Cost-Effective Cultivation of Native PGPB Sinorhizobium Strains in a Homemade Bioreactor for Enhanced Plant Growth
Abstract
1. Introduction
2. Materials and Methods
2.1. Bacterial Strains
2.2. Initial Characterization of Bacterial Growth
2.3. Experimental Design for Optimizing Native Sinorhizobium Strain Growth Conditions
2.4. Design and Construction of a Homemade Bioreactor
2.5. Bacterial Growth Assay in Homemade Bioreactor
2.6. Bacterial Effectiveness through Plant Inoculation Assay
2.7. Statistical Analysis
3. Results
3.1. Bacterial Growth Characteristics
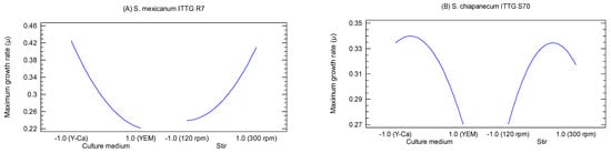
3.2. Optimization of the Growth of Native Sinorhizobium Strains
3.3. Production Efficiency in Homemade Bioreactor
3.4. Efficacy of Native Sinorhizobium Strains in Promoting Plant Growth
4. Discussion
5. Conclusions
6. Patents
Supplementary Materials
Author Contributions
Funding
Institutional Review Board Statement
Informed Consent Statement
Data Availability Statement
Acknowledgments
Conflicts of Interest
References
- Fróna, D.; Szenderák, J.; Harangi-Rákos, M. The challenge of feeding the world. Sustainability 2019, 11, 5816. [Google Scholar] [CrossRef]
- Gupta, G.; Parihar, S.S.; Ahirwar, N.K.; Snehi, S.K.; Singh, V. Plant Growth Promoting Rhizobacteria (PGPR): Current and future prospects for development of sustainable agriculture. J. Microb. Biochem. Technol. 2015, 7, 96–102. [Google Scholar] [CrossRef]
- Divjot, K.; Kusam, L.R.; Ajar, N.Y.; Neelam, Y.; Manish, K.; Vinod, K.; Pritesh, V.; Harcharan, S.D.; Anil, K.S. Microbial biofertilizers: Bioresources and eco-friendly technologies for agricultural and environmental sustainability. Biocatal. Agric. Biotech. 2020, 23, 101487. [Google Scholar] [CrossRef]
- Flores-Félix, J.D.; Menéndez, E.; Rivera, L.P.; Marcos-García, M.; Martínez-Hidalgo, P.; Mateos, P.F.; Martínez-Molina, E.; Velázquez, M.A.; García-Fraile, P.; Rivas, R. Use of Rhizobium Leguminosarum as a Potential Biofertilizer for Lactuca Sativa and Daucus Carota Crops. J. Plant. Nutr. Soil Sci. 2013, 176, 876–882. [Google Scholar] [CrossRef]
- Gen-Jimenez, A.; Flores-Félix, J.D.; Rincón-Molina, C.I.; Manzano-Gomez, L.A.; Rogel, M.A.; Ruiz-Valdiviezo, V.M.; Rincón-Molina, F.A.; Rincón-Rosales, R. Enhance of tomato production and induction of changes on the organic profiles mediated by Rhizobium biofortification. Front. Microbiol. 2023, 14, 1235930. [Google Scholar] [CrossRef]
- Thilakarathna, M.; Raizada, M.A. Meta-analysis of the effectiveness of diverse rhizobia inoculants on soybean traits under field conditions. Soil Biol. Biochem. 2017, 105, 177–196. [Google Scholar] [CrossRef]
- Buitrago, R.B.; de Bashan, L.E.G.; Pedraza, R.O. Bacterias Promotoras de Crecimiento Vegetal; En sistemas de agricultura sostenible; Corporación colombiana de investigación agropecuaria—Mosquera (Colombia): Agrosavia, Colombia, 2021; Volume 372, ISBN 978-958-740-500-2. [Google Scholar]
- Rincón-Rosales, R.; Villalobos-Escobedo, J.M.; Rogel, M.A.; Martínez, J.; Ormeño-Orrillo, E.; Martínez-Romero, E. Rhizobium calliandrae sp. nov., Rhizobium mayense sp. nov. and Rhizobium jaguaris sp. nov., rhizobial species nodulating the medicinal legume Calliandra grandiflora. Int. J. Syst. Evol. Microbiol. 2013, 63, 3423–3429. [Google Scholar] [CrossRef] [PubMed]
