester, D.; Woollacott, M.; Zederbauer-Hylton, N.; Marin, O. Visual, vestibular and somatosensory contributions to balance control in the older adult. J. Gerontol. 1989, 44, M118–M127. [Google Scholar] [CrossRef]
- Allum, J.H.; Carpenter, M.G.; Honegger, F.; Adkin, A.L.; Bloem, B.R. Age-dependent variations in the directional sensitivity of balance corrections and compensatory arm movements in man. J. Physiol. 2002, 542, 643–663. [Google Scholar] [CrossRef]
- Ma, C.Z.-H.; Lee, W.C.-C. A wearable vibrotactile biofeedback system improves balance control of healthy young adults following perturbations from quiet stance. Hum. Mov. Sci. 2017, 55, 54–60. [Google Scholar] [CrossRef] [PubMed]
- Batcir, S.; Shani, G.; Shapiro, A.; Alexander, N.; Melzer, I. The kinematics and strategies of recovery steps during lateral losses of balance in standing at different perturbation magnitudes in older adults with varying history of falls. BMC Geriatr. 2020, 20, 249. [Google Scholar] [CrossRef] [PubMed]
- Bair, W.-N.; Prettyman, M.G.; Beamer, B.A.; Rogers, M.W. Kinematic and behavioral analyses of protective stepping strategies and risk for falls among community living older adults. Clin. Biomech. 2016, 36, 74–82. [Google Scholar] [CrossRef] [PubMed]
- Gerards, M.H.; Meijer, K.; Karamanidis, K.; Grevendonk, L.; Hoeks, J.; Lenssen, A.F.; McCrum, C. Adaptability to balance perturbations during walking as a potential marker of falls history in older adults. Front. Sports Act. Living 2021, 3, 132. [Google Scholar] [CrossRef]
- Sturnieks, D.L.; Menant, J.; Delbaere, K.; Vanrenterghem, J.; Rogers, M.W.; Fitzpatrick, R.C.; Lord, S.R. Force-Controlled Balance Perturbations Associated with Falls in Older People: A Prospective Cohort Study. PLoS ONE 2013, 8, e70981. [Google Scholar] [CrossRef]
- Maki, B.E.; Holliday, P.J.; Topper, A.K. A Prospective Study of Postural Balance and Risk of Falling in An Ambulatory and Independent Elderly Population. J. Gerontol. 1994, 49, M72–M84. [Google Scholar] [CrossRef] [PubMed]
- Tantisuwat, A.; Vachalathiti, R.; Hiengkaew, V.; Assantachai, P. Stepping Responses during Forward and Backward Fall Recovery between Thai Elderly Fallers and Non-fallers. J. Phys. Ther. Sci. 2011, 23, 373–379. [Google Scholar] [CrossRef]
- Mille, M.-L.; Johnson-Hilliard, M.; Martinez, K.M.; Zhang, Y.; Edwards, B.J.; Rogers, M.W. One step, two steps, three steps more… directional vulnerability to falls in community-dwelling older people. J. Gerontol. Ser. A Biomed. Sci. Med. Sci. 2013, 68, 1540–1548. [Google Scholar] [CrossRef]
- Thompson, J.D.; Plummer, P.; Franz, J.R. Age and falls history effects on antagonist leg muscle coactivation during walking with balance perturbations. Clin. Biomech. 2018, 59, 94–100. [Google Scholar] [CrossRef] [PubMed]
- Studenski, S.; Chandler, J. Postural Responses and Effector Factors in Persons with Unexplained Falls: Results and Methodologic Issues. J. Am. Geriatr. Soc. 1991, 39, 229–234. [Google Scholar] [CrossRef] [PubMed]
- Claudino, R.; Dos Santos, M.J.; Mazo, G.Z. Delayed Compensatory Postural Adjustments After Lateral Perturbations Contribute to the Reduced Ability of Older Adults to Control Body Balance. Motor Control 2017, 21, 425–442. [Google Scholar] [CrossRef]
- Lin, S.-I.; Woollacott, M.H. Postural muscle responses following changing balance threats in young, stable older, and unstable older adults. J. Mot. Behav. 2002, 34, 37–44. [Google Scholar] [CrossRef]
- Zhu, R.T.; Lyu, P.Z.; Li, S.; Tong, C.Y.; Ling, Y.T.; Ma, C.Z. How Does Lower Limb Respond to Unexpected Balance Perturbations? New Insights from Synchronized Human Kinetics, Kinematics, Muscle Electromyography (EMG) and Mechanomyography (MMG) Data. Biosensors 2022, 12, 430. [Google Scholar] [CrossRef]
