Suitable Heel Height, a Potential Method for Musculoskeletal Problems during the Third Trimester: A Pilot Study
Abstract
1. Introduction
2. Materials and Methods
2.1. Participants
2.2. Procedures
2.3. Musculoskeletal Model Construction
2.4. Data Processing and Statistical Analysis
3. Results
3.1. Muscle Force
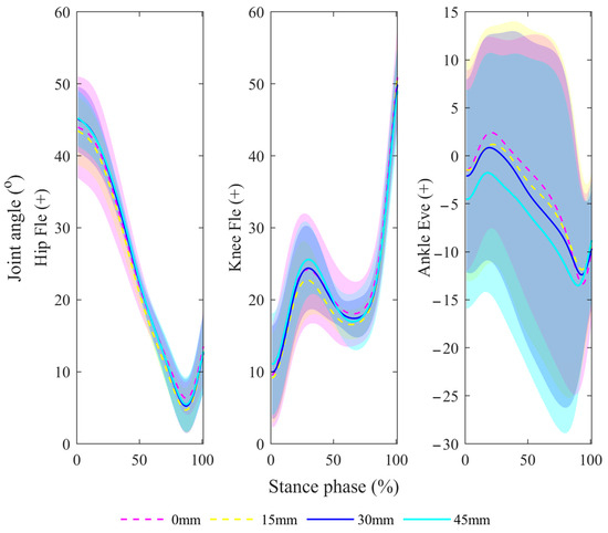
3.2. Joint Angle
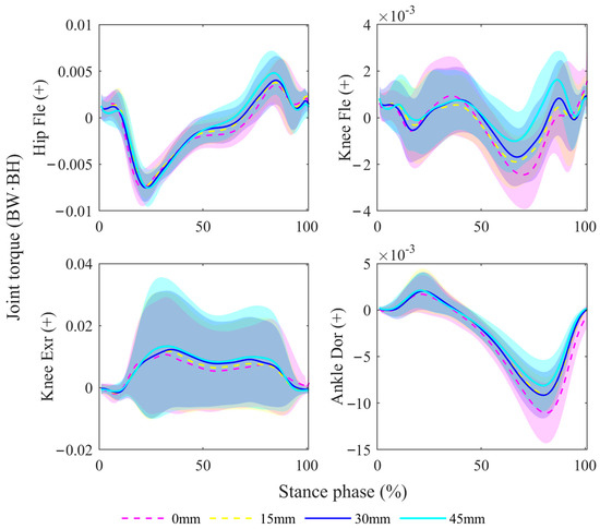
3.3. Joint Torque
3.4. Joint Contact Forces and GRF
4. Discussion
5. Conclusions
Author Contributions
Funding
Institutional Review Board Statement
Informed Consent Statement
Data Availability Statement
Conflicts of Interest
References
- Forczek, W.; Ivanenko, Y.; Salamaga, M.; Sylos-Labini, F.; Frączek, B.; Masłoń, A.; Curyło, M.; Suder, A. Pelvic movements during walking throughout gestation—The relationship between morphology and kinematic parameters. Clin. Biomech. 2020, 71, 146–151. [Google Scholar] [CrossRef] [PubMed]
- Abbassi-Ghanavati, M.; Greer, L.G.; Cunningham, F.G. Pregnancy and laboratory studies: A reference table for clinicians. Obstet. Gynecol. 2009, 114, 1326–1331. [Google Scholar] [CrossRef] [PubMed]
- Alexander, S.E.; Pollock, A.C.; Lamon, S. The effect of sex hormones on skeletal muscle adaptation in females. Eur. J. Sport Sci. 2022, 22, 1035–1045. [Google Scholar] [CrossRef]
- Chu, S.R.; Boyer, E.H.; Beynnon, B.; Segal, N.A. Pregnancy results in lasting changes in knee joint laxity. PM R 2019, 11, 117–124. [Google Scholar] [CrossRef]
- Letompa, S.; Khanyile, L.; Mathivha, T.; Purbhoo, M. Foot health status in pregnant women. Foot 2023, 55, 101938. [Google Scholar] [CrossRef]
- Karadag-Saygi, E.; Unlu-Ozkan, F.; Basgul, A. Plantar pressure and foot pain in the last trimester of pregnancy. Foot Ankle Int. 2010, 31, 153–157. [Google Scholar] [CrossRef]
- Mei, Q.; Gu, Y.; Fernandez, J. Alterations of pregnant gait during pregnancy and post-partum. Sci. Rep. 2018, 8, 2217. [Google Scholar] [CrossRef]
- Bernstein, C.; Takoudes, T.C. Musculoskeletal Pain in Pregnancy; Springer International Publishing AG: Cham, Switzerland, 2017; pp. 139–153. [Google Scholar]
- Branthwaite, H.; Chockalingam, N. Everyday footwear: An overview of what we know and what we should know on ill-fitting footwear and associated pain and pathology. Foot 2019, 39, 11–14. [Google Scholar] [CrossRef] [PubMed]
- Bishop, A.; Holden, M.A.; Ogollah, R.O.; Foster, N.E.; Team, E.B.S. Current management of pregnancy-related low back pain: A national cross-sectional survey of U.K. physiotherapists. Physiotherapy 2016, 102, 78–85. [Google Scholar] [CrossRef]
