Urban Stormwater Temperature Surges: A Central US Watershed Study
Abstract
:1. Introduction
2. Experimental Section
2.1. Study Site
| Sub-Basin | Site #1 | Site #2 | Site #3 | Site #4 | Site #5 |
|---|---|---|---|---|---|
| Total Area (km2) | 77 | 101 | 114 | 180 | 206 |
| Stream Length (km) | 20 | 27 | 32 | 40 | 49 |
| Stream Width (m) | 12.2 | 16 | 13.4 | 18.4 | 14.1 |
| Riparian Shading | 66% | 51% | 35% | 43% | 48% |
| Urban (km2) | 3.9 (5.1) | 6.1 (6.0) | 12.5 (11.0) | 28.8 (16.0) | 47.4 (23.0) |
| Pasture/Crop (km2) | 43.9 (57.0) | 56.6 (56.0) | 58.1 (51.0) | 82.8 (46.0) | 84.5 (41.0) |
| Forested (km2) | 27.7 (36.0) | 36.4 (36.0) | 41 (36.0) | 64.8 (36.0) | 70 (36.0) |
| Wetland/Water (km2) | 1.5 (1.9) | 2 (2.0) | 2.3 (2.0) | 3.6 (2.0) | 4.1 (2.0) |

2.2. Methods
| Instrument | Measurement | Accuracy |
|---|---|---|
| TE525WS Rain Gauge | Precipitation in mm | +1% at 2.54 cm/h rainfall rate to −3.5% at 5.08 to 7.62 cm/h rainfall rate |
| LI200X, LICOR pyrometer | Solar Radiation in W/m2 | ±5% |
| Sutron Accubar® Constant Flow Bubble Gauge/Recorder 560133 | Water stage in mm | 0.02% at 0–25 ft to 0.05% at 26–50 ft |
| Campbell Scientific, Inc. Model HMP45C Temperature and Relative Humidity Probe with radiation shield | Air temperature in °C and relative humidity in % | ±0.2 °C at 20 °C to ±0.5 at 60 °C |