- Rogers, M.W.; Hedman, L.D.; Johnson, M.E.; Cain, T.D.; Hanke, T.A. Lateral Stability During Forward-Induced Stepping for Dynamic Balance Recovery in Young and Older Adults. J. Gerontol. Ser. A 2001, 56, M589–M594. [Google Scholar] [CrossRef]
- Fujimoto, M.; Bair, W.N.; Rogers, M.W. Center of pressure control for balance maintenance during lateral waist-pull perturbations in older adults. J. Biomech. 2015, 48, 963–968. [Google Scholar] [CrossRef] [PubMed]
- de Freitas, P.B.; Knight, C.A.; Barela, J.A. Postural reactions following forward platform perturbation in young, middle-age, and old adults. J. Electromyogr. Kinesiol. 2010, 20, 693–700. [Google Scholar] [CrossRef] [PubMed]
- Tinetti, M.E.; Speechley, M.; Ginter, S.F. Risk factors for falls among elderly persons living in the community. N. Engl. J. Med. 1988, 319, 1701–1707. [Google Scholar] [CrossRef] [PubMed]
- Yardley, L.; Beyer, N.; Hauer, K.; Kempen, G.; Piot-Ziegler, C.; Todd, C. Development and initial validation of the Falls Efficacy Scale-International (FES-I). Age Ageing 2005, 34, 614–619. [Google Scholar] [CrossRef] [PubMed]
- Ku, P.-W.; Sun, W.; Chen, L.-J. Reliability and Validity of the Chinese Version of the Physical Activity Scale for the Elderly. Sport Exerc. Res. 2013, 15, 309–319. [Google Scholar] [CrossRef]
- King, L.; Horak, F. On the Mini-BESTest: Scoring and the Reporting of Total Scores. Phys. Ther. 2013, 93, 571–575. [Google Scholar] [CrossRef] [PubMed]
- Godi, M.; Franchignoni, F.; Caligari, M.; Giordano, A.; Turcato, A.M.; Nardone, A. Comparison of reliability, validity, and responsiveness of the mini-BESTest and Berg Balance Scale in patients with balance disorders. Phys. Ther. 2013, 93, 158–167. [Google Scholar] [CrossRef]
- Hoffman, M.; Schrader, J.; Applegate, T.; Koceja, D. Unilateral postural control of the functionally dominant and nondominant extremities of healthy subjects. J. Athl. Train. 1998, 33, 319–322. [Google Scholar] [PubMed]
- Hermens, H.J.; Freriks, B.; Disselhorst-Klug, C.; Rau, G. Development of recommendations for SEMG sensors and sensor placement procedures. J. Electromyogr. Kinesiol. 2000, 10, 361–374. [Google Scholar] [CrossRef]
- Vicon Motion Systems Limited. Plug-In Gait Reference Guide. Available online: https://docs.vicon.com/display/Nexus212/Plug-in+Gait+Reference+Guide (accessed on 20 April 2022).
- Kim, D.; Hwang, J.-M. The center of pressure and ankle muscle co-contraction in response to anterior-posterior perturbations. PLoS ONE 2018, 13, e0207667. [Google Scholar] [CrossRef]
- Konrad, P. The Abc of Emg. In A Practical Introduction to Kinesiological Electromyography; Noraxon Inc.: Scottsdale, AZ, USA, 2005; Volume 1, pp. 30–35. [Google Scholar]
- Ling, Y.T.; Ma, C.Z.; Shea, Q.T.; Zheng, Y.-P. Sonomechanomyography (SMMG): Mapping of Skeletal Muscle Motion Onset during Contraction Using Ultrafast Ultrasound Imaging and Multiple Motion Sensors. Sensors 2020, 20, 5513. [Google Scholar] [CrossRef] [PubMed]
- Hesam-Shariati, N.; Trinh, T.; Thompson-Butel, A.G.; Shiner, C.T.; McNulty, P.A. A longitudinal electromyography study of complex movements in Poststroke therapy. 1: Heterogeneous changes despite consistent improvements in clinical assessments. Front. Neurol. 2017, 8, 340. [Google Scholar] [CrossRef] [PubMed]
- Di Nardo, F.; Morano, M.; Strazza, A.; Fioretti, S. Muscle Co-Contraction Detection in the Time-Frequency Domain. Sensors 2022, 22, 4886. [Google Scholar] [CrossRef]
- Falconer, K. Quantitative assessment of cocontraction at the ankle joint in walking. Electromyogr. Clin. Neurophysiol. 1985, 25, 135–148. [Google Scholar]
- Portney, L.G. Foundations of Clinical Research: Applications to Evidence-Based Practice; FA Davis: Philadelphia, PA, USA, 2020. [Google Scholar]