- Bo, K.; Artal, R.; Barakat, R.; Brown, W.; Davies, G.A.; Dooley, M.; Evenson, K.R.; Haakstad, L.A.; Henriksson-Larsen, K.; Kayser, B.; et al. Exercise and pregnancy in recreational and elite athletes: 2016 evidence summary from the IOC expert group meeting, Lausanne. Part 1-exercise in women planning pregnancy and those who are pregnant. Br. J. Sports Med. 2016, 50, 571–589. [Google Scholar] [CrossRef]
- Takeda, K.; Shimizu, K.; Imura, M. Changes in balance strategy in the third trimester. J. Phys. Ther. Sci. 2015, 27, 1813–1817. [Google Scholar] [CrossRef] [PubMed]
- Branco, M.; Santos-Rocha, R.; Aguiar, L.; Vieira, F.; Veloso, A. Kinematic analysis of gait in the second and third trimesters of pregnancy. J. Pregnancy 2013, 2013, 718095. [Google Scholar] [CrossRef] [PubMed]
- Chiou, W.-K.; Chiu, H.-T.; Chao, A.-S.; Wang, M.-H.; Chen, Y.-L. The influence of body mass on foot dimensions during pregnancy. Appl. Ergon. 2015, 46, 212–217. [Google Scholar] [CrossRef] [PubMed]
- Corrigan, J.P.; Moore, D.P.; Stephens, M.M. Effect of Heel Height on Forefoot Loading. Foot Ankle 1993, 14, 148–152. [Google Scholar] [CrossRef] [PubMed]
- Dunning, K.; LeMasters, G.; Bhattacharya, A. A major public health issue: The high incidence of falls during pregnancy. Matern. Child Health J. 2010, 14, 720–725. [Google Scholar] [CrossRef] [PubMed]
- Foster, A.; Blanchette, M.G.; Chou, Y.-C.; Powers, C.M. The influence of heel height on hrontal plane ankle biomechanics: Implications for lateral ankle sprains. Foot Ankle Int. 2012, 33, 64–69. [Google Scholar] [CrossRef] [PubMed]
- Lee, C. The effects of lower extremity angle according to heel-height changes in young ladies in their 20s during gait. J. Phys. Ther. Sci. 2014, 26, 1055–1058. [Google Scholar] [CrossRef] [PubMed]
- Mika, A.; Oleksy, Ł.; Mika, P.; Marchewka, A.; Clark, B.C. The influence of heel height on lower extremity kinematics and leg muscle activity during gait in young and middle-aged women. Gait Posture 2012, 35, 677–680. [Google Scholar] [CrossRef] [PubMed]
- Sinclair, J.; Brooks, D.; Butters, B. Effects of different heel heights on lower extremity joint loading in experienced and in-experienced users: A musculoskeletal simulation analysis. Sport Sci. Health 2019, 15, 237–248. [Google Scholar] [CrossRef]
- Hapsari, V.D.; Xiong, S. Effects of high heeled shoes wearing experience and heel height on human standing balance and functional mobility. Ergonomics 2016, 59, 249–264. [Google Scholar] [CrossRef]
- Bahrizal, A.R.; Meiyanti, M. Association Between Heel-Height and Low Back Pain in Sales Promotion Girls. JKKI (J. Kedokt. Dan Kesehat. Indones.) 2017, 8, 198–204. [Google Scholar] [CrossRef][Green Version]
