Two-Stream Convolutional Neural Networks for Breathing Pattern Classification: Real-Time Monitoring of Respiratory Disease Patients
Abstract
1. Introduction
2. Materials and Methods
2.1. NIRS Device
2.2. Breathing Class Definition and Data Collection
- Class 1―normal breathing: Participants breathed normally through their mouth or nose while in a relaxed position (Figure 2a).
- Class 2―breath holding: Participants exhaled and held their breath for as long as they could (Figure 2b).
- Class 3―slow breathing: Participants breathed at a rate of 10 times per minute for two minutes (Figure 2c).
- Class 4―rapid breathing: Participants breathed at a rate of 30 times per minute for two minutes (Figure 2d).
2.3. Participants
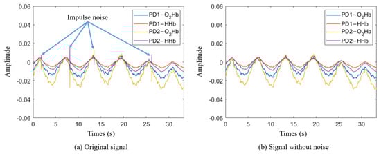
2.4. Data Preprocessing
2.5. Breathing Pattern Classification Model
2.6. Dataset
2.7. Data Augmentation
- DC offset: performed by adding a DC value to the original signal.
- Amplitude random scaling: involves reducing or increasing the amplitude of the data by multiplying the scaling value with the original data.
- Horizontal flip : performed by flipping the original data horizontally and occurs with a probability of 50%. Horizontal flipping is a simple technique that can effectively improve a model’s learning performance.
3. Results
3.1. TCNN with and without Autoencoder
3.2. Confusion Matrix
3.3. Performance of Well-Known Classification Algorithms
4. Discussion
5. Conclusions
Author Contributions
Funding
Institutional Review Board Statement
Informed Consent Statement
Data Availability Statement
Acknowledgments
Conflicts of Interest
References
- WHO Coronavirus (COVID-19) Dashboard. Available online: https://covid19.who.int/ (accessed on 5 December 2023).
- Pan, L.; Mu, M.; Yang, P.; Sun, Y.; Wang, R.; Yan, J.; Li, P.; Hu, B.; Wang, J.; Hu, C. Clinical characteristics of COVID-19 patients with digestive symptoms in Hubei, China: A descriptive, cross-sectional, multicenter study. Am. J. Gastroenterol. 2020, 115, 766–773. [Google Scholar] [CrossRef] [PubMed]
- Gandhi, L.; Maisnam, D.; Rathore, D.; Chauhan, P.; Bonagiri, A.; Venkataramana, M. Respiratory illness virus infections with special emphasis on COVID-19. Eur. J. Med. Res. 2022, 27, 236. [Google Scholar] [CrossRef] [PubMed]
- Wang, Y.; Hu, M.; Li, Q.; Zhang, X.-P.; Zhai, G.; Yao, N. Abnormal respiratory patterns classifier may contribute to large-scale screening of people infected with COVID-19 in an accurate and unobtrusive manner. arXiv 2020, arXiv:2002.05534. [Google Scholar]
- Tleyjeh, I.M.; Saddik, B.; Ramakrishnan, R.K.; AlSwaidan, N.; AlAnazi, A.; Alhazmi, D.; Aloufi, A.; AlSumait, F.; Berbari, E.F.; Halwani, R. Long term predictors of breathlessness, exercise intolerance, chronic fatigue and well-being in hospitalized patients with COVID-19: A cohort study with 4 months median follow-up. J. Infect. Public Health 2022, 15, 21–28. [Google Scholar] [CrossRef] [PubMed]
- Martelletti, P.; Bentivegna, E.; Spuntarelli, V.; Luciani, M. Long-COVID headache. SN Compr. Clin. Med. 2021, 3, 1704–1706. [Google Scholar] [CrossRef] [PubMed]