- Woollacott, M.H. 8 Age-Related Changes in Posture and Movement. J. Gerontol. 1993, 48, 56–60. [Google Scholar] [CrossRef]
- Inacio, M.; Ryan, A.S.; Bair, W.-N.; Prettyman, M.; Beamer, B.A.; Rogers, M.W. Gluteal muscle composition differentiates fallers from non-fallers in community dwelling older adults. BMC Geriatr. 2014, 14, 37. [Google Scholar] [CrossRef] [PubMed]
- Nijhuis, L.B.O.; Bloem, B.R.; Carpenter, M.G.; Allum, J.H.J. Incorporating voluntary knee flexion into nonanticipatory balance corrections. J. Neurophysiol. 2007, 98, 3047–3059. [Google Scholar] [CrossRef]
- Cheng, K.B. Does knee motion contribute to feet-in-place balance recovery? J. Biomech. 2016, 49, 1873–1880. [Google Scholar] [CrossRef] [PubMed]
- Kasahara, S.; Saito, H.; Anjiki, T.; Osanai, H. The effect of aging on vertical postural control during the forward and backward shift of the center of pressure. Gait Posture 2015, 42, 448–454. [Google Scholar] [CrossRef] [PubMed]
- Schulz, B.W.; Jongprasithporn, M.; Hart-Hughes, S.J.; Bulat, T. Effects of step length, age, and fall history on hip and knee kinetics and knee co-contraction during the maximum step length test. Clin. Biomech. 2013, 28, 933–940. [Google Scholar] [CrossRef]
- Falk, J.; Strandkvist, V.; Pauelsen, M.; Vikman, I.; Nyberg, L.; Röijezon, U. Increased co-contraction reaction during a surface perturbation is associated with unsuccessful postural control among older adults. BMC Geriatr. 2022, 22, 438. [Google Scholar] [CrossRef]
- Ho, C.Y.; Bendrups, A.P. Ankle Reflex Stiffness During Unperceived Perturbation of Standing in Elderly Subjects. J. Gerontol. Ser. A 2002, 57, B344–B350. [Google Scholar] [CrossRef] [PubMed]
- Bhagwat, A.P.; Deodhe, N.P. The Effect of Perturbation-Based Balance Training vs Step Training on Reaction Time in Older Persons: A Review. Cureus 2023, 15, e48104. [Google Scholar] [CrossRef]
- Hall, C.D.; Jensen, J.L. Age-related differences in lower extremity power after support surface perturbations. J. Am. Geriatr. Soc. 2002, 50, 1782–1788. [Google Scholar] [CrossRef]



(p < 0.05). ** denotes the significant effect of fall history at a certain postural sway direction (“fall history × postural sway direction” interaction). * denotes the significant effect of fall history at a certain postural sway direction and following a certain direction of perturbation (“fall history × postural sway direction × direction” interaction). COM: center of mass. SD: standard deviation.
(p < 0.05). ** denotes the significant effect of fall history at a certain postural sway direction (“fall history × postural sway direction” interaction). * denotes the significant effect of fall history at a certain postural sway direction and following a certain direction of perturbation (“fall history × postural sway direction × direction” interaction). COM: center of mass. SD: standard deviation.

(p < 0.05). * denotes the significant effect of fall history at a certain joint motion and following a certain direction of perturbation (“fall history × joint motion × direction” interaction). ** denotes the significant effect of fall history at a certain joint motion (“fall history × joint motion” interaction). Add: adduction. Abd: abduction. Flex: flexion. Ext: extension. Dorsi: dorsiflexion. Plantar: plantarflexion. SD: standard deviation.
(p < 0.05). * denotes the significant effect of fall history at a certain joint motion and following a certain direction of perturbation (“fall history × joint motion × direction” interaction). ** denotes the significant effect of fall history at a certain joint motion (“fall history × joint motion” interaction). Add: adduction. Abd: abduction. Flex: flexion. Ext: extension. Dorsi: dorsiflexion. Plantar: plantarflexion. SD: standard deviation.