- Michoński, J.; Witkowski, M.; Glinkowska, B.; Sitnik, R.; Glinkowski, W. Decreased vertical trunk inclination angle and pelvic inclination as the result of mid-high-heeled footwear on static posture parameters in asymptomatic young adult women. Int. J. Environ. Res. Public Health 2019, 16, 4556. [Google Scholar] [CrossRef] [PubMed]
- Yu, Q.; Huang, H.; Zhang, Z.; Hu, X.; Li, W.; Li, L.; Chen, M.; Liang, Z.; Lo, W.L.A.; Wang, C. The association between pelvic asymmetry and non-specific chronic low back pain as assessed by the global postural system. BMC Musculoskelet. Disord. 2020, 21, 596. [Google Scholar] [CrossRef] [PubMed]
- Seeley, M.K.; Umberger, B.R.; Shapiro, R. A test of the functional asymmetry hypothesis in walking. Gait Posture 2008, 28, 24–28. [Google Scholar] [CrossRef] [PubMed]
- Cen, X.; Lu, Z.; Baker, J.S.; István, B.; Gu, Y. A comparative biomechanical analysis during planned and unplanned gait termination in individuals with different arch stiffnesses. Appl. Sci. 2021, 11, 1871. [Google Scholar] [CrossRef]
- Damsgaard, M.; Rasmussen, J.; Christensen, S.T.; Surma, E.; de Zee, M. Analysis of musculoskeletal systems in the AnyBody Modeling System. Simul. Model. Pract. Theory 2006, 14, 1100–1111. [Google Scholar] [CrossRef]
- Klein Horsman, M.D.; Koopman, H.F.; van der Helm, F.C.T.; Prose, L.P.; Veeger, H.E.J. Morphological muscle and joint parameters for musculoskeletal modelling of the lower extremity. Clin. Biomech. 2007, 22, 239–247. [Google Scholar] [CrossRef] [PubMed]
- Rasmussen, J.; de Zee, M.; Damsgaard, M.; Christensen, S.T.; Marek, C.; Siebertz, K. A general method for scaling musculo-skeletal models. In Proceedings of the 2005 International Symposium on Computer Simulation in Biomechanics, Cleveland, OH, USA, 24–28 July 2005. [Google Scholar]
- Peng, Y.; Niu, W.; Wong, D.W.-C.; Wang, Y.; Chen, T.L.-W.; Zhang, G.; Tan, Q.; Zhang, M. Biomechanical comparison among five mid/hindfoot arthrodeses procedures in treating flatfoot using a musculoskeletal multibody driven finite element model. Comput. Methods Programs Biomed. 2021, 211, 106408. [Google Scholar] [CrossRef]
- Peng, Y.; Zhang, Z.; Gao, Y.; Chen, Z.; Xin, H.; Zhang, Q.; Fan, X.; Jin, Z. Concurrent prediction of ground reaction forces and moments and tibiofemoral contact forces during walking using musculoskeletal modelling. Med. Eng. Phys. 2018, 52, 31–40. [Google Scholar] [CrossRef]
- Inman, V.T.; Ralston, H.J.; Todd, F.; Lieberman, J.C. Human Walking; Williams & Wilkins: Baltimore, MD, USA, 1981. [Google Scholar]
- Bagwell, J.J.; Reynolds, N.; Walaszek, M.; Runez, H.; Lam, K.; Armour Smith, J.; Katsavelis, D. Lower extremity kinetics and muscle activation during gait are significantly different during and after pregnancy compared to nulliparous females. Gait Posture 2020, 81, 33–40. [Google Scholar] [CrossRef]