- Benmalek, E.; Elmhamdi, J.; Jilbab, A. Comparing CT scan and chest X-ray imaging for COVID-19 diagnosis. Biomed. Eng. Adv. 2021, 1, 100003. [Google Scholar] [CrossRef] [PubMed]
- Bai, H.X.; Hsieh, B.; Xiong, Z.; Halsey, K.; Choi, J.W.; Tran, T.M.L.; Pan, I.; Shi, L.-B.; Wang, D.-C.; Mei, J. Performance of radiologists in differentiating COVID-19 from non-COVID-19 viral pneumonia at chest CT. Radiology 2020, 296, E46–E54. [Google Scholar] [CrossRef] [PubMed]
- Ceniccola, G.D.; Castro, M.G.; Piovacari, S.M.F.; Horie, L.M.; Corrêa, F.G.; Barrere, A.P.N.; Toledo, D.O. Current technologies in body composition assessment: Advantages and disadvantages. Nutrition 2019, 62, 25–31. [Google Scholar] [CrossRef] [PubMed]
- Wang, L.; Lin, Z.Q.; Wong, A. Covid-net: A tailored deep convolutional neural network design for detection of covid-19 cases from chest X-ray images. Sci. Rep. 2020, 10, 19549. [Google Scholar] [CrossRef]
- Cho, Y.; Bianchi-Berthouze, N.; Julier, S.J. DeepBreath: Deep learning of breathing patterns for automatic stress recognition using low-cost thermal imaging in unconstrained settings. In Proceedings of the 2017 Seventh International Conference on Affective Computing and Intelligent Interaction (ACII), San Antonio, TX, USA, 23–26 October 2017; pp. 456–463. [Google Scholar]
- Taylor, W.; Abbasi, Q.H.; Dashtipour, K.; Ansari, S.; Shah, S.A.; Khalid, A.; Imran, M.A. A Review of the State of the Art in Non-Contact Sensing for COVID-19. Sensors 2020, 20, 5665. [Google Scholar] [CrossRef]
- Rahman, A.; Lubecke, V.M.; Boric–Lubecke, O.; Prins, J.H.; Sakamoto, T. Doppler radar techniques for accurate respiration characterization and subject identification. IEEE J. Emerg. Sel. Top. Circuits Syst. 2018, 8, 350–359. [Google Scholar] [CrossRef]
- Ahmad, A.; Roh, J.C.; Wang, D.; Dubey, A. Vital signs monitoring of multiple people using a FMCW millimeter-wave sensor. In Proceedings of the 2018 IEEE Radar Conference (RadarConf18), Oklahoma City, OK, USA, 23–27 April 2018; pp. 1450–1455. [Google Scholar]
- Prat, A.; Blanch, S.; Aguasca, A.; Romeu, J.; Broquetas, A. Collimated beam FMCW radar for vital sign patient monitoring. IEEE Trans. Antennas Propag. 2018, 67, 5073–5080. [Google Scholar] [CrossRef]
- Podder, P.; Das, S.R.; Mondal, M.R.H.; Bharati, S.; Maliha, A.; Hasan, M.J.; Piltan, F. Lddnet: A deep learning framework for the diagnosis of infectious lung diseases. Sensors 2023, 23, 480. [Google Scholar] [CrossRef] [PubMed]
- Purnomo, A.T.; Lin, D.-B.; Adiprabowo, T.; Hendria, W.F. Non-contact monitoring and classification of breathing pattern for the supervision of people infected by COVID-19. Sensors 2021, 21, 3172. [Google Scholar] [CrossRef] [PubMed]
- Kim, J.; Campbell, A.S.; de Ávila, B.E.-F.; Wang, J. Wearable biosensors for healthcare monitoring. Nat. Biotechnol. 2019, 37, 389–406. [Google Scholar] [CrossRef] [PubMed]