- Lloret, L.; Ormeño-Orrillo, E.; Rincón, R.; Martínez-Romero, J.; Rogel-Hernández, M.A.; Martínez-Romero, E. Ensifer mexicanus sp. nov. a new species nodulating Acacia angustissima (Mill.) Kuntze in Mexico. Syst. Appl. Microbiol. 2007, 30, 280–290. [Google Scholar] [CrossRef]
- Rincón-Rosales, R.; Lloret, L.; Ponce, E.; Martínez-Romero, E. Rhizobia with different symbiotic efficiencies nodulate Acaciella angustissima in Mexico, including Sinorhizobium chiapanecum sp. nov. which has common symbiotic genes with Sinorhizobium mexicanum. FEMS Microbiol. Ecol. 2009, 67, 103–117. [Google Scholar] [CrossRef]
- Rincón-Molina, C.I.; Martínez-Romero, E.; Manzano-Gómez, L.A.; Rincón-Rosales, R. Growth Promotion of Guava “Pear” (Psidium guajava cv.) by Sinorhizobium mexicanum in Southern Mexican Agricultural Fields. Sustainability 2022, 14, 12391. [Google Scholar] [CrossRef]
- Rincón-Rosales, R.; Ruiz-Valdiviezo, V.M.; Montes-Molina, J.A.; Gutiérrez-Miceli, F.A.; Dendooven, L. Aluminium tolerance in the tropical leguminous N2-fixing shrub Acaciella angustissima (Mill.) Britton & Rose inoculated with Sinorhizobium mexicanum. Gayana Bot. 2011, 68, 188–195. [Google Scholar] [CrossRef]
- Rincón-Rosales, R.; Rogel, M.A.; Guerrero, G.; Rincón-Molina, C.I.; López-López, A.; Manzano-Gómez, L.A.; Martínez-Romero, E. Genomic Data of Acaciella Nodule Ensifer mexicanus ITTG R7T. Microbiol. Resour. Announc. 2021, 10, e01251-20. [Google Scholar] [CrossRef]
- Rincón-Molina, C.I.; Martínez-Romero, E.; Aguirre-Noyola, J.L.; Manzano-Gómez, L.A.; Zenteno-Rojas, A.; Rogel, M.A.; Rincón-Molina, F.A.; Ruíz-Valdiviezo, V.M.; Rincón-Rosales, R. Bacterial Community with Plant Growth-Promoting Potential associated to pioneer plants from an active mexican volcanic complex. Microorganisms 2022, 10, 1568. [Google Scholar] [CrossRef] [PubMed]
- Grageda-Cabrera, O.A.; Díaz-Franco, A.; Peña-Cabriales, J.J.; Vera-Nuñez, J.A. Impacto de los biofertilizantes en la agricultura. Rev. Mex. Cienc. Agric. 2012, 3, 1261–1274. Available online: https://www.redalyc.org/articulo.oa?id=263123222015 (accessed on 1 August 2023). [CrossRef][Green Version]
- Patiño-Vera, M.; Jiménez, B.; Balderas, K.; Ortiz, M.; Allende, R.; Carrillo, A.; Galindo, E. Pilot-scale production and liquid formulation of Rhodotorula minuta, a potential biocontrol agent of mango anthracnose. J. Appl. Microbiol. 2005, 99, 540–550. [Google Scholar] [CrossRef] [PubMed]
- Tapia, F.; Vázquez-Ramírez, D.; Genzel, Y.; Reichl, U. Bioreactors for high cell density and continuous multi-stage cultivations: Options for process intensification in cell culture-based viral vaccine production. Appl. Microbiol. Biotechnol. 2016, 100, 2121–2132. [Google Scholar] [CrossRef] [PubMed]
- Crater, J.S.; Lievense, J.C. Scale-up of industrial microbial processes. FEMS Microbiol. Lett. 2018, 365, 138. [Google Scholar] [CrossRef]
- Parra-Cota, F.I.; Peña-Cabriales, J.J.; de los Santos-Villalobos, S.; Martínez-Gallardo, N.A.; Délano-Frier, J.P. Burkholderia ambifaria and B. caribensis promote growth and increase yield in grain amaranth (Amaranthus cruentus and A. hypochondriacus) by improving plant nitrogen uptake. PLoS ONE 2014, 9, e88094. [Google Scholar] [CrossRef]
