Comparative Evaluation of the Rainfall Erosivity in the Rieti Province, Central Italy, Using Empirical Formulas and a Stochastic Rainfall Generator
Abstract
:1. Introduction
- To apply to a selected case study corresponding to the Rieti province, in Central Italy, a selection of empirical formulas for the estimation of the rainfall erosivity using the USLE approach, in order to assess the uncertainty in the rainfall erosivity estimation due to the specific empirical formula. The most appropriate empirical formulas will be assessed using a proposed index of reliability. It is noteworthy that the Rieti province, characterized by a mountainous environment and a rainy climate, is lacking an official R-factor map and an official rainfall erosivity estimation.
- To apply, in one rain gauge station of Rieti province, a new and recently developed SRG, parsimonious in terms of input parameters. The application of the SRG allows the synthetic generation of a high-resolution time series that can be used for estimating the rainfall erosivity, employing the same empirical formulas of previous point 1), or using the original USLE formulation. Such application will allow assessment if the proposed SRG can be a suitable alternative for the estimation of soil erosion in case of rainfall data scarcity.
2. Materials and Methods
2.1. Study Area
Climate and Vegetation of the Study Area
2.2. USLE R-Factor Original Calculation
2.3. Alternative Approaches for USLE R-Factor Calculation
2.4. The Stochastic Rainfall Generator (SRG)
3. Results and Discussion
3.1. Analysis of Rainfall Erosivity in Rieti Province
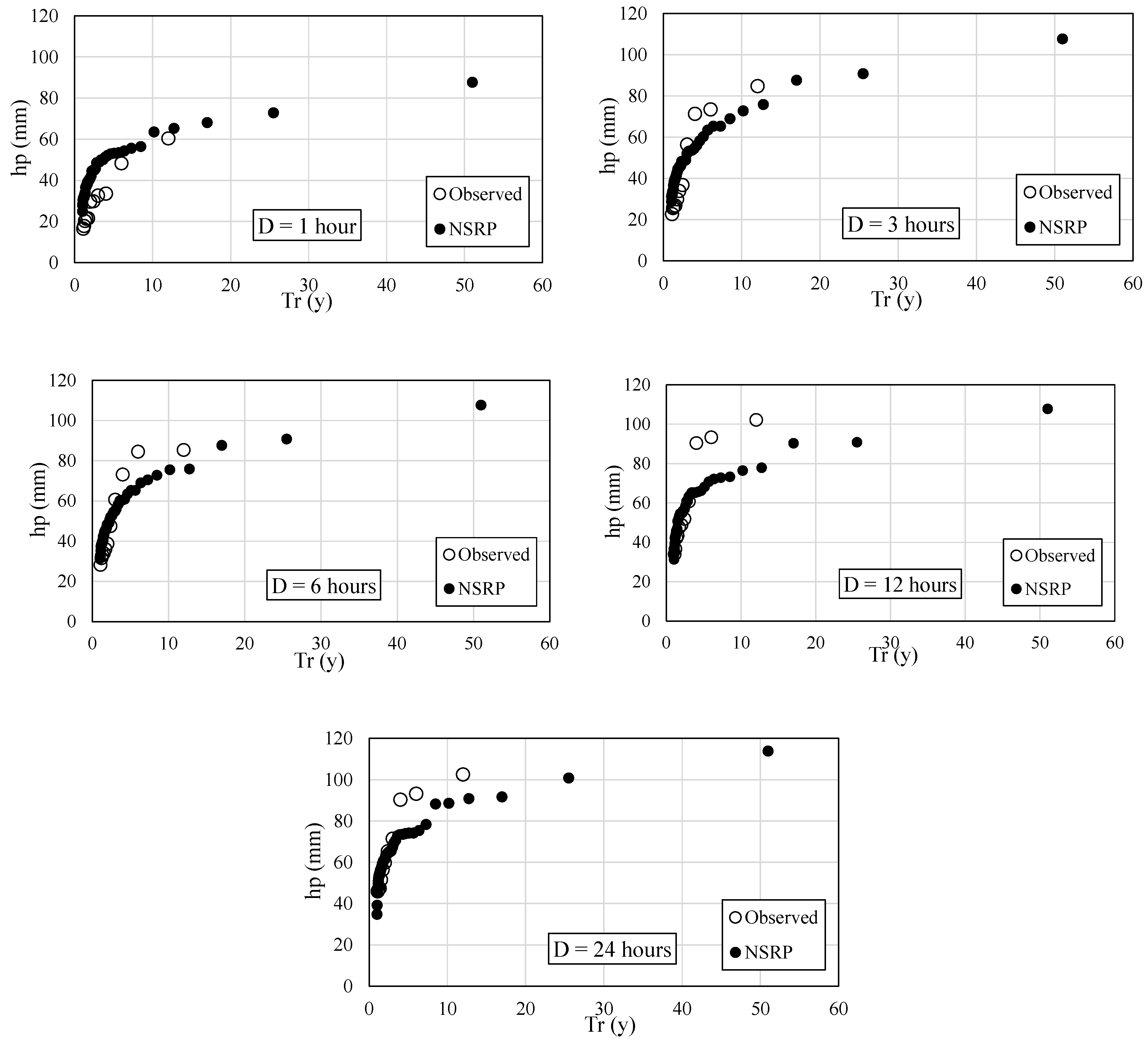
3.2. Analysis of the Synthetically Generated Rainfall Time Series
3.3. Comparison between Rainfall Erosivity Values Using Observed and Modelled Rainfall for the Station “Colli sul Velino”
- Only one of the columns 4 and 5 of Table 2 differs from the unitary value by +/−15%, but these values are both greater or smaller than the unitary value;
- Both the values of columns 4 and 5 of Table 2 differ from the unitary value by less than +/−15% and these values are opposite (for example one greater than the unit and the other smaller).
- Both the values of columns 4 and 5 of Table 2 differ from the unitary value by less than +/−15%, but these values are both greater or smaller than the unitary value;