- Nguyen, T.; Khaksari, K.; Khare, S.M.; Park, S.; Anderson, A.A.; Bieda, J.; Jung, E.; Hsu, C.-D.; Romero, R.; Gandjbakhche, A.H. Non-invasive transabdominal measurement of placental oxygenation: A step toward continuous monitoring. Biomed. Opt. Express 2021, 12, 4119–4130. [Google Scholar] [CrossRef] [PubMed]
- Massaroni, C.; Lo Presti, D.; Formica, D.; Silvestri, S.; Schena, E. Non-contact monitoring of breathing pattern and respiratory rate via RGB signal measurement. Sensors 2019, 19, 2758. [Google Scholar] [CrossRef] [PubMed]
- Tobin, M.J.; Chadha, T.S.; Jenouri, G.; Birch, S.J.; Gazeroglu, H.B.; Sackner, M.A. Breathing patterns: 2. Diseased subjects. Chest 1983, 84, 286–294. [Google Scholar] [CrossRef]
- AL-Khalidi, F.Q.; Saatchi, R.; Burke, D.; Elphick, H.; Tan, S. Respiration rate monitoring methods: A review. Pediatr. Pulmonol. 2011, 46, 523–529. [Google Scholar] [CrossRef]
- Nicolò, A.; Massaroni, C.; Schena, E.; Sacchetti, M. The importance of respiratory rate monitoring: From healthcare to sport and exercise. Sensors 2020, 20, 6396. [Google Scholar] [CrossRef]
- Cretikos, M.A.; Bellomo, R.; Hillman, K.; Chen, J.; Finfer, S.; Flabouris, A. Respiratory rate: The neglected vital sign. Med. J. Aust. 2008, 188, 657–659. [Google Scholar] [CrossRef] [PubMed]
- Rohmetra, H.; Raghunath, N.; Narang, P.; Chamola, V.; Guizani, M.; Lakkaniga, N.R. AI-enabled remote monitoring of vital signs for COVID-19: Methods, prospects and challenges. Computing 2023, 105, 783–809. [Google Scholar] [CrossRef]
- Costanzo, I.; Sen, D.; Rhein, L.; Guler, U. Respiratory monitoring: Current state of the art and future roads. IEEE Rev. Biomed. Eng. 2020, 15, 103–121. [Google Scholar] [CrossRef] [PubMed]
- Qi, W.; Aliverti, A. A multimodal wearable system for continuous and real-time breathing pattern monitoring during daily activity. IEEE J. Biomed. Health Inform. 2019, 24, 2199–2207. [Google Scholar] [CrossRef] [PubMed]
- Torjesen, I. COVID-19: Patients to use pulse oximetry at home to spot deterioration. BMJ 2020, 71, m4151. [Google Scholar] [CrossRef]
- Todd, B. Pulse oximetry may be inaccurate in patients with darker skin. Am. J. Nurs. 2021, 121, 16. [Google Scholar]
- Takegawa, R.; Hayashida, K.; Rolston, D.M.; Li, T.; Miyara, S.J.; Ohnishi, M.; Shiozaki, T.; Becker, L.B. Near-infrared spectroscopy assessments of regional cerebral oxygen saturation for the prediction of clinical outcomes in patients with cardiac arrest: A review of clinical impact, evolution, and future directions. Front. Med. 2020, 7, 587930. [Google Scholar] [CrossRef] [PubMed]
- Samraj, R.S.; Nicolas, L. Near infrared spectroscopy (NIRS) derived tissue oxygenation in critical illness. Clin. Investig. Med. 2015, 38, E285–E295. [Google Scholar] [CrossRef] [PubMed]
- Cheung, A.; Tu, L.; Macnab, A.; Kwon, B.K.; Shadgan, B. Detection of hypoxia by near-infrared spectroscopy and pulse oximetry: A comparative study. J. Biomed. Opt. 2022, 27, 077001. [Google Scholar] [CrossRef]
- Koonin, E.V.; Krupovic, M.; Agol, V.I. The Baltimore classification of viruses 50 years later: How does it stand in the light of virus evolution? Microbiol. Mol. Biol. Rev. 2021, 85, e00053-21. [Google Scholar] [CrossRef]
