Effects of Mobile Phone Use on Gait and Balance Control in Young Adults: A Hip–Ankle Strategy
Abstract
1. Introduction
2. Materials and Methods
2.1. Participants
2.2. Apparatus and Measurement
2.3. Kinematic and Kinetic Data Reduction
2.4. Statistical Analysis
3. Results
3.1. Spatial–Temporal Parameters
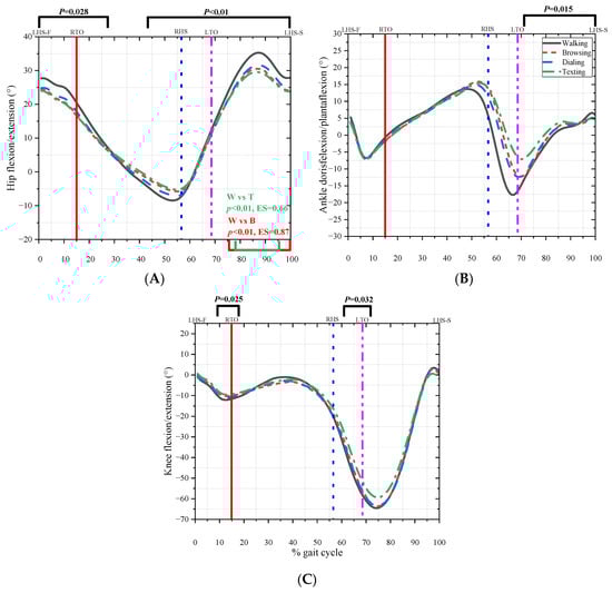
3.2. Kinematic, Kinetic, and EMG
4. Discussion
4.1. Walking While Using a Mobile Phone Induces Measurable Adjustment of Motor Pattern
4.2. The Reason for the Difference in Motor Performance Deterioration under Four Tasks
4.3. The Underlying Mechanism of Motor Control Patterns Induced by Mobile Phone Tasks
5. Conclusions
Author Contributions
Funding
Institutional Review Board Statement
Informed Consent Statement
Data Availability Statement
Conflicts of Interest
References
- Yogev-Seligmann, G.; Hausdorff, J.M.; Giladi, N. The Role of Executive Function and Attention in Gait. Mov. Disord. 2008, 23, 329–342. [Google Scholar] [CrossRef] [PubMed]
- Prasanth, H.; Caban, M.; Keller, U.; Courtine, G.; Ijspeert, A.; Vallery, H.; von Zitzewitz, J. Wearable Sensor-Based Real-Time Gait Detection: A Systematic Review. Sensors 2021, 21, 2727. [Google Scholar] [CrossRef]
- Rodríguez-Fernández, A.; Lobo-Prat, J.; Font-Llagunes, J.M. Systematic Review on Wearable Lower-Limb Exoskeletons for Gait Training in Neuromuscular Impairments. J. Neuroeng. Rehabil. 2021, 18, 22. [Google Scholar] [CrossRef] [PubMed]
- Sun, W.; Lin, J.W.; Su, S.F.; Wang, N.; Er, M.J. Reduced Adaptive Fuzzy Decoupling Control for Lower Limb Exoskeleton. IEEE Trans. Cybern. 2021, 51, 1099–1109. [Google Scholar] [CrossRef]
- State of Mobile 2022. Available online: https://www.data.ai/en/go/state-of-mobile-2022/ (accessed on 26 February 2023).
- Hou, M.; Cheng, J.; Xiao, F.; Wang, C. Distracted Behavior of Pedestrians While Crossing Street: A Case Study in China. Int. J. Environ. Res. Public Health 2021, 18, 353. [Google Scholar] [CrossRef] [PubMed]
- Jiang, K.; Ling, F.; Feng, Z.; Wang, K.; Guo, L. Psychological Predictors of Mobile Phone Use While Crossing the Street among College Students: An Application of the Theory of Planned Behavior. Traffic Inj. Prev. 2017, 18, 118–123. [Google Scholar] [CrossRef] [PubMed]
- Hatfield, J.; Murphy, S. The Effects of Mobile Phone Use on Pedestrian Crossing Behaviour at Signalised and Unsignalised Intersections. Accid. Anal. Prev. 2007, 39, 197–205. [Google Scholar] [CrossRef]
- Tian, Y.; Huang, Y.; He, J.; Wei, K. What Affects Gait Performance during Walking While Texting? A Comparison of Motor, Visual and Cognitive Factors. Ergonomics 2018, 61, 1507–1518. [Google Scholar] [CrossRef]
- Davis, J.J., 4th; Gruber, A.H. Leg Stiffness, Joint Stiffness, and Running-Related Injury: Evidence from a Prospective Cohort Study. Orthop. J. Sports Med. 2021, 9, 23259671211011213. [Google Scholar] [CrossRef]
- Alapatt, L.J.; Peel, N.M.; Reid, N.; Gray, L.C.; Hubbard, R.E. The Effect of Age on Gait Speed When Texting. Int. J. Environ. Res. Public Health 2020, 17, 599. [Google Scholar] [CrossRef]
- Prupetkaew, P.; Lugade, V.; Kamnardsiri, T.; Silsupadol, P. Cognitive and Visual Demands, but Not Gross Motor Demand, of Concurrent Smartphone Use Affect Laboratory and Free-Living Gait among Young and Older Adults. Gait Posture 2019, 68, 30–36. [Google Scholar] [CrossRef]
- Agostini, V.; Lo Fermo, F.; Massazza, G.; Knaflitz, M. Does Texting While Walking Really Affect Gait in Young Adults? J. Neuroeng. Rehabil. 2015, 12, 86. [Google Scholar] [CrossRef] [PubMed]