- Both the values of columns 4 and 5 of Table 2 differ from the unitary value by less than +/−10% and these values are opposite (for example one greater than the unit and the other smaller).
- (i)
- the dimensionless ratio between rainfall erosivity values obtained using simulated rainfall and their average values only three times greater than 1 (equations no. 1-2-6), while the same ratio calculated with observed rainfall data is five times greater than 1 (equations no. 2-4-6-11-12). In general, in 8 times out of 12, the analysis on the observed rainfall data returns higher rainfall erosivity values; this aspect could be due to the larger sample data considered by modelled analysis.
- (ii)
- (iii)
- Equation no. 7 [38] provides the better result for the synthetic data set. This demonstrates the adequacy of Yu and Rosewell’s equation for estimating the R-factor, one of the most used in international literature.
4. Conclusions
Author Contributions
Funding
Conflicts of Interest
References
- Beguería, S.; Serrano-Notivoli, R.; Tomas-Burguera, M. Computation of rainfall erosivity from daily precipitation amounts. Sci. Total Environ. 2018, 637–638, 359–373. [Google Scholar] [CrossRef] [PubMed]
- Xin, Z.; Yu, X.; Li, Q.; Lu, X.X. Spatiotemporal variation in rainfall erosivity on the Chinese Loess Plateau during the period 1956–2008. Reg. Environ. Chang. 2011, 11, 149–159. [Google Scholar] [CrossRef]
- Apollonio, C.; Petroselli, A.; Tauro, F.; Cecconi, M.; Biscarini, C.; Zarotti, C.; Grimaldi, S. Hillslope Erosion Mitigation: An Experimental Proof of a Nature-Based Solution. Sustainability 2021, 13, 6058. [Google Scholar] [CrossRef]
- Diodato, N.; Bellocchi, G. MedREM, a rainfall erosivity model for the Mediterranean region. J. Hydrol. 2010, 387, 119–127. [Google Scholar] [CrossRef]
- Wischmeier, W.H.; Smith, D.D. Predicting Rainfall-Erosion Losses from Cropland East of the Rocky Mountains. Guide for Selection of Practices for Soil and Water Conservation; Agriculture Handbook No. 282; US Department of Agriculture: Washington, DC, USA, 1965.
- Wischmeier, W.H.; Smith, D.D. Predicting rainfall-erosion losses: A Guide to Conservation Farming; Agricultural Handbook 537; US Department of Agriculture: Washington, DC, USA, 1978; pp. 1–151.