- Monto, A.S.; Gravenstein, S.; Elliott, M.; Colopy, M.; Schweinle, J. Clinical signs and symptoms predicting influenza infection. Arch. Intern. Med. 2000, 160, 3243–3247. [Google Scholar] [CrossRef] [PubMed]
- Piret, J.; Boivin, G. Pandemics throughout history. Front. Microbiol. 2021, 11, 631736. [Google Scholar] [CrossRef] [PubMed]
- Wang, J.; Zhou, M.; Liu, F. Reasons for healthcare workers becoming infected with novel coronavirus disease 2019 (COVID-19) in China. J. Hosp. Infect. 2020, 105, 100–101. [Google Scholar] [CrossRef] [PubMed]
- Lewnard, J.A.; Lo, N.C. Scientific and ethical basis for social-distancing interventions against COVID-19. Lancet Infect. Dis. 2020, 20, 631–633. [Google Scholar] [CrossRef] [PubMed]
- Salathé, M.; Althaus, C.L.; Neher, R.; Stringhini, S.; Hodcroft, E.; Fellay, J.; Zwahlen, M.; Senti, G.; Battegay, M.; Wilder-Smith, A. COVID-19 epidemic in Switzerland: On the importance of testing, contact tracing and isolation. Swiss Med. Wkly. 2020, 150, w20225. [Google Scholar] [CrossRef] [PubMed]
- Kim, P.S.; Read, S.W.; Fauci, A.S. Therapy for early COVID-19: A critical need. JAMA 2020, 324, 2149–2150. [Google Scholar] [CrossRef] [PubMed]
- Shafi, I.; Din, S.; Farooq, S.; Díez, I.d.l.T.; Breñosa, J.; Espinosa, J.C.M.; Ashraf, I. Design and development of patient health tracking, monitoring and big data storage using Internet of Things and real time cloud computing. PLoS ONE 2024, 19, e0298582. [Google Scholar] [CrossRef]
- Shafi, I.; Ansari, S.; Din, S.; Jeon, G.; Paul, A. Artificial neural networks as clinical decision support systems. Concurr. Comput. Pract. Exp. 2021, 33, e6342. [Google Scholar] [CrossRef]
- Fasihfar, Z.; Rokhsati, H.; Sadeghsalehi, H.; Ghaderzadeh, M.; Gheisari, M. AI-driven malaria diagnosis: Developing a robust model for accurate detection and classification of malaria parasites. Iran. J. Blood Cancer 2023, 15, 112–124. [Google Scholar] [CrossRef]
- Ghaderzadeh, M.; Asadi, F.; Ramezan Ghorbani, N.; Almasi, S.; Taami, T. Toward artificial intelligence (AI) applications in the determination of COVID-19 infection severity: Considering AI as a disease control strategy in future pandemics. Iran. J. Blood Cancer 2023, 15, 93–111. [Google Scholar] [CrossRef]
- Shah, V.; Keniya, R.; Shridharani, A.; Punjabi, M.; Shah, J.; Mehendale, N. Diagnosis of COVID-19 using CT scan images and deep learning techniques. Emerg. Radiol. 2021, 28, 497–505. [Google Scholar] [CrossRef] [PubMed]
- Hong, J.-W.; Kim, S.-H.; Han, G.-T. Detection of multiple respiration patterns based on 1D SNN from continuous human breathing signals and the range classification method for each respiration pattern. Sensors 2023, 23, 5275. [Google Scholar] [CrossRef] [PubMed]
- Kim, J.; Kim, J. Classification of Breathing Signals According to Human Motions by Combining 1D Convolutional Neural Network and Embroidered Textile Sensor. Sensors 2023, 23, 5736. [Google Scholar] [CrossRef] [PubMed]