- Rojas-Padilla, J.; Chaparro-Encinas, L.A.; Robles-Montoya, R.I.; de los Santos Villalobos, S. Growth promotion on wheat (Triticum turgidum L. subsp. durum) by co-inoculation of native Bacillus strains isolated from the Yaqui Valley, Mexico. Nova Sci. 2020, 12, 24. [Google Scholar] [CrossRef]
- Ruíz-Valdiviezo, V.M.; Canseco, L.M.C.V.; Suárez, L.A.C.; Gutiérrez-Miceli, F.A.; Dendooven, L.; Rincón-Rosales, R. Symbiotic potential and survival of native rhizobia kept on different carriers. Braz. J. Microbiol. 2015, 46, 73542. [Google Scholar] [CrossRef]
- Trujillo-Roldán, M.A.; Valdez-Cruz, N.A.; Gonzalez-Monterrubio, C.F.; Acevedo-Sánchez, E.V.; Martínez-Salinas, C.; García-Cabrera, R.I.; Gamboa-Suasnavart, R.A.; Marín-Palacio, L.D.; Villegas, J.; Blancas-Cabrera, A. Scale-up from shake flasks to pilot-scale production of the plant growth-promoting bacterium Azospirillum brasilense for preparing a liquid inoculant formulation. Appl. Microbiol. Biotechnol. 2013, 97, 9665–9674. [Google Scholar] [CrossRef] [PubMed]
- Gamboa-Suasnavart, R.A.; Marín-Palacio, L.D.; Martínez-Sotelo, J.A.; Espitia, C.; Servín-González, L.; Valdez-Cruz, N.A.; Trujillo-Roldán, M.A. Scale-up from shake flasks to bioreactor, based on power input and Streptomyces lividans morphology, for the production of recombinant APA (45/47 kDa protein) from Mycobacterium tuberculosis. World J. Microbiol. Biotechnol. 2013, 29, 1421–1429. [Google Scholar] [CrossRef]
- Ramírez-Puebla, S.T.; Ormeño-Orrillo, E.; Rogel, M.A.; López-Guerrero, M.G.; López-López, A.; Martínez-Romero, J.; Negrete-Yankelevich, S.; Martínez-Romero, E. La diversidad de los rizobios nativos de México a la luz de la genómica. Rev. Mex. Biodivers. 2019, 90, e902681. [Google Scholar] [CrossRef]
- Bocatti, C.R.; Ferreira, E.; Ribeiro, R.A.; de Oliveira Chueire, L.M.; Delamuta, J.R.M.; Kobayashi, R.K.T.; Nogueira, M.A. Microbiological quality analysis of inoculants based on Bradyrhizobium spp. and Azospirillum brasilense produced “on farm” reveals high contamination with non-target microorganisms. Braz. J. Microbiol. 2022, 53, 267–280. [Google Scholar] [CrossRef]
- Vassileva, M.; Mocali, S.; Canfora, L.; Malusá, E.; García del Moral, L.F.; Martos, V.; Flor-Peregrin, E.; Vassilev, N. Safety level of microorganism-bearing products applied in soil-plant systems. Front. Plant Sci. 2002, 13, 862875. [Google Scholar] [CrossRef]
- Del Puerto, C.A.; Iglesias, E.; Morales, T.; Baños, N.; Nocedo, M.D.; Carnota, G.; Martínez, R. Organización y manejo de la colección de cepas de referencia del Instituto Finlay. Vaccimonitor 2009, 18, 20–24. [Google Scholar]
- Berovic, M. Sterilisation in Biotechnology. Biotechnol. Annu. Rev. 2005, 11, 257–279. [Google Scholar]
- Stuart, S.; Leon, L. Solving Large Sparse Nonlinear Programs Using GRG. ORSA J. Comput. 1992, 4, 2–15. [Google Scholar] [CrossRef]
- Fahraeus, G. The infection of clover root hair by nodule bacteria studied by a single glass slide technique. J. Gen. Microbiol. 1957, 16, 374–381. [Google Scholar] [CrossRef] [PubMed]