- Renard, K.G.; Foster, G.R.; Weesies, G.A.; McCool, D.K.; Yoder, D.C. Predicting soil erosion by water: A guide to conservation planning with the Revised Universal Soil Loss Equation (RUSLE); Agriculture Handbook No. 703; United States Department of Agriculture: Washington, DC, USA, 1997; p. 404.
- Foster, G.R. User’s Reference Guide. Revised Universal Soil Loss Equation Version 2 (RUSLE2); National Sedimentation Laboratory, USDA-Agricultural Research Service: Washington, DC, USA, 2004; p. 418.
- Lim, Y.S.; Kim, J.K.; Kim, J.W.; Park, B.I.; Kim, M.S. Analysis of the relationship between the kinetic energy and intensity of rainfall in Daejeon, Korea. Quat. Int. 2015, 384, 107–117. [Google Scholar] [CrossRef]
- Brown, L.C.; Foster, G.R. Storm erosivity using idealized intensity distribution. Trans. ASAE 1978, 30, 379–386. [Google Scholar] [CrossRef]
- Cecílio, R.A.; Moreira, M.C.; Pezzopane, J.E.M.; Pruski, F.F.; Fukunaga, D.C. Assessing rainfall erosivity indices through synthetic precipitation series and artificial neural networks. An. Acad. Bras. Ciências 2013, 85, 1523–1535. [Google Scholar] [CrossRef] [Green Version]
- Panagos, P.; Ballabio, C.; Borrelli, P.; Meusburger, K.; Klik, A.; Rousseva, S.; Tadić, M.P.; Michaelides, S.; Hrabalíková, M.; Olsen, P.; et al. Rainfall erosivity in Europe. Sci. Total Environ. 2015, 511, 801–814. [Google Scholar] [CrossRef] [Green Version]
- Isikwue, M.; Ocheme, J.; Aho, M. Evaluation of rainfall erosivity index for Abuja, Nigeria using Lombardi method. Niger. J. Technol. 2015, 34, 56. [Google Scholar] [CrossRef] [Green Version]
- Yu, B.; Hashim, G.M.; Eusof, Z. Estimating the R-factor with limited rainfall data: A case study from Peninsular Malaysia. J. Soil Water Conserv. 2001, 56, 101–105. [Google Scholar]
- Davison, P.; Hutchins, M.G.; Anthony, S.G.; Betson, M.; Johnson, C.; Lord, E.I. The relationship between potentially erosive storm energy and daily rainfall quantity in England and Wales. Sci. Total Environ. 2005, 344, 15–25. [Google Scholar] [CrossRef] [PubMed]
- Capolongo, D.; Diodato, N.; Mannaerts, C.M.; Piccarreta, M.; Strobl, R.O. Analyzing temporal changes in climate erosivity using a simplified rainfall erosivity model in Basilicata (southern Italy). J. Hydrol. 2008, 356, 119–130. [Google Scholar] [CrossRef]
- Gioia, A.; Lioi, B.; Totaro, V.; Molfetta, M.G.; Apollonio, C.; Bisantino, T.; Iacobellis, V. Estimation of Peak Discharges under Different Rainfall Depth–Duration–Frequency Formulations. Hydrology 2021, 8, 150. [Google Scholar] [CrossRef]
- Grimaldi, S.; Nardi, F.; Piscopia, R.; Petroselli, A.; Apollonio, C. Continuous hydrologic modelling for design simulation in small and ungauged basins: A step forward and some tests for its practical use. J. Hydrol. 2021, 595, 125664. [Google Scholar] [CrossRef]
- Ritschel, C.; Ulbrich, U.; Névir, P.; Rust, H.W. Precipitation extremes on multiple timescales—Bartlett–Lewis rectangular pulse model and intensity–duration–frequency curves. Hydrol. Earth Syst. Sci. 2017, 21, 6501–6517. [Google Scholar] [CrossRef] [Green Version]
- van Vliet, M.T.H.; Blenkinsop, S.; Burton, A.; Harpham, C.; Broers, H.P.; Fowler, H.J. A multi-model ensemble of downscaled spatial climate change scenarios for the Dommel catchment, Western Europe. Clim. Chang. 2012, 111, 249–277. [Google Scholar] [CrossRef] [Green Version]