- Conway, A.; Goudarzi Rad, M.; Zhou, W.; Parotto, M.; Jungquist, C. Deep learning classification of capnography waveforms: Secondary analysis of the PRODIGY study. J. Clin. Monit. Comput. 2023, 37, 1327–1339. [Google Scholar] [CrossRef] [PubMed]
- Mah, A.J.; Nguyen, T.; Ghazi Zadeh, L.; Shadgan, A.; Khaksari, K.; Nourizadeh, M.; Zaidi, A.; Park, S.; Gandjbakhche, A.H.; Shadgan, B. Optical Monitoring of breathing patterns and tissue oxygenation: A potential application in COVID-19 screening and monitoring. Sensors 2022, 22, 7274. [Google Scholar] [CrossRef] [PubMed]
- Park, J.; Mah, A.J.; Nguyen, T.; Park, S.; Ghazi Zadeh, L.; Shadgan, B.; Gandjbakhche, A.H. Modification of a conventional deep learning model to classify simulated breathing patterns: A step toward real-time monitoring of patients with respiratory infectious diseases. Sensors 2023, 23, 5592. [Google Scholar] [CrossRef]
- Bengio, Y.; Simard, P.; Frasconi, P. Learning long-term dependencies with gradient descent is difficult. IEEE Trans. Neural Netw. 1994, 5, 157–166. [Google Scholar] [CrossRef] [PubMed]
- Glorot, X.; Bengio, Y. Understanding the difficulty of training deep feedforward neural networks. In Proceedings of the Thirteenth International Conference on Artificial Intelligence and Statistics, Sardinia, Italy, 13–15 May 2010; pp. 249–256. [Google Scholar]
- Basodi, S.; Ji, C.; Zhang, H.; Pan, Y. Gradient amplification: An efficient way to train deep neural networks. Big Data Min. Anal. 2020, 3, 196–207. [Google Scholar] [CrossRef]
- He, K.; Zhang, X.; Ren, S.; Sun, J. Identity mappings in deep residual networks. In Proceedings of the Computer Vision–ECCV 2016: 14th European Conference, Amsterdam, The Netherlands, 11–14 October 2016; Proceedings, Part IV 14. Springer: Berlin/Heidelberg, Germany, 2016; pp. 630–645. [Google Scholar]
- LeCun, Y.; Boser, B.; Denker, J.S.; Henderson, D.; Howard, R.E.; Hubbard, W.; Jackel, L.D. Backpropagation applied to handwritten zip code recognition. Neural Comput. 1989, 1, 541–551. [Google Scholar] [CrossRef]
- Robbins, H.; Monro, S. A stochastic approximation method. Ann. Math. Stat. 1951, 22, 400–407. [Google Scholar] [CrossRef]
- Nair, V.; Hinton, G.E. Rectified linear units improve restricted boltzmann machines. In Proceedings of the 27th International Conference on Machine Learning (ICML-10), Haifa, Israel, 21–24 June 2010; pp. 807–814. [Google Scholar]
- Ioffe, S.; Szegedy, C. Batch normalization: Accelerating deep network training by reducing internal covariate shift. In Proceedings of the International Conference on Machine Learning, Lille, France, 6–11 July 2015; pp. 448–456. [Google Scholar]
- Dumoulin, V.; Visin, F. A guide to convolution arithmetic for deep learning. arXiv 2016, arXiv:1603.07285. [Google Scholar]
- Zeiler, M.D.; Krishnan, D.; Taylor, G.W.; Fergus, R. Deconvolutional networks. In Proceedings of the 2010 IEEE Computer Society Conference on Computer Vision and Pattern Recognition, San Francisco, CA, USA, 13–18 June 2010; pp. 2528–2535. [Google Scholar]