- Foti, T.; Davids, J.R.; Bagley, A. A biomechanical analysis of gait during pregnancy. JBJS 2000, 82, 625. [Google Scholar] [CrossRef]
- Onyemaechi, N.O.; Chigbu, C.O.; Ugwu, E.O.; Omoke, N.I.; Lasebikan, O.A.; Ozumba, B.C. Prevalence and risk factors associated with musculoskeletal disorders among pregnant women in Enugu Nigeria. Niger. J. Clin. Pract. 2021, 24, 1573–1581. [Google Scholar] [CrossRef]
- Allen, R.E.; Kirby, K.A. Nocturnal leg cramps. Am. Fam. Physician 2012, 86, 350–355. [Google Scholar] [PubMed]
- Ramachandra, P.; Maiya, A.G.; Kumar, P.; Kamath, A. Prevalence of musculoskeletal dysfunctions among Indian pregnant women. J. Pregnancy 2015, 2015, 437105. [Google Scholar] [CrossRef] [PubMed]
- Murdock, C.J.; Munjal, A.; Agyeman, K. Anatomy, Bony Pelvis and Lower Limb, Calf Flexor Hallucis Longus Muscle. Available online: https://www.ncbi.nlm.nih.gov/books/NBK539776/ (accessed on 13 June 2024).
- Segal, N.A.; Boyer, E.R.; Teran-Yengle, P.; Glass, N.A.; Hillstrom, H.J.; Yack, H.J. Pregnancy leads to lasting changes in foot structure. Am. J. Phys. Med. Rehabil. 2013, 92, 232–240. [Google Scholar] [CrossRef] [PubMed]
- Kohls-Gatzoulis, J.; Angel, J.C.; Singh, D.; Haddad, F.; Livingstone, J.; Berry, G. Tibialis posterior dysfunction: A common and treatable cause of adult acquired flatfoot. BMJ 2004, 329, 1328–1333. [Google Scholar] [CrossRef]
- Ferber, R.; Pohl, M.B. Changes in joint coupling and variability during walking following tibialis posterior muscle fatigue. J. Foot Ankle Res. 2011, 4, 6. [Google Scholar] [CrossRef]
- Stuge, B.; Lærum, E.; Kirkesola, G.; Vøllestad, N. The efficacy of a treatment program focusing on specific stabilizing exercises for pelvic girdle pain after pregnancy: A randomized controlled trial. Spine 2004, 29, 351–359. [Google Scholar] [CrossRef] [PubMed]
- Chen, H.; D’Onofrio, G.; Hameed, F. Role of exercise treatment of low back pain in pregnancy. Curr. Phys. Med. Rehabil. Rep. 2020, 8, 322–328. [Google Scholar] [CrossRef]
- Bewyer, K.J.; Bewyer, D.C.; Messenger, D.; Kennedy, C.M. Pilot data: Association between gluteus medius weakness and low back pain during pregnancy. Iowa Orthop. J. 2009, 29, 97–99. [Google Scholar]
- Meinders, E.; Pizzolato, C.; Gonçalves, B.; Lloyd, D.G.; Saxby, D.J.; Diamond, L.E. Activation of the deep hip muscles can change the direction of loading at the hip. J. Biomech. 2022, 135, 111019. [Google Scholar] [CrossRef] [PubMed]
- Chang, C.; Jeno, S.H.; Varacallo, M. Anatomy, Bony Pelvis and Lower Limb, Piriformis Muscle. Available online: https://www.ncbi.nlm.nih.gov/books/NBK519497/ (accessed on 16 June 2024).