- Blenkinsop, S.; Harpham, C.; Burton, A.; Goderniaux, P.; Brouyère, S.; Fowler, H.J. Downscaling transient climate change with a stochastic weather generator for the Geer catchment, Belgium. Clim. Res. 2013, 57, 95–109. [Google Scholar] [CrossRef] [Green Version]
- Forsythe, N.; Fowler, H.J.; Blenkinsop, S.; Burton, A.; Kilsby, C.G.; Archer, D.R.; Harpham, C.; Hashmi, M.Z. Application of a stochastic weather generator to assess climate change impacts in a semi-arid climate: The Upper Indus Basin. J. Hydrol. 2014, 517, 1019–1034. [Google Scholar] [CrossRef] [Green Version]
- Jones, P.D.; Harpham, C.; Burton, A.; Goodess, C.M. Downscaling regional climate model outputs for the Caribbean using a weather generator. Int. J. Climatol. 2016, 36, 4141–4163. [Google Scholar] [CrossRef] [Green Version]
- Yu, B. An assessment of uncalibrated CLIGEN in Australia. Agric. For. Meteorol. 2003, 119, 131–148. [Google Scholar] [CrossRef]
- Zhang, Y.-G.G.; Nearing, M.A.; Zhang, X.-C.C.; Xie, Y.; Wei, H. Projected rainfall erosivity changes under climate change from multimodel and multiscenario projections in Northeast China. J. Hydrol. 2010, 384, 97–106. [Google Scholar] [CrossRef]
- Blasi, C.; Capotorti, G.; Copiz, R.; Guida, D.; Mollo, B.; Smiraglia, D.; Zavattero, L. Classi-fication and mapping of the ecoregions of Italy. Plant Biosyst. 2014, 148, 1255–1345. [Google Scholar] [CrossRef]
- Bartolucci, F. Contributo alla conoscenza della flora dei monti carseolani (settore laziale): Monte Navegna (LAzio, Rieti). Inf. Bot. Ital. 2006, 38, 3–35. [Google Scholar]
- Anderlini, M.; De Santoli, L.; Fraticelli, F. Distributed Energy Generation: Case Study Of A Mountain School Campus In Italy. WIT Trans. Ecol. Environ. 2013, 73, 537–549. [Google Scholar]
- Porto, P. Exploring the effect of different time resolutions to calculate the rainfall erosivity factor R in Calabria, southern Italy. Hydrol. Process. 2016, 30, 1551–1562. [Google Scholar] [CrossRef]
- Mensing, S.A.; Schoolman, E.M.; Tunno, I.; Noble, P.J.; Sagnotti, L.; Florindo, F.; Piovesan, G. Historical ecology reveals landscape transformation coincident with cultural development in central Italy since the Roman Period. Sci. Rep. 2018, 8, 2138. [Google Scholar] [CrossRef] [Green Version]
- Wischmeier, W.H. A rainfall erosion index for a Universal Soil-Loss Equation. Soil Sci. Soc. Am. Proc. 1959, 23, 246–249. [Google Scholar] [CrossRef]
- Benavidez, R.; Jackson, B.; Maxwell, D.; Norton, K. A review of the (Revised) Universal Soil Loss Equation ((R)USLE): With a view to increasing its global applicability and improving soil loss estimates. Hydrol. Earth Syst. Sci. 2018, 22, 6059–6086. [Google Scholar] [CrossRef] [Green Version]
- Fournier, F.G.A. Climat et Erosion: La Relation Entre L’érosion du Sol par L’eau et les Précipitations Atmosphériques, 1st ed.; PUF: Paris, France, 1960. [Google Scholar]
- Arnoldus, H.M.J. An approximation of the rainfall factor in the Universal Soil Loss Equation. In Assessment of Erosion; John Wiley and Sons Ltd.: Hoboken, NJ, USA, 1980; pp. 127–132. [Google Scholar]
- Arnoldus, H.M.J. Methodology used to determine the maximum potential average annual soil loss due to sheet and rill erosion in Morocco. FAO Soils Bull. 1977, 34, 39–48. [Google Scholar]