- Rincón-Molina, C.I.; Martínez-Romero, E.; Ruiz-Valdiviezo, V.M.; Velázquez, E.; Ruiz-Lau, N.; Rogel-Hernández, M.A.; Villalobos-Maldonado, J.J.; Reiner, R.-R. Plant growth-promoting potential of bacteria associated to pioneer plants from an active volcanic site of Chiapas (Mexico). Appl. Soil Ecol. 2020, 146, 103390. [Google Scholar] [CrossRef]
- Begom, F.M.; Ahmed, M.G.U.; Sultana, R.; Akter, F. Impact of Rhizobium biofertilizer on agronomical performance of lentil (BARI Masur-6) in Bangladesh. Arch. Agric. Environ. Sci. 2021, 6, 114–120. [Google Scholar] [CrossRef]
- Saha, L.; Bauddh, K. Sustainable agricultural approaches for enhanced crop productivity, better soil health, and improved ecosystem services. In Ecological and Practical Applications for Sustainable Agriculture; Springer: Singapore, 2020; pp. 1–23. [Google Scholar] [CrossRef]
- Vassilev, N.; Vassileva, M.; López, A.; Martos, V.; Reyes, A.; Maksimovic, Y.; Eichler-Löbermann, B.; Malusa, E. Unexploited potential of some biotechnological techniques for biofertilizer production and formulation. Appl. Microbiol. Biotechnol. 2015, 99, 4983–4996. [Google Scholar] [CrossRef] [PubMed]
- Basu, A.; Prasad, P.; Das, S.N.; Kalam, S.; Sayyed, R.Z.; Reddy, M.S.; El Enshasy, H. Plant growth promoting rhizobacteria (PGPR) as green bioinoculants: Recent developments, constraints, and prospects. Sustainability 2021, 13, 1140. [Google Scholar] [CrossRef]
- Baldani, J.I.; Reis, V.M.; Videira, S.S.; Boddey, L.H.; Baldani, V.L.D. The art of isolating nitrogen-fixing bacteria from non-leguminous plants using N-free semi-solid media: A practical guide for microbiologists. Plant Soil 2014, 384, 413–431. [Google Scholar] [CrossRef]
- Smercina, D.N.; Evans, S.E.; Friesen, M.L.; Tiemann, L.K. To fix or not to fix: Controls on free-living nitrogen fixation in the rhizosphere. Appl. Environ. Microbiol. 2019, 85, e02546-18. [Google Scholar] [CrossRef]
- Kawaka, F. Characterization of symbiotic and nitrogen fixing bacteria. AMB Express 2022, 12, 1–11. [Google Scholar] [CrossRef]
- Elboutahiri, N.; Thami-Alami, I.; Udupa, S.M. Phenotypic and genetic diversity in Sinorhizobium meliloti and S. medicae from drought and salt affected regions of Morocco. BMC Microbiol. 2010, 10, 1–13. [Google Scholar] [CrossRef] [PubMed]
- Guanzon, I.M.; Mason, M.L.T.; Juico, P.P.; Fiegalan, F.T. Isolation of three genera of microorganisms in lahar-laden soils of Sta. Rita, Pampanga, Philippines through the 16s rRNA gene sequence analysis. Acta Agric. Scand. Sect. B—Soil Plant Sci. 2023, 73, 1–12. [Google Scholar] [CrossRef]
- Wang, E.T.; Tan, Z.Y.; Willems, A.; Fernández-López, M.; Reinhold-Hurek, B.; Martínez-Romero, E. Sinorhizobium morelense sp. nov., a Leucaena leucocephala-associated bacterium that is highly resistant to multiple antibiotics. Int. J. Syst. Evol. Microbiol. 2002, 52, 1687–1693. [Google Scholar] [CrossRef]
- Toledo, I.; Lloret, L.; Martínez-Romero, E. Sinorhizobium americanus sp. nov., a new Sinorhizobium species nodulating native Acacia spp. in Mexico. Syst. Appl. Microbiol. 2003, 26, 54–64. [Google Scholar] [CrossRef]
- Zarei, O.; Dastmalchi, S.; Hamzeh-Mivehroud, M. A simple and rapid protocol for producing yeast extract from Saccharomyces cerevisiae suitable for preparing bacterial culture media. IJPRI 2016, 15, 907. [Google Scholar] [CrossRef]
