Experimental Lab Tests on Rabbits for the Optimization and Redesign of Low-Cost Equipment for Automated Peritoneal Dialysis
Abstract
1. Introduction
2. Materials and Methods
2.1. Automated Peritoneal Dialysis (APD) Therapy
2.2. Automated Peritoneal Dialysis (APD) Machine
2.3. Testbed for Validation of the APD Machine
2.4. Development of Chronic Kidney Disease (CKD) in Rabbits as a Model of Peritoneal Dialysis
2.5. Catheter Implantation
2.6. Automated Peritoneal Dialysis (APD)
2.7. Uranalysis and Renal Function Evaluation
2.8. Statistical Analysis
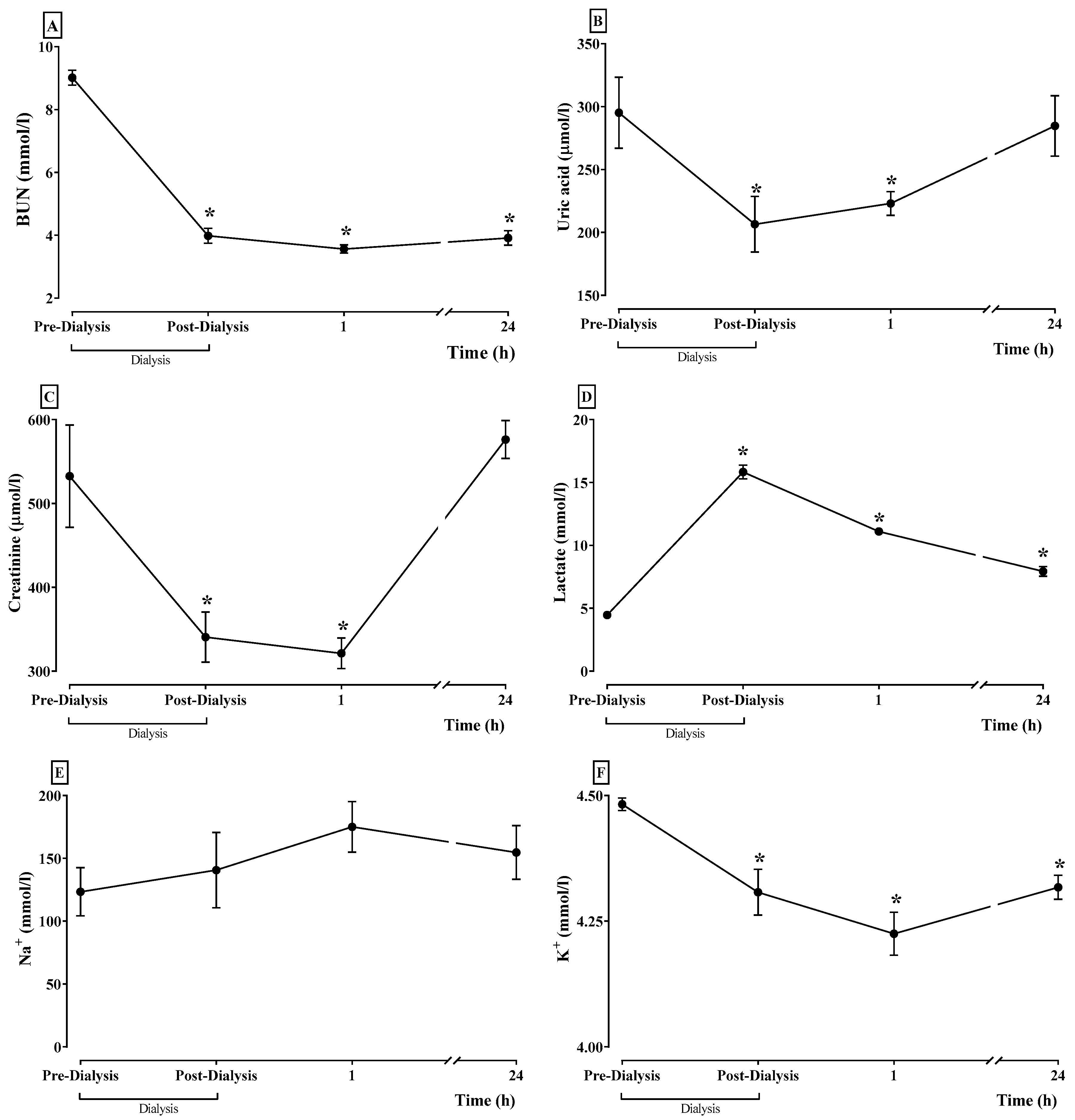
3. Results
- The machine should indicate the optimal height of the work area, which should be elevated next to the patient to minimize pressure leakage from the dialysis bag in the last fluid volumes.