(p < 0.05). *** denotes the significant main effect of fall history (no interaction of “fall history” and any other factor). ** denotes the significant effect of fall history at a certain muscle (“fall history × muscle” interaction). ## denotes the significant effect of fall history following a certain direction of perturbation (“fall history × direction” interaction). EMG: electromyographic. CCI: co-contraction index. SD: standard deviation. Add: adductor. Abd: abductor. Flex: flexor. Ext: extensor. Dorsi: dorsiflexor. Plantar: plantarflexor.
(p < 0.05). *** denotes the significant main effect of fall history (no interaction of “fall history” and any other factor). ** denotes the significant effect of fall history at a certain muscle (“fall history × muscle” interaction). ## denotes the significant effect of fall history following a certain direction of perturbation (“fall history × direction” interaction). EMG: electromyographic. CCI: co-contraction index. SD: standard deviation. Add: adductor. Abd: abductor. Flex: flexor. Ext: extensor. Dorsi: dorsiflexor. Plantar: plantarflexor.
| Faller (n = 6, 3 Males and 3 Females) | Non-Faller (n = 6, 3 Males and 3 Females) | Significance (p Value) | |
| Number of falls | 1.3 ± 0.5 | 0 | / |
| Number of medications | 1.0 ± 1.1 | 0.3 ± 0.5 | 0.279 |
| Age (year) | 71.5 ± 4.6 | 69.2 ± 2.9 | 0.316 |
| Body mass (kg) | 55.6 ± 8.4 | 61.4 ± 13.0 | 0.381 |
| Height (cm) | 157.9 ± 8.7 | 162.0 ± 7.9 | 0.406 |
| BMI (kg/m2) | 22.2 ± 2.0 | 23.3 ± 4.4 | 0.587 |
| Leg length (cm) | 77.3 ± 6.3 | 80.8 ± 4.6 | 0.297 |
| Dominant leg (right/left) | 5/1 | 6/0 | 0.296 |
| Short FES-I (score) | 12.2 ± 2.4 | 11.5 ± 6.0 | 0.332 |
| PASE-C (score) | 139.5 ± 73.2 | 148.1 ± 34.6 | 0.802 |
| Mini-BEST (score) | 23.3 ± 1.5 | 26.0 ± 0.9 | 0.004 |
Disclaimer/Publisher’s Note: The statements, opinions and data contained in all publications are solely those of the individual author(s) and contributor(s) and not of MDPI and/or the editor(s). MDPI and/or the editor(s) disclaim responsibility for any injury to people or property resulting from any ideas, methods, instructions or products referred to in the content. |
© 2025 by the authors. Licensee MDPI, Basel, Switzerland. This article is an open access article distributed under the terms and conditions of the Creative Commons Attribution (CC BY) license (https://creativecommons.org/licenses/by/4.0/).
Share and Cite
Zhu, R.T.-L.; Hung, T.T.M.; Lam, F.M.H.; Li, J.-Z.; Luo, Y.-Y.; Sun, J.; Wang, S.; Ma, C.Z.-H. Older Fallers’ Comprehensive Neuromuscular and Kinematic Alterations in Reactive Balance Control: Indicators of Balance Decline or Compensation? A Pilot Study. Bioengineering 2025, 12, 66. https://doi.org/10.3390/bioengineering12010066
Zhu RT-L, Hung TTM, Lam FMH, Li J-Z, Luo Y-Y, Sun J, Wang S, Ma CZ-H. Older Fallers’ Comprehensive Neuromuscular and Kinematic Alterations in Reactive Balance Control: Indicators of Balance Decline or Compensation? A Pilot Study. Bioengineering. 2025; 12(1):66. https://doi.org/10.3390/bioengineering12010066
Chicago/Turabian StyleZhu, Ringo Tang-Long, Timmi Tim Mei Hung, Freddy Man Hin Lam, Jun-Zhe Li, Yu-Yan Luo, Jingting Sun, Shujun Wang, and Christina Zong-Hao Ma. 2025. "Older Fallers’ Comprehensive Neuromuscular and Kinematic Alterations in Reactive Balance Control: Indicators of Balance Decline or Compensation? A Pilot Study" Bioengineering 12, no. 1: 66. https://doi.org/10.3390/bioengineering12010066
APA StyleZhu, R. T.-L., Hung, T. T. M., Lam, F. M. H., Li, J.-Z., Luo, Y.-Y., Sun, J., Wang, S., & Ma, C. Z.-H. (2025). Older Fallers’ Comprehensive Neuromuscular and Kinematic Alterations in Reactive Balance Control: Indicators of Balance Decline or Compensation? A Pilot Study. Bioengineering, 12(1), 66. https://doi.org/10.3390/bioengineering12010066