- Retchford, T.; Crossley, K.M.; Grimaldi, A.; Kemp, J.L.; Cowan, S.M. Can local muscles augment stability in the hip? A narrative literature review. J. Musculoskelet. Neuronal Interact. 2013, 13, 1–12. [Google Scholar] [PubMed]
- Leung, F.T.; Mendis, M.D.; Stanton, W.R.; Hides, J.A. The relationship between the piriformis muscle, low back pain, lower limb injuries and motor control training among elite football players. J. Sci. Med. Sport 2015, 18, 407–411. [Google Scholar] [CrossRef] [PubMed]
- Lillemon, J.N.; Nardos, R.; Kaul, M.P.; Johnson, A.N.; Choate, A.; Clark, A.L. Complex female pelvic pain: A case series from a multidisciplinary clinic in urogynecology and physiatry. Urogynecology 2019, 25, e34–e39. [Google Scholar] [CrossRef] [PubMed]
- Gudena, R.; Alzahrani, A.; Railton, P.; Powell, J.; Ganz, R. The anatomy and function of the obturator externus. Hip Int. 2015, 25, 424–427. [Google Scholar] [CrossRef]
- Monaghan, K.; Delahunt, E.; Caulfield, B. Ankle function during gait in patients with chronic ankle instability compared to controls. Clin. Biomech. 2006, 21, 168–174. [Google Scholar] [CrossRef] [PubMed]
- Konradsen, L.; Voigt, M. Inversion injury biomechanics in functional ankle instability: A cadaver study of simulated gait. Scand. J. Med. Sci. Sports 2002, 12, 329–336. [Google Scholar] [CrossRef] [PubMed]
- Koshino, Y.; Ishida, T.; Yamanaka, M.; Samukawa, M.; Kobayashi, T.; Tohyama, H. Toe-in landing increases the ankle inversion angle and moment during single-leg landing: Implications in the prevention of lateral ankle sprains. J. Sport Rehabil. 2017, 26, 530–535. [Google Scholar] [CrossRef]
- Li, X.; Lu, Z.; Cen, X.; Zhou, Y.; Xuan, R.; Sun, D.; Gu, Y. Effect of pregnancy on female gait characteristics: A pilot study based on portable gait analyzer and induced acceleration analysis. Front. Physiol. 2023, 14, 1034132. [Google Scholar] [CrossRef]
- Wong, D.W.-C.; Wang, Y.; Leung, A.K.-L.; Yang, M.; Zhang, M. Finite element simulation on posterior tibial tendinopathy: Load transfer alteration and implications to the onset of pes planus. Clin. Biomech. 2018, 51, 10–16. [Google Scholar] [CrossRef]
- Schepsis, A.A.; Jones, H.; Haas, A.L. Achilles tendon disorders in athletes. Am. J. Sports Med. 2002, 30, 287–305. [Google Scholar] [CrossRef] [PubMed]
- Yu, J.; Wong, D.W.-C.; Zhang, H.; Luo, Z.-P.; Zhang, M. The influence of high-heeled shoes on strain and tension force of the anterior talofibular ligament and plantar fascia during balanced standing and walking. Med. Eng. Phys. 2016, 38, 1152–1156. [Google Scholar] [CrossRef] [PubMed]
- Agyekum, E.K.; Ma, K. Heel pain: A systematic review. Chin. J. Traumatol. 2015, 18, 164–169. [Google Scholar] [CrossRef] [PubMed]
- Bird, A.R.; Bendrups, A.P.; Payne, C.B. The effect of foot wedging on electromyographic activity in the erector spinae and gluteus medius muscles during walking. Gait Posture 2003, 18, 81–91. [Google Scholar] [CrossRef] [PubMed]







| Age (years) | Height (cm) | Weight (kg) | Pregnant Period (weeks) | Abdomen Circumference (cm) | |
|---|---|---|---|---|---|
| 1 | 27 | 160 | 69 | 34.43 | 99 |