- The peristaltic pumps should be checked to assess the condition of the motor and ensure its functionality during therapy.
- Adding a turbidity sensor should increase the technological level of the machine, and an alarm system should inform the patient if something goes wrong during or after the therapy.
- The sterility of the machine should be increased by changing the materials used in manufacturing to reduce the contamination zones.
- For the final prototype, the machine should be programmed to operate with minimal human intervention.
4. Conclusions
Author Contributions
Funding
Institutional Review Board Statement
Informed Consent Statement
Data Availability Statement
Acknowledgments
Conflicts of Interest
References
- Tanaka, T.; Matsumoto-Okano, S.; Inatomi, N.; Fujioka, Y.; Kamiguchi, H.; Yamaguchi, M.; Imanishi, A.; Kawamoto, M.; Miura, K.; Nishikawa, Y.; et al. Establishment and Validation of a Rabbit Model for In Vivo Pharmacodynamic Screening of Tachykinin NK2 Antagonists. J. Pharmacol. Sci. 2012, 118, 487–495. [Google Scholar] [CrossRef] [PubMed]
- Vanaclocha-Saiz, A.; Vanaclocha, V.; Atienza, C.; Jorda-Gomez, P.; Primo-Capella, V.; Barrios, C.; Vanaclocha, L. Bionate Biocompatibility: In Vivo Study in Rabbits. ACS Omega 2022, 7, 29647–29654. [Google Scholar] [CrossRef] [PubMed]
- Kandárová, H.; Bendova, H.; Letasiova, S.; Coleman, K.P.; De Jong, W.H.; Jírova, D. Evaluation of the medical devices benchmark materials in the controlled human patch testing and in the RhE in vitro skin irritation protocol. Toxicol. Vitr. 2018, 50, 433–438. [Google Scholar] [CrossRef] [PubMed]
- Zamora, M.; Meller, S.; Kajin, F.; Sermon, J.J.; Toth, R.; Benjaber, M.; Dijk, D.-J.; Bogacz, R.; Worrell, G.A.; Valentin, A.; et al. Case Report: Embedding “Digital Chronotherapy” into Medical Devices—A Canine Validation for Controlling Status Epilepticus through Multi-Scale Rhythmic Brain Stimulation. Front. Neurosci. 2021, 15, 734265. [Google Scholar] [CrossRef] [PubMed]
- Bowen RA, R.; Adcock, D.M. Blood collection tubes as medical devices: The potential to affect assays and proposed verification and validation processes for the clinical laboratory. Preanalytical Asp. Lab. Test. 2016, 49, 1321–1330. [Google Scholar] [CrossRef]
- Gómez Fernández, M.V.Á. Validation of a new radial hemostasis protocol with a Syvekpatch device pilot study. Cardiol. Nurs. N 2005, 34, 34–37. [Google Scholar]
- Enciso, S.; Díaz-Güemes, I.; Usón, J.; Sánchez-Margallo, F.M. Validation of an intensive training model in laparoscopic digestive surgery. Cirugía Española 2016, 94, 70–76. [Google Scholar] [CrossRef] [PubMed]
- Limens Pinaque, J. Diseño e Implementación de un Holter Para la Monitorización del Electrocardiograma y la Respiración de un Animal. Universitat Politècnica de València. 2021. Available online: http://hdl.handle.net/10251/165185 (accessed on 2 January 2024).