- Lo, A.; El-Swaify, S.A.; Dangler, E.W.; Shinshiro, L. Effectiveness of EI30 as an erosivity index in Hawaii. Soil Conserv. Soc. Am. 1985. [Google Scholar]
- Renard, K.G.; Freimund, J.R. Using Monthly Precipitation Data to Estimate the R Factor in the Revised USLE. J. Hydrol. 1994, 157, 287–306. [Google Scholar] [CrossRef]
- Yu, B.; Rosewell, C.J. Technical notes: A robust estimator of the R-factor for the universal soil loss equation. Trans. ASAE 1996, 39, 559–561. [Google Scholar] [CrossRef]
- Ferrari, R.; Pasqui, M.; Bottai, L.; Esposito, S.; Di Giuseppe, E. Assessment of soil erosion estimate based on a high temporal resolution rainfall dataset. In Proceedings of the 7th European Conference on Applications of Meteorology (ECAM), Utrecht, Netherlands, 12–16 September 2005; pp. 12–16. [Google Scholar]
- Torri, D.; Borselli, L.; Guzzetti, F.; Calzolari, M.C.; Bazzoffi, P.; Ungaro, F.; Bartolini, D.; Salvador Sanchis, M.P. Italy. In Soil Erosion in Europe; Wiley: Chichester, UK, 2006; pp. 245–261. [Google Scholar]
- De Santos Loureiro, N.; De Azevedo Coutinho, M. A new procedure to estimate the RUSLE EI30 index, based on monthly rainfall data and applied to the Algarve region, Portugal. J. Hydrol. 2001, 250, 12–18. [Google Scholar] [CrossRef]
- Ferreira, V.; Panagopoulos, T. Seasonality of Soil Erosion Under Mediterranean Conditions at the Alqueva Dam Watershed. Environ. Manag. 2014, 54, 67–83. [Google Scholar] [CrossRef] [PubMed]
- Burton, A.; Fowler, H.J.; Blenkinsop, S.; Kilsby, C.G. Downscaling transient climate change using a Neyman-Scott rectangular pulses stochastic rainfall model. J. Hydrol. 2010, 381, 18–32. [Google Scholar] [CrossRef]
- De Luca, D.L.; Galasso, L. Calibration of NSRP Models from Extreme Value Distributions. Hydrology 2019, 6, 89. [Google Scholar] [CrossRef] [Green Version]
- De Luca, D.L.; Petroselli, A.; Galasso, L. Modelling Climate Changes with Stationary Models: Is It Possible or Is It a Paradox? In Numerical Computations: Theory and Algorithms. NUMTA 2019; Lecture Notes in Computer Science (Including Subseries Lecture Notes in Artificial Intelligence and Lecture Notes in Bioinformatics); Springer: Cham, Switzerland, 2020; Volume 11974, pp. 84–96. [Google Scholar]
- De Luca, D.L.; Petroselli, A.; Galasso, L. A transient Stochastic Rainfall Generator for climate changes analysis at hydrological scales in Central Italy. Atmosphere 2020, 11, 1292. [Google Scholar] [CrossRef]
- De Luca, D.L.; Petroselli, A. STORAGE (STOchastic RAinfall GEnerator): A user-friendly software for generating long and high-resolution rainfall time series. Hydrology 2021, 8, 76. [Google Scholar] [CrossRef]
- Recanatesi, F.; Petroselli, A.; Ripa, M.N.; Leone, A. Assessment of stormwater runoff management practices and BMPs under soil sealing: A study case in a peri-urban watershed of the metropolitan area of Rome (Italy). J. Environ. Manag. 2017, 201, 6–18. [Google Scholar] [CrossRef] [PubMed]








| ID | Equation | Source |
|---|---|---|
| R1 | where: , pi is the average monthly precipitation and P is the average annual precipitation. | [35] |
| R2 | where: , pi is the average monthly precipitation and P is the average annual precipitation. | [34] |
| R3 | where: P is the average annual precipitation. | [36] |
| R4 | where: P is the average annual precipitation. | [37] |
| R5 | where: P is the average annual precipitation. | [37] |