- Shorten, C.; Khoshgoftaar, T.M. A survey on image data augmentation for deep learning. J. Big Data 2019, 6, 60. [Google Scholar] [CrossRef]
- Mumuni, A.; Mumuni, F. Data augmentation: A comprehensive survey of modern approaches. Array 2022, 16, 100258. [Google Scholar] [CrossRef]
- Feng, S.Y.; Gangal, V.; Wei, J.; Chandar, S.; Vosoughi, S.; Mitamura, T.; Hovy, E. A survey of data augmentation approaches for NLP. arXiv 2021, arXiv:2105.03075. [Google Scholar]
- Wen, Q.; Sun, L.; Yang, F.; Song, X.; Gao, J.; Wang, X.; Xu, H. Time series data augmentation for deep learning: A survey. arXiv 2020, arXiv:2002.12478. [Google Scholar]
- Ho, T.K. Random decision forests. In Proceedings of the 3rd International Conference on Document Analysis and Recognition, Montreal, QC, Canada, 14–16 August 1995; pp. 278–282. [Google Scholar]
- Tan, M.; Le, Q. Efficientnetv2: Smaller models and faster training. In Proceedings of the International Conference on Machine Learning, Virtual, 18–24 July 2021; pp. 10096–10106. [Google Scholar]
- Han, D.; Kim, J.; Kim, J. Deep pyramidal residual networks. In Proceedings of the IEEE Conference on Computer Vision and Pattern Recognition, Honolulu, HI, USA, 21–26 July 2017; pp. 5927–5935. [Google Scholar]
- Park, J.; Kim, H.; Paik, J. Cf-cnn: Coarse-to-fine convolutional neural network. Appl. Sci. 2021, 11, 3722. [Google Scholar] [CrossRef]
- Long, X.; Deng, K.; Wang, G.; Zhang, Y.; Dang, Q.; Gao, Y.; Shen, H.; Ren, J.; Han, S.; Ding, E. PP-YOLO: An effective and efficient implementation of object detector. arXiv 2020, arXiv:2007.12099. [Google Scholar]
- Tan, M.; Pang, R.; Le, Q.V. Efficientdet: Scalable and efficient object detection. In Proceedings of the IEEE/CVF Conference on Computer Vision and Pattern Recognition, Seattle, WA, USA, 13–19 June 2020; pp. 10781–10790. [Google Scholar]
- Kim, S.; Rim, B.; Choi, S.; Lee, A.; Min, S.; Hong, M. Deep learning in multi-class lung diseases’ classification on chest X-ray images. Diagnostics 2022, 12, 915. [Google Scholar] [CrossRef]
- Paoletti, M.E.; Haut, J.M.; Fernandez-Beltran, R.; Plaza, J.; Plaza, A.J.; Pla, F. Deep pyramidal residual networks for spectral–spatial hyperspectral image classification. IEEE Trans. Geosci. Remote Sens. 2018, 57, 740–754. [Google Scholar] [CrossRef]






| Group Name | Input Size Output Size | Block Structure (Kernel Size, Number) | Block Number | |
|---|---|---|---|---|
| Encoder | Stage 0 | 1 × 384 1 × 96 | 1 × 7, 16 | 1 |
| Stage 1 | 1 × 96 1 × 32 | 1 × 7, 16 | 1 | |
| Stage 2 | 1 × 32 1 × 32 | 1 × 1, 16 1 × 3, 16 1 × 1, 64 | 5 | |
| Stage 3 | 1 × 32 1 × 16 | 1 × 1, 32 1 × 3, 32 1 × 1, 128 | 5 | |
| Decoder | Stage 0 | 1 × 16 1 × 32 | 1 × 1, 128 1 × 3, 32 1 × 1, 32 | 5 |
| Stage 1 | 1 × 32 1 × 32 | 1 × 1, 64 1 × 3, 16 1 × 1, 16 | 5 | |
| Stage 2 | 1 × 32 1 × 96 | 1 × 5, 16 | 1 | |
| Stage 3 | 1 × 96 1 × 384 | 1 × 7, 4 | 1 |
| Group Name | Input Size Output Size | Block Structure (Kernel Size, Number) | Block Number |
|---|---|---|---|
| Stage 0 | 1 × 384 1 × 96 | 1 × 7, 16 | 1 |
| Stage 1 | 1 × 96 1 × 32 | 1 × 7, 16 | 1 |