- Krasovsky, T.; Weiss, P.L. Older Adults Pay an Additional Cost When Texting and Walking: Effects of Age, Environment, and Use of Mixed Reality on Dual-Task Performance. Phys. Ther. 2018, 98, 549–559. [Google Scholar] [CrossRef] [PubMed]
- Licence, S.; Smith, R.; McGuigan, M.P.; Earnest, C.P. Gait Pattern Alterations during Walking, Texting and Walking and Texting during Cognitively Distractive Tasks While Negotiating Common Pedestrian Obstacles. PLoS ONE 2015, 10, e0133281. [Google Scholar] [CrossRef] [PubMed]
- Niederer, D.; Bumann, A.; Mühlhauser, Y.; Schmitt, M.; Wess, K.; Engeroff, T.; Wilke, J.; Vogt, L.; Banzer, W. Specific Smartphone Usage and Cognitive Performance Affect Gait Characteristics during Free-Living and Treadmill Walking. Gait Posture 2018, 62, 415–421. [Google Scholar] [CrossRef] [PubMed]
- Lamberg, E.M.; Muratori, L.M. Cell Phones Change the Way We Walk. Gait Posture 2012, 35, 688–690. [Google Scholar] [CrossRef] [PubMed]
- Oh, C.; LaPointe, L.L. Changes in Cognitive Load and Effects on Parameters of Gait. Cogent Psychol. 2017, 4, 1372872. [Google Scholar] [CrossRef]
- Lee, J.H.; Lee, H. The Effects of Smartphone Multitasking on Gait and Dynamic Balance. J. Phys. Ther. Sci. 2018, 30, 293–296. [Google Scholar] [CrossRef]
- Plummer, P.; Apple, S.; Dowd, C.; Keith, E. Texting and Walking: Effect of Environmental Setting and Task Prioritization on Dual-Task Interference in Healthy Young Adults. Gait Posture 2015, 41, 46–51. [Google Scholar] [CrossRef]
- Sun, Y.; Wei, S.; Zhong, Y.; Fu, W.; Li, L.; Liu, Y. How Joint Torques Affect Hamstring Injury Risk in Sprinting Swing-Stance Transition. Med. Sci. Sports Exerc. 2015, 47, 373–380. [Google Scholar] [CrossRef]
- Lee, H.J.; Chou, L.S. Balance Control during Stair Negotiation in Older Adults. J. Biomech. 2007, 40, 2530–2536. [Google Scholar] [CrossRef] [PubMed]
- Yang, C.; Bouffard, J.; Srinivasan, D.; Ghayourmanesh, S.; Cantú, H.; Begon, M.; Côté, J.N. Changes in Movement Variability and Task Performance during a Fatiguing Repetitive Pointing Task. J. Biomech. 2018, 76, 212–219. [Google Scholar] [CrossRef] [PubMed]
- Mielke, M.M.; Roberts, R.O.; Savica, R.; Cha, R.; Drubach, D.I.; Christianson, T.; Pankratz, V.S.; Geda, Y.E.; Machulda, M.M.; Ivnik, R.J.; et al. Assessing the Temporal Relationship between Cognition and Gait: Slow Gait Predicts Cognitive Decline in the Mayo Clinic Study of Aging. J. Gerontol. Ser. A Biol. Sci. Med. Sci. 2013, 68, 929–937. [Google Scholar] [CrossRef] [PubMed]
- Perera, S.; Patel, K.V.; Rosano, C.; Rubin, S.M.; Satterfield, S.; Harris, T.; Ensrud, K.; Orwoll, E.; Lee, C.G.; Chandler, J.M.; et al. Gait Speed Predicts Incident Disability: A Pooled Analysis. J. Gerontol. Ser. A Biol. Sci. Med. Sci. 2015, 71, 63–71. [Google Scholar] [CrossRef] [PubMed]
- Hausdorff, J.M.; Schweiger, A.; Herman, T.; Yogev-Seligmann, G.; Giladi, N. Cortical Function, Postural Control, and Gait Dual-Task Decrements in Gait: Contributing Factors Among Healthy Older Adults. J. Gerontol. Ser. A Biol. Sci. Med. Sci. 2008, 63, 1335–1343. [Google Scholar] [CrossRef]
- Kirtley, C.; Whittle, M.W.; Jefferson, R.J. Influence of Walking Speed on Gait Parameters. J. Biomed. Eng. 1985, 7, 282–288. [Google Scholar] [CrossRef]
- Van Der Linden, M.L.; Kerr, A.M.; Hazlewood, M.E.; Hillman, S.J.; Robb, J.E. Kinematic and Kinetic Gait Characteristics of Normal Children Walking at a Range of Clinically Relevant Speeds. J. Pediatr. Orthop. 2002, 22, 800–806. [Google Scholar] [CrossRef]