| R6 | where: , pi is the average monthly precipitation and P is the average annual precipitation. | [37] |
| R7 | where: , pi is the average monthly precipitation and P is the average annual precipitation. | [38] |
| R8 | where: P is the average annual precipitation. | [39] |
| R9 | where: P is the average annual precipitation. | [39] |
| R10 | where: P is the average annual precipitation. | [40] |
| R11 | where: EI30 = 7.05*RAIN10 − 88.92*DAYS10DAYS10 = sum of the days in a month where it rained more than 10 mm. RAIN10 = mean monthly precipitation in those months where it rained more than 10 mm in a day. | [41] |
| R12 | where: DAYS10 = sum of the days in a month where it rained more than 10 mm. RAIN10 = mean monthly precipitation in those months where it rained more than 10 mm in a day. | [42] |
| Equation | Rainfall Erosivity Value-Simulated | Rainfall Erosivity Value-Observed | Ratio with Average Value-Simulated | Ratio with Average Value-Observed | Equation Reliability Degree |
|---|---|---|---|---|---|
| No.1 | 5238.92 | 3704.38 | 1.16 | 0.88 | Low |
| No.2 | 7875.30 | 6232.32 | 1.74 | 1.48 | Low |
| No.3 | 3700.09 | 3967.76 | 0.82 | 0.94 | Medium |
| No.4 | 4061.81 | 4671.93 | 0.90 | 1.11 | Medium |
| No.5 | 3624.35 | 4055.61 | 0.80 | 0.96 | Medium |
| No.6 | 8329.25 | 6031.61 | 1.84 | 1.43 | Low |
| No.7 | 4531.35 | 3663.48 | 1.00 | 0.87 | High |
| No.8 | 3125.44 | 3470.80 | 0.69 | 0.82 | Low |
| No.9 | 3286.59 | 3597.43 | 0.73 | 0.85 | Low |
| No.10 | 2296.75 | 2533.66 | 0.51 | 0.60 | Low |
| No.11 | 4208.30 | 4403.50 | 0.93 | 1.04 | High |
| No.12 | 4115.87 | 4329.42 | 0.91 | 1.03 | High |
Publisher’s Note: MDPI stays neutral with regard to jurisdictional claims in published maps and institutional affiliations. |
© 2021 by the authors. Licensee MDPI, Basel, Switzerland. This article is an open access article distributed under the terms and conditions of the Creative Commons Attribution (CC BY) license (https://creativecommons.org/licenses/by/4.0/).
Share and Cite
Petroselli, A.; Apollonio, C.; De Luca, D.L.; Salvaneschi, P.; Pecci, M.; Marras, T.; Schirone, B. Comparative Evaluation of the Rainfall Erosivity in the Rieti Province, Central Italy, Using Empirical Formulas and a Stochastic Rainfall Generator. Hydrology 2021, 8, 171. https://doi.org/10.3390/hydrology8040171
Petroselli A, Apollonio C, De Luca DL, Salvaneschi P, Pecci M, Marras T, Schirone B. Comparative Evaluation of the Rainfall Erosivity in the Rieti Province, Central Italy, Using Empirical Formulas and a Stochastic Rainfall Generator. Hydrology. 2021; 8(4):171. https://doi.org/10.3390/hydrology8040171
Chicago/Turabian StylePetroselli, Andrea, Ciro Apollonio, Davide Luciano De Luca, Pietro Salvaneschi, Massimo Pecci, Tatiana Marras, and Bartolomeo Schirone. 2021. "Comparative Evaluation of the Rainfall Erosivity in the Rieti Province, Central Italy, Using Empirical Formulas and a Stochastic Rainfall Generator" Hydrology 8, no. 4: 171. https://doi.org/10.3390/hydrology8040171
APA StylePetroselli, A., Apollonio, C., De Luca, D. L., Salvaneschi, P., Pecci, M., Marras, T., & Schirone, B. (2021). Comparative Evaluation of the Rainfall Erosivity in the Rieti Province, Central Italy, Using Empirical Formulas and a Stochastic Rainfall Generator. Hydrology, 8(4), 171. https://doi.org/10.3390/hydrology8040171