| 2 | 28 | 165 | 57 | 30.71 | 91 |
| 3 | 28 | 158 | 70 | 34.57 | 103 |
| 4 | 35 | 168 | 75 | 36.86 | 107 |
| 5 | 30 | 158 | 59 | 35 | 94 |
| Mean ± SD | 29.6 ± 3.21 | 161.8 ± 4.49 | 66 ± 7.68 | 34.31 ± 2.24 | 98.8 ± 6.5 |
| Parameter | 0 vs. 15 mm | 0 vs. 30 mm | 0 vs. 45 mm | 15 vs. 30 mm | 15 vs. 45 mm | 30 vs. 45 mm |
|---|---|---|---|---|---|---|
| Muscle force | ||||||
| Soleus | V0 (0.003) | - | V0 (0.014) | - | - | - |
| Gastrocnemius | V0 (0.009) | - | V0 (0.033) | - | - | - |
| Tibialis posterior | V0 (<0.001) | - | - | - | - | - |
| Gluteus minimus | - | - | - | P1 (0.041) | - | - |
| Gluteus maximus | - | - | - | - | V0 (0.015) | - |
| Gemellus superior | P2 (0.006) | - | - | - | - | - |
| Obturator externus | - | - | - | - | V0 (0.012) | - |
| Obturator internus | P2 (0.012) | - | - | - | - | - |
| Plantaris | V0 (0.020) | - | V0 (0.043) | - | - | - |
| Joint angle | ||||||
| Hip flexion | - | - | - | - | R (0.42) | - |
| Knee flexion | - | - | - | - | R (0.016) | - |
| Ankle eversion | - | V0 (0.032) | - | - | P1 (0.002) | P1 (0.013) P2 (0.029) |
| Joint torque | ||||||
| Hip flexion | - | V0 (0.032) | - | - | - | - |
| Knee external rotation | - | - | R (0.017) | - | R (0.028) | - |
| Knee flexion | P2 (0.048) | - | - | - | - | - |
| Ankle dorsiflexion | - | - | P2 (0.017) R (0.02) | - | - | P2 (0.047) |
| Joint contact force | ||||||
| Ankle | - | - | V0 (0.026) | - | P2 (0.041) R 0.035) | - |
Disclaimer/Publisher’s Note: The statements, opinions and data contained in all publications are solely those of the individual author(s) and contributor(s) and not of MDPI and/or the editor(s). MDPI and/or the editor(s) disclaim responsibility for any injury to people or property resulting from any ideas, methods, instructions or products referred to in the content. |
© 2024 by the authors. Licensee MDPI, Basel, Switzerland. This article is an open access article distributed under the terms and conditions of the Creative Commons Attribution (CC BY) license (https://creativecommons.org/licenses/by/4.0/).
Share and Cite
Wei, L.; Wang, Y.; Peng, Y.; Zhang, G.; Tan, Q.; Gu, Y.; Zhang, M. Suitable Heel Height, a Potential Method for Musculoskeletal Problems during the Third Trimester: A Pilot Study. Bioengineering 2024, 11, 667. https://doi.org/10.3390/bioengineering11070667
Wei L, Wang Y, Peng Y, Zhang G, Tan Q, Gu Y, Zhang M. Suitable Heel Height, a Potential Method for Musculoskeletal Problems during the Third Trimester: A Pilot Study. Bioengineering. 2024; 11(7):667. https://doi.org/10.3390/bioengineering11070667
Chicago/Turabian StyleWei, Linjuan, Yan Wang, Yinghu Peng, Guoxin Zhang, Qitao Tan, Yaodong Gu, and Ming Zhang. 2024. "Suitable Heel Height, a Potential Method for Musculoskeletal Problems during the Third Trimester: A Pilot Study" Bioengineering 11, no. 7: 667. https://doi.org/10.3390/bioengineering11070667
APA StyleWei, L., Wang, Y., Peng, Y., Zhang, G., Tan, Q., Gu, Y., & Zhang, M. (2024). Suitable Heel Height, a Potential Method for Musculoskeletal Problems during the Third Trimester: A Pilot Study. Bioengineering, 11(7), 667. https://doi.org/10.3390/bioengineering11070667