- Sibley, K.M.; Beauchamp, M.K.; Van Ooteghem, K.; Straus, S.E.; Jaglal, S.B. Using the Systems Framework for Postural Control to Analyze the Components of Balance Evaluated in Standardized Balance Measures: A Scoping Review. Arch. Phys. Med. Rehabil. 2015, 96, 122–132.e29. [Google Scholar] [CrossRef]
- Lee, H.J.; Chou, L.S. Detection of Gait Instability Using the Center of Mass and Center of Pressure Inclination Angles. Arch. Phys. Med. Rehabil. 2006, 87, 569–575. [Google Scholar] [CrossRef]
- Warren, W.H.; Kay, B. The Role of Central and Peripheral Vision in Postural Control during walking. Percept. Psychophys. 1999, 61, 1356–1368. [Google Scholar]
- Timmis, M.A.; Scarfe, A.C.; Pardhan, S. How Does the Extent of Central Visual Field Loss Affect Adaptive Gait? Gait Posture 2016, 44, 55–60. [Google Scholar] [CrossRef]
- Timmis, M.A.; Pardhan, S. Patients with Central Visual Field Loss Adopt a Cautious Gait Strategy during Tasks That Present a High Risk of Falling. Investig. Ophthalmol. Vis. Sci. 2012, 53, 4120–4129. [Google Scholar] [CrossRef] [PubMed]
- Timmis, M.A.; Scarfe, A.C.; Tabrett, D.R.; Pardhan, S. Kinematic Analysis of Step Ascent among Patients with Central Visual Field Loss. Gait Posture 2014, 39, 252–257. [Google Scholar] [CrossRef] [PubMed]
- Lim, J.; Amado, A.; Sheehan, L.; Van Emmerik, R.E.A. Dual Task Interference during Walking: The Effects of Texting on Situational Awareness and Gait Stability. Gait Posture 2015, 42, 466–471. [Google Scholar] [CrossRef] [PubMed]
- Yogev, G.; Giladi, N.; Peretz, C.; Springer, S.; Simon, E.S.; Hausdorff, J.M. Dual Tasking, Gait Rhythmicity, and Parkinson’s Disease: Which Aspects of Gait Are Attention Demanding? Eur. J. Neurosci. 2005, 22, 1248–1256. [Google Scholar] [CrossRef]
- Springer, S.; Giladi, N.; Peretz, C.; Yogev, G.; Simon, E.S.; Hausdorff, J.M. Dual-Tasking Effects on Gait Variability: The Role of Aging, Falls, and Executive Function. Mov. Disord. 2006, 21, 950–957. [Google Scholar] [CrossRef]









Disclaimer/Publisher’s Note: The statements, opinions and data contained in all publications are solely those of the individual author(s) and contributor(s) and not of MDPI and/or the editor(s). MDPI and/or the editor(s) disclaim responsibility for any injury to people or property resulting from any ideas, methods, instructions or products referred to in the content. |
© 2023 by the authors. Licensee MDPI, Basel, Switzerland. This article is an open access article distributed under the terms and conditions of the Creative Commons Attribution (CC BY) license (https://creativecommons.org/licenses/by/4.0/).
Share and Cite
Lu, Z.; Zhang, X.; Mao, C.; Liu, T.; Li, X.; Zhu, W.; Wang, C.; Sun, Y. Effects of Mobile Phone Use on Gait and Balance Control in Young Adults: A Hip–Ankle Strategy. Bioengineering 2023, 10, 665. https://doi.org/10.3390/bioengineering10060665
Lu Z, Zhang X, Mao C, Liu T, Li X, Zhu W, Wang C, Sun Y. Effects of Mobile Phone Use on Gait and Balance Control in Young Adults: A Hip–Ankle Strategy. Bioengineering. 2023; 10(6):665. https://doi.org/10.3390/bioengineering10060665
Chicago/Turabian StyleLu, Zijun, Xinxin Zhang, Chuangui Mao, Tao Liu, Xinglu Li, Wenfei Zhu, Chao Wang, and Yuliang Sun. 2023. "Effects of Mobile Phone Use on Gait and Balance Control in Young Adults: A Hip–Ankle Strategy" Bioengineering 10, no. 6: 665. https://doi.org/10.3390/bioengineering10060665
APA StyleLu, Z., Zhang, X., Mao, C., Liu, T., Li, X., Zhu, W., Wang, C., & Sun, Y. (2023). Effects of Mobile Phone Use on Gait and Balance Control in Young Adults: A Hip–Ankle Strategy. Bioengineering, 10(6), 665. https://doi.org/10.3390/bioengineering10060665