- Dissanayake, T.D.; Budgett, D.M.; Hu, P.; Bennet, L.; Pyner, S.; Booth, L.; Amirapu, S.; Wu, Y.Y.; Malpas, S.C. Una novela transcutánea a baja temperatura Sistema de Transferencia de Energía Adecuado para Dispositivos Médicos Implantables de Alta Potencia: Desempeño y Validación en Ovinos. Órganos Artif. 2010, 34, E160–E167. [Google Scholar]
- Reina, N.; Trousdale, W.H.; Salib, C.G.; Evertz, L.Q.; Berglund, L.J.; van Wijnen, A.J.; Hewett, T.E.; Berry, C.E.; Berry, D.J.; Morrey, M.E.; et al. Validación de un dispositivo de medición de contractura articular dinámica en un modelo de artrofibrosis en conejo vivo. J. Orthop. Res. 2018, 36, 2186–2192. [Google Scholar] [CrossRef] [PubMed]
- Mogollòn, M.; Medina, L.; Gordgadze, T.; Saaibi, J.F.; Orozco-Levi, M. Tratamiento urgente de la embolia pulmonar aguda mediante el sistema de aspiración por catéter Penumbra®. Acta Colomb. Cuid. Intensivo 2016, 16, 59–65. [Google Scholar] [CrossRef]
- Ramirez, O.; Torres-San-Miguel, C.R.; Ceccarelli, M.; Urriolagoitia-Calderon, G. Experimental characterization of an osteosynthesis implant. In Advances in Mechanism and Machine Science: Proceedings of the 15th IFToMM World Congress on Mechanism and Machine Science 15; Springer International Publishing: Berlin/Heidelberg, Germany, 2019; Volume 73, pp. 53–62. [Google Scholar] [CrossRef]
- Duvareille, C.; Beaudry, B.; St-Hilaire, M.; Boheimier, M.; Brunel, C.; Micheau, P.; Praud, J.P. validation of a new automatic smoking machine to study the effects of cigarette smoke in newborn lambs. Lab. Anim. 2010, 44, 290–297. [Google Scholar] [CrossRef] [PubMed]
- Tan, G.; Xu, J.; Yu, Q.; Yang, Z.; Zhang, H. The safety and efficiency of photodynamic therapy for the treatment of osteosarcoma: A systematic review of in vitro experiment and animal model reports. Photodiagnosis Photodyn. Ther. 2022, 40, 103093. [Google Scholar] [CrossRef] [PubMed]
- Machín, P.; Maykel; Oyarzun, S.; Mario, L.; Cárdenas, B.; de los Ángeles, M.; Rodríguez, M.; Francisco, J.; Evangelina, M.F. Validación de un método in vivo para evaluar la actividad diurética. Rev. Cuba. Investig. Biomédicas 2011, 30, 332–344. [Google Scholar]
- Danish, L.M.; Heistermann, M.; Agil, M.; Engelhardt, A. Validation of a Novel Collection Device for Non-Invasive Urine Sampling from Free-Ranging Animals. PLoS ONE 2015, 10, e0142051. [Google Scholar] [CrossRef] [PubMed][Green Version]
- Hall, J.E.; do Carmo, J.M.; da Silva, A.A.; Wang, Z.; Hall, M.E. Obesity-Induced Hypertension. Circ. Res. 2015, 116, 991–1006. [Google Scholar] [CrossRef] [PubMed]
- Polanco-Flores, N.A. Chronic renal disease in Mexico: A preventive uncontrolled epidemic. Rev. Médica Hosp. Gen. México 2019, 82, 194–197. [Google Scholar] [CrossRef]
- Agudelo-Botero, M.; Valdez-Ortiz, R.; Giraldo-Rodríguez, L.; González-Robledo, M.C.; Mino-León, D.; Rosales-Herrera, M.F.; Cahuana-Hurtado, L.; Rojas-Russell, M.E.; Dávila-Cervantes, C.A. Overview of the burden of chronic kidney disease in Mexico: Secondary data analysis based on the Global Burden of Disease Study 2017. BMJ Open 2020, 10, e035285. [Google Scholar] [CrossRef] [PubMed]
- Jara, A. Past, present, and future of peritoneal dialysis. Medwave 2008, 8, e3602. [Google Scholar] [CrossRef]
- Ronco, C.; Crepaldi, C.; Rosner, M.H. (Eds.) Remote Patient Management in Peritoneal Dialysis; Karger Medical and Scientific Publishers: Basel, Switzerland, 2019; Volume 197, pp. 9–16. [Google Scholar] [CrossRef]
- Ronco, C.; Amici, G.; Feriani, M.; Virga, G. (Eds.) Automated Peritoneal Dialysis; Karger Medical and Scientific Publishers: Basel, Switzerland, 1999; Volume 129, pp. 142–161. [Google Scholar] [CrossRef]
- Rivero-Urzua, S.; Paredes-Rojas, J.C.; Méndez-García, S.R.; Ortiz-Hernández, F.E.; Oropeza-Osornio, A.; Torres-SanMiguel, C.R. 3D Low-Cost Equipment for Automated Peritoneal Dialysis Therapy. Healthcare 2022, 10, 564. [Google Scholar] [CrossRef] [PubMed]
- Trail, J. Why Do Medical Devices Need to Go through Validation? 2020. Available online: https://boydbiomedical.com/articles/why-do-medical-devices-need-to-go-through-validation-before-going-to-market (accessed on 2 January 2024).