- Omoregie, A.I.; Ngu, L.H.; Ong, D.E.L.; Nissom, P.M. Low-cost cultivation of Sporosarcina pasteurii strain in food-grade yeast extract medium for microbially induced carbonate precipitation (MICP) application. Biocatal. Agric. Biotech. 2019, 17, 247–255. [Google Scholar] [CrossRef]
- Hayek, S.A.; Gyawali, R.; Aljaloud, S.O.; Krastanov, A.; Ibrahim, S.A. Cultivation media for lactic acid bacteria used in dairy products. J. Dairy Res. 2019, 86, 490–502. [Google Scholar] [CrossRef] [PubMed]
- Zhang, J.; Reddy, J.; Buckland, B.; Greasham, R. Toward consistent and productive complex media for industrial fermentations: Studies on yeast extract for a recombinant yeast fermentation process. Biotechnol. Bioeng. 2003, 82, 640–652. [Google Scholar] [CrossRef]
- Lee, J.S.; Little, B.J. Electrochemical and chemical complications resulting from yeast extract addition to stimulate microbial growth. Corrosion 2015, 71, 1434–1440. [Google Scholar] [CrossRef]
- Watson, R.J.; Heys, R.; Martin, T.; Savard, M. Sinorhizobium meliloti cells require biotin and either cobalt or methionine for growth. Appl. Environ. Microbiol. 2001, 67, 3767–3770. [Google Scholar] [CrossRef][Green Version]
- Yin, H.; Yang, F.; He, X.; Du, X.; Mu, P.; Ma, W. Advances in the functional study of glutamine synthetase in plant abiotic stress tolerance response. Crop. J. 2022, 10, 917–923. [Google Scholar] [CrossRef]
- Huang, B.; Qin, P.; Xu, Z.; Zhu, R.; Meng, Y. Effects of CaCl2 on viscosity of culture broth, and on activities of enzymes around the 2-oxoglutarate branch, in Bacillus subtilis CGMCC 2108 producing poly-(γ-glutamic acid). Bioresour. Technol. 2011, 102, 3595–3598. [Google Scholar] [CrossRef]






| Factors | Levels | ||
|---|---|---|---|
| Low (−1) | Intermediate (0) | High (+1) | |
| X1: Culture medium | Y-Ca2+ | PY-Ca2+ | YEM |
| X2: Stirring (rpm) | 120 | 200 | 300 |
| Variables | S. mexicanum ITTG-R7T p-Value * | S. chiapanecum ITTG-S70T p-Value |
|---|---|---|
| x1: culture medium | 0.0000 ** | 0.0190 * |
| x2: stirring | 0.0002 ** | 0.0778 NS |
| x1x1 | 0.2238 NS | 0.2034 NS |
| x1x2 | 0.0003 ** | 0.1814 NS |
| x2x2 | 0.2126 NS | 0.1038 NS |
| error | 0.8871 NS | 0.7766 NS |
| Strain | Culture Medium | Stirring (rpm) | ||
|---|---|---|---|---|
| 120 | 200 | 300 | ||
| S. mexicanum ITTG-R7T | Y-Ca2+ | 0.3151 ± (0.037) h−1 | 0.3113 ± (0.021) h−1 | 0.7324 ± (0.030) h−1 |
| PY-Ca2+ | 0.2460 ± (0.002) h−1 | 0.3595 ± (0.014) h−1 | 0.3267 ± (0.005) h−1 | |
| YEM | 0.2352 ± (0.008) h−1 | 0.2595 ± (0.004) h−1 | 0.2519 ± (0.035) h−1 | |
| S. chiapanecum ITTG-S70T | Y-Ca2+ | 0.2897 ⌘ ± (0.013) ¥ h−1 | 0.2560 ± (0.008) h−1 | 0.3830 ± (0.054) h−1 |
| PY-Ca2+ | 0.2654 ± (0.005) h−1 | 0.3683 ± (0.005) h−1 | 0.3044 ± (0.017) h−1 | |
| YEM | 0.1985 ± (0.013) h−1 | 0.3308 ± (0.005) h−1 | 0.2065 ± (0.011) h−1 | |
| Culture Medium | Biomass Production g L−1 | |
|---|---|---|
| ITTG R7T | ITTG S70T | |
| PY-Ca2+ (Reference medium) | 12.43 ± (1.26)B ¥ | 8.32 ± (0.50)B |
| Y-Ca2+ (Optimal medium) | 18.53 ± (1.97)A | 18.67 ± (0.40)A |
| Variation (%) | 49.0 | 124.4 |
| p < 0.05 | 0.0106736 | 0.0000096 |
| Ingredients | Cost (USD per Liter) | ||
|---|---|---|---|
| Y-Ca2+ | YEM | PY-Ca2+ | |
| CaCl2 | 0.00163 | 0.00163 | |