| Stage 2 | 1 × 32 1 × 32 | 1 × 1, 16 1 × 3, 16 1 × 1, 64 | 22 |
| Stage 3 | 1 × 32 1 × 16 | 1 × 1, 32 1 × 3, 32 1 × 1, 128 | 11 |
| Concatenation | 1 × 16 → 1 × 32 | - | - |
| Stage 4 | 1 × 32 1 × 16 | 1 × 1, 32 1 × 3, 32 1 × 1, 128 | 11 |
| Stage 5 | 1 × 16 1 × 8 | 1 × 1, 64 1 × 3, 64 1 × 1, 256 | 22 |
| Average pooling | 1 × 8 1 × 256 | 1 × 8 | 1 |
| Fully connected layer | 1 × 256 Class number | - | 1 |
| Method | Mean Accuracy (%) | STD | Best Accuracy (%) |
|---|---|---|---|
| TCNN (201 layers) | 94.00 | 0.449 | 94.63 |
| TCNN (without data augmentation) (201 layers) | 88.51 | 0.337 | 89.04 |
| SCNN (201 layers) | 91.50 | 0.458 | 92.04 |
| SCNN (264 layers) | 91.13 | 0.443 | 91.74 |
| Method | Number of Parameters | FLOP (for 1 Sample) | Mean Accuracy (%) | STD | Best Accuracy (%) |
|---|---|---|---|---|---|
| Random Forest [64] | - | - | 88.10 | 0.321 | 88.49 |
| 1D Pre-ResNet (200 layers) [49] | 1.36 M | 14.8 M | 90.98 | 0.428 | 91.54 |
| EfficientNetV2-M [65] | 52 M | 61.6 M | 93.96 | 0.459 | 94.45 |
| PyramidNet [66] | 17 M | 198 M | 89.74 | 0.412 | 90.17 |
| CF-CNN [67] | 29.7 M | 244 M | 91.51 | 0.406 | 92.01 |
| Proposed Method | 1.53 M | 16.4 M | 94.00 | 0.449 | 94.63 |
Disclaimer/Publisher’s Note: The statements, opinions and data contained in all publications are solely those of the individual author(s) and contributor(s) and not of MDPI and/or the editor(s). MDPI and/or the editor(s) disclaim responsibility for any injury to people or property resulting from any ideas, methods, instructions or products referred to in the content. |
© 2024 by the authors. Licensee MDPI, Basel, Switzerland. This article is an open access article distributed under the terms and conditions of the Creative Commons Attribution (CC BY) license (https://creativecommons.org/licenses/by/4.0/).
Share and Cite
Park, J.; Nguyen, T.; Park, S.; Hill, B.; Shadgan, B.; Gandjbakhche, A. Two-Stream Convolutional Neural Networks for Breathing Pattern Classification: Real-Time Monitoring of Respiratory Disease Patients. Bioengineering 2024, 11, 709. https://doi.org/10.3390/bioengineering11070709
Park J, Nguyen T, Park S, Hill B, Shadgan B, Gandjbakhche A. Two-Stream Convolutional Neural Networks for Breathing Pattern Classification: Real-Time Monitoring of Respiratory Disease Patients. Bioengineering. 2024; 11(7):709. https://doi.org/10.3390/bioengineering11070709
Chicago/Turabian StylePark, Jinho, Thien Nguyen, Soongho Park, Brian Hill, Babak Shadgan, and Amir Gandjbakhche. 2024. "Two-Stream Convolutional Neural Networks for Breathing Pattern Classification: Real-Time Monitoring of Respiratory Disease Patients" Bioengineering 11, no. 7: 709. https://doi.org/10.3390/bioengineering11070709
APA StylePark, J., Nguyen, T., Park, S., Hill, B., Shadgan, B., & Gandjbakhche, A. (2024). Two-Stream Convolutional Neural Networks for Breathing Pattern Classification: Real-Time Monitoring of Respiratory Disease Patients. Bioengineering, 11(7), 709. https://doi.org/10.3390/bioengineering11070709