- Fortier, P.J.; Michel, H.E. 1—Introduction. In Computer Systems Performance Evaluation and Prediction; Fortier, P.J., Michel, H.E., Eds.; Elsevier Science: Amsterdam, The Netherlands, 2003; pp. 1–38. [Google Scholar] [CrossRef]
- Méndez-García, S.R.; Torres-SanMiguel, C.R.; Flores-Campos, J.A.; Ramirez, O.; Ceccarelli, M. Conceptual Design of a Stewart Platform in a Testbed for the Peritoneal Movements. In Advances in Italian Mechanism Science. IFToMM Italy 2022. Mechanisms and Machine Science; Niola, V., Gasparetto, A., Quaglia, G., Carbone, G., Eds.; Springer: Cham, Switzerland, 2022; Volume 122. [Google Scholar] [CrossRef]
- Zgoura, P.; Hettich, D.; Natzel, J.; Özcan, F.; Kantzow, B. Virtual Reality Simulation in Peritoneal Dialysis Training: The Beginning of a New Era. 25 de Abril de 2022, de Blood Purification Sitio Web. 2018. Available online: https://www.karger.com/Article/Pdf/494595 (accessed on 2 January 2024).
- Amici, G.; Mastrosimone, S.; Da Rin, G.i.o.r.g.i.o.; Bocci, C.; Bonadonna, A. Clinical Validation of PD ADEQUEST software: Modeling error assessment. Perit. Dial. Int. J. Int. Soc. Perit. Dial. 1998, 18, 317–321. [Google Scholar]
- IBP Medical. Testing Dialysis Machines, Model Name/Number: Hdm 97bq. 25 de Abril de 2022, de Indiamart Sitio Web. 2011. Available online: https://www.indiamart.com/proddetail/testing-dialysis-machines-13771215091.html (accessed on 2 January 2024).
- Encarnación Tornay Muñoz. Pruebas Funcionales, Tipos de Peritoneos, Protocolo Kt/v y TEP. 25 de Abril de 2022, SEDEN. Available online: https://www.revistaseden.org/files/TEMA%2012.%20Pruebas%20funcionales,%20tipos%20de%20peritoneos,%20ktv%20y%20pet,bis.pdf (accessed on 2 January 2024).
- NORMA Oficial Mexicana NOM-062-ZOO-1999, Especificaciones Técnicas Para la Producción, Cuidado y uso de los Animales de Laboratorio, Diario Oficial de la Federación. Available online: https://www.gob.mx/cms/uploads/attachment/file/203498/NOM-062-ZOO-1999_220801.pdf (accessed on 2 January 2024).













| Variable | Basal | 5/6 NFx |
|---|---|---|
| Body weight (kg) | 3.2 ± 0.1 | 2.3 ± 0.3 * |
| Microhematocrit (%) | 62.5 ± 2.8 | 38.8 ± 1.7 * |
| BUN (mmol/L) | 1.61 ± 0.18 | 25 ± 1.2 8.93 ± 0.43 * |
| Uric acid (μmol/L) | 107.06 ± 11.9 | 29.7± 29.74 * |
| Creatinine clearance (mL/min) | 1.3 ± 0.3 | 1.4 ± 0.3 * |
| Proteinuria (g/24 h) | 0.006 ± 0.0006 | 1.070 ± 0.1158* |
| Urine volume (mL) | 62.0 ± 3.1 | 38.8 ± 4.3 * |
| Rabbit Number | Number of Quick Washes | Number of Dialyzes | Fluid Infused | Permanence Time | Fluid Drained | ||||
|---|---|---|---|---|---|---|---|---|---|
| 1 | 3 | 3 | 60 mL (2.5%) | 60 mL (2.5%) | 60 mL (2.5%) | 1 h between each infusion | 30 mL | 60 mL | 60 mL |
| 4 | 3 | 3 | 75 mL (1.5%) | 75 mL (1.5%) | 75 mL (1.5%) | 1 h between each infusion | 75 mL | 75 mL | 75 mL |
| 5 | 3 | 2 | 100 mL (1.5%) | 100 mL (1.5%) | 1 h between each infusion | 90 mL | 100 mL | ||
| 8 | 3 | 2 | 75 mL (1.5%) | 75 mL (1.5%) | 1 h between each infusion | 70 mL | 75 mL | ||
| Subsystem | Description |
|---|---|
| Mechanic subsystem | Peristaltic pumps are composed of five bearings that allow the pressing of hoses and the transportation of a certain amount of fluid per revolution. At the end of the therapy, they transport approximately 2 L in 15 min. The pumps worked adequately during the tests, but the maintenance must be improved. |
| For the connection hoses, there were leaks during the tests. Those are designed to eliminate user problems, but the easier connection between the machine, the bags, and the catheter must be improved. | |
| The system that we used to lock the hoses is well prepared, making it easy to manipulate, and it does not require specific maintenance. It is composed of a safety bolt and hose holder housing. | |
| The heating base is the one that increases the temperature of the bags, and it is made of a material that conducts the heat from the electronic heating system. Therefore, the bag reaches the temperature depending on the initial values, but the material performs appropriately. | |
| In general, the structure of the APDM is adequate for easy transport; it is not too heavy, and the dimensions are less than the commercial devices, so it does not take up much space to place it anywhere. However, it can be improved with a handle. | |