| Yeast extract | 1.02972 | 0.61939 | 0.61939 |
| Casein peptone | 1.05879 | ||
| Mannitol | 0.89997 | ||
| K2HPO4 | 0.02117 | ||
| MgSO4 | 0.01165 | ||
| NaCl | 0.00159 | ||
| CaCO3 | 0.57174 | ||
| H2O | 0.10588 | 0.10588 | 0.10588 |
| Total | 1.13723 | 2.23139 | 1.78569 |
| Reduction | −49% | −36% | |
| Treatment | Total Height (cm) | Total Weight (g) | Root Weight (g) | Nodules Number | Total N (%) | Chlorophyll (mg g−1) |
|---|---|---|---|---|---|---|
| T1: S. mexicanum ITTG-R7T | 61.25 A ¥ | 6.26 A | 1.50 A | 51 A | 6.83 A | 2.6 AB |
| T2: S. chiapanecum ITTG-S70T | 45.75 B | 3.25 B | 0.90 B | 32 B | 4.07 BC | 3.2 A |
| T3: NPK triple 17 | 37.25 C | 2.62 C | 0.66 BC | 0 C | 5.67 AB | 1.5 B |
| T4: Negative control (non-inoculated, non-fertilized) | 26.50 D | 2.32 C | 0.48 C | 0 C | 3.31 C | 1.6 B |
| p-value | 0.0000 | 0.0000 | 0.0000 | 0.0000 | 0.0009 | 0.0035 |
| HSD £ (p < 0.05) | 6.7242 | 0.3510 | 0.2747 | 14.444 | 1.777 | 0.9604 |
Disclaimer/Publisher’s Note: The statements, opinions and data contained in all publications are solely those of the individual author(s) and contributor(s) and not of MDPI and/or the editor(s). MDPI and/or the editor(s) disclaim responsibility for any injury to people or property resulting from any ideas, methods, instructions or products referred to in the content. |
© 2023 by the authors. Licensee MDPI, Basel, Switzerland. This article is an open access article distributed under the terms and conditions of the Creative Commons Attribution (CC BY) license (https://creativecommons.org/licenses/by/4.0/).
Share and Cite
Manzano-Gómez, L.A.; Rincón-Rosales, R.; Flores-Felix, J.D.; Gen-Jimenez, A.; Ruíz-Valdiviezo, V.M.; Ventura-Canseco, L.M.C.; Rincón-Molina, F.A.; Villalobos-Maldonado, J.J.; Rincón-Molina, C.I. Cost-Effective Cultivation of Native PGPB Sinorhizobium Strains in a Homemade Bioreactor for Enhanced Plant Growth. Bioengineering 2023, 10, 960. https://doi.org/10.3390/bioengineering10080960
Manzano-Gómez LA, Rincón-Rosales R, Flores-Felix JD, Gen-Jimenez A, Ruíz-Valdiviezo VM, Ventura-Canseco LMC, Rincón-Molina FA, Villalobos-Maldonado JJ, Rincón-Molina CI. Cost-Effective Cultivation of Native PGPB Sinorhizobium Strains in a Homemade Bioreactor for Enhanced Plant Growth. Bioengineering. 2023; 10(8):960. https://doi.org/10.3390/bioengineering10080960
Chicago/Turabian StyleManzano-Gómez, Luis Alberto, Reiner Rincón-Rosales, José David Flores-Felix, Adriana Gen-Jimenez, Víctor Manuel Ruíz-Valdiviezo, Lucia María Cristina Ventura-Canseco, Francisco Alexander Rincón-Molina, Juan José Villalobos-Maldonado, and Clara Ivette Rincón-Molina. 2023. "Cost-Effective Cultivation of Native PGPB Sinorhizobium Strains in a Homemade Bioreactor for Enhanced Plant Growth" Bioengineering 10, no. 8: 960. https://doi.org/10.3390/bioengineering10080960
APA StyleManzano-Gómez, L. A., Rincón-Rosales, R., Flores-Felix, J. D., Gen-Jimenez, A., Ruíz-Valdiviezo, V. M., Ventura-Canseco, L. M. C., Rincón-Molina, F. A., Villalobos-Maldonado, J. J., & Rincón-Molina, C. I. (2023). Cost-Effective Cultivation of Native PGPB Sinorhizobium Strains in a Homemade Bioreactor for Enhanced Plant Growth. Bioengineering, 10(8), 960. https://doi.org/10.3390/bioengineering10080960