| Electronic subsystem | The ignition system is the first place to have contact with the user, so it must be easy to manipulate. The wire connection and the on/off button are good places not to be hard to find. It is even intuitive to identify. |
| The heating system, as mentioned, appears in the three subsystems, and it is the principal characteristic of the APDM, which is why the ignition increased the temperature of the bags. This works properly according to the test results. | |
| The motors of the pumps are the main reason they could have problems in their function, so this requires maintenance to work correctly. | |
| The motor valve presented the same situation as the motor pumps. Its function was correct during all the tests. | |
| The wire connections are fundamental for the APDM functionality; they are required to communicate all the electronic elements. If a short circuit must be repaired as soon as possible, this happens before the first therapy, so it is recommended to modify them. | |
| Control subsystem | The CPU controller is responsible for controlling all the mechanisms of the electronic devices and ensuring that the machine will work properly and fulfill the sequencing process. The CPU worked adequately during the therapies except when the wire connections failed once. |
| The menu and display are the interfaces that interact with the user directly to show them the therapy state. If they are required to repeat the process, it will work properly, but because of the CPU, it is conditioned for the wire connection, and if it fails, the menu and display will not work. | |
| In general, programming functions work adequately, the adjustments made for the specific therapy in rabbits are correct, and they can be improved as part of the optimizations of the APDM process. | |
| The sensors are responsible for reading the values depending on the variable. They provide feedback to the controller so that they can make decisions about the process and display the state of the therapy. Although the temperature sensor worked adequately during the tests, the flow and turbidity sensors were not used to maintain the sterility of the treatment. | |
| The heating control is part of the APDM, which manipulates the elements responsible for the heating base function. It operates automatically and is adjusted to allow the elements to increase the temperature at a certain level to heat the bag. It worked adequately during the tests. |
Disclaimer/Publisher’s Note: The statements, opinions and data contained in all publications are solely those of the individual author(s) and contributor(s) and not of MDPI and/or the editor(s). MDPI and/or the editor(s) disclaim responsibility for any injury to people or property resulting from any ideas, methods, instructions or products referred to in the content. |
© 2024 by the authors. Licensee MDPI, Basel, Switzerland. This article is an open access article distributed under the terms and conditions of the Creative Commons Attribution (CC BY) license (https://creativecommons.org/licenses/by/4.0/).
Share and Cite
Méndez-García, S.R.; Cano-Europa, E.; Ocotitla-Hernández, J.; Franco-Colín, M.; Florencio-Santiago, O.I.; Torres-SanMiguel, C.R. Experimental Lab Tests on Rabbits for the Optimization and Redesign of Low-Cost Equipment for Automated Peritoneal Dialysis. Bioengineering 2024, 11, 114. https://doi.org/10.3390/bioengineering11020114
Méndez-García SR, Cano-Europa E, Ocotitla-Hernández J, Franco-Colín M, Florencio-Santiago OI, Torres-SanMiguel CR. Experimental Lab Tests on Rabbits for the Optimization and Redesign of Low-Cost Equipment for Automated Peritoneal Dialysis. Bioengineering. 2024; 11(2):114. https://doi.org/10.3390/bioengineering11020114
Chicago/Turabian StyleMéndez-García, Sergio Rodrigo, Edgar Cano-Europa, José Ocotitla-Hernández, Margarita Franco-Colín, Oscar Iván Florencio-Santiago, and Christopher René Torres-SanMiguel. 2024. "Experimental Lab Tests on Rabbits for the Optimization and Redesign of Low-Cost Equipment for Automated Peritoneal Dialysis" Bioengineering 11, no. 2: 114. https://doi.org/10.3390/bioengineering11020114
APA StyleMéndez-García, S. R., Cano-Europa, E., Ocotitla-Hernández, J., Franco-Colín, M., Florencio-Santiago, O. I., & Torres-SanMiguel, C. R. (2024). Experimental Lab Tests on Rabbits for the Optimization and Redesign of Low-Cost Equipment for Automated Peritoneal Dialysis. Bioengineering, 11(2), 114. https://doi.org/10.3390/bioengineering11020114