| Campbell Scientific, Inc. CS107-L temperature probe | Water temperature in °C | ±0.2 °C |
2.2.1. Stream Water Temperature
2.2.2. Streamflow Class Calculations
3. Results
3.1. Climate during Study
| Climate Data | Daily Statistic | Site #1 | Site #2 | Site #3 | Site #4 | Site #5 |
|---|---|---|---|---|---|---|
| Precip. (mm) | * Annual Total | 838.4 | 826.5 | 872.1 | 866.0 | 803.8 |
| Discharge | Mean | 0.7 | 0.7 | 1.0 | 1.5 | 2.5 |
| (m3/s) | † St. Dev. | 4.5 | 4.2 | 5.3 | 6.2 | 10.0 |
| Minimum | <0.1 | <0.1 | <0.1 | <0.1 | <0.1 | |
| Maximum | 82.1 | 66.4 | 86.7 | 114.9 | 137.9 | |
| Tw (°C) | Mean | 13.7 | 14.2 | 14.2 | 14.4 | 14.2 |
| St. Dev. | 8.6 | 9.7 | 9.5 | 9.5 | 9.4 | |
| Minimum | 0 | 0.4 | 0.2 | 0.1 | 0.1 | |
| Maximum | 32.1 | 34.7 | 36.1 | 33.9 | 32.9 |
3.2. Stream Water Temperature
| Critical Thermal Criteria | Site #1 | Site #2 | Site #3 | Site #4 | Site #5 |
|---|---|---|---|---|---|
| Days Tw > 32.0 °C | 1 | 12 | 55 | 20 | 8 |
| Max duration Tw > 32.0 °C (hours) | 0.3 | 7.3 | 8.3 | 9.8 | 7.3 |
| Average Tw Surge (°C) | -- | -- | 2.0 | 2.9 | 4.8 |
| Average Surge Duration (h) | -- | -- | 3.0 | 7.6 | 9.2 |

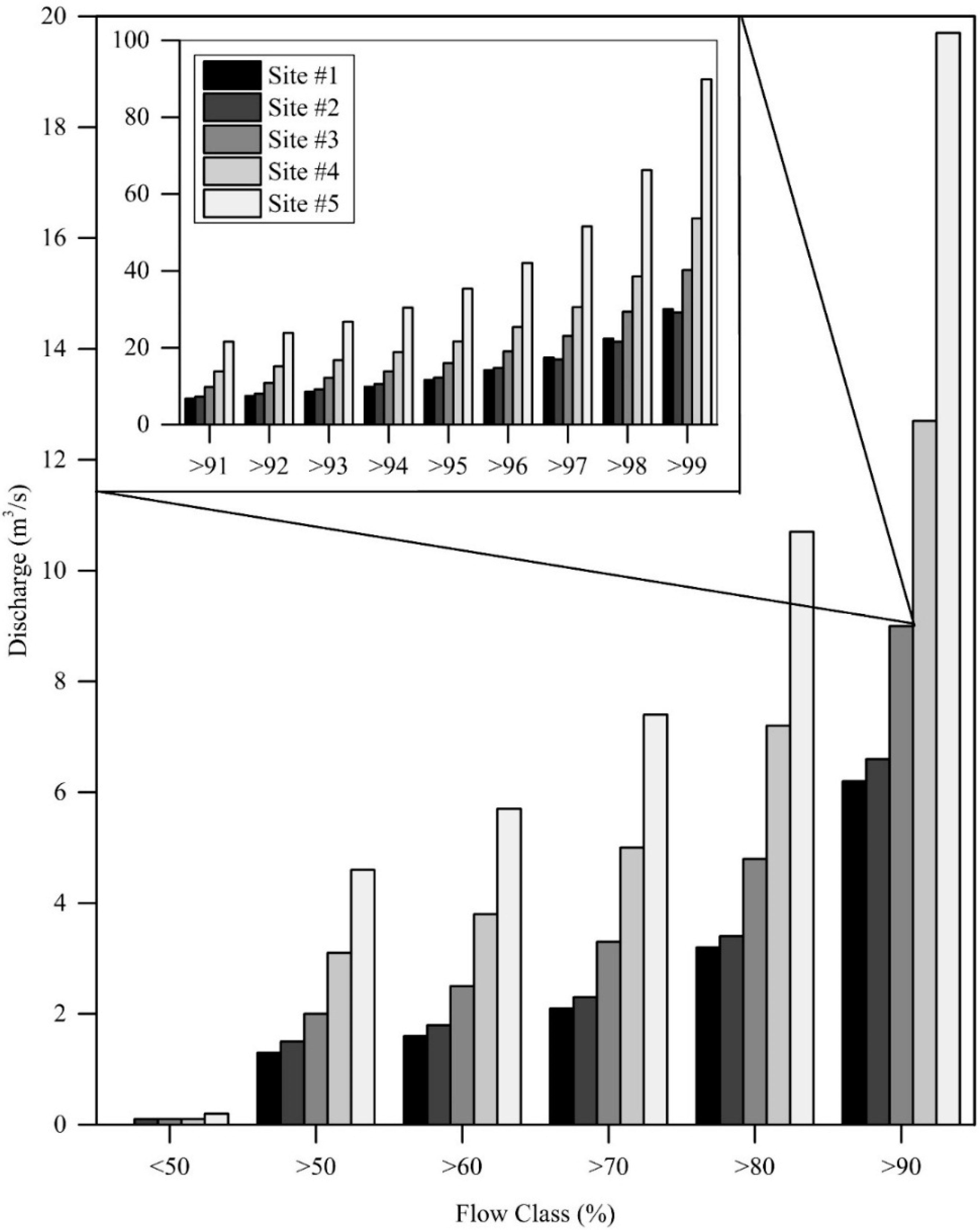
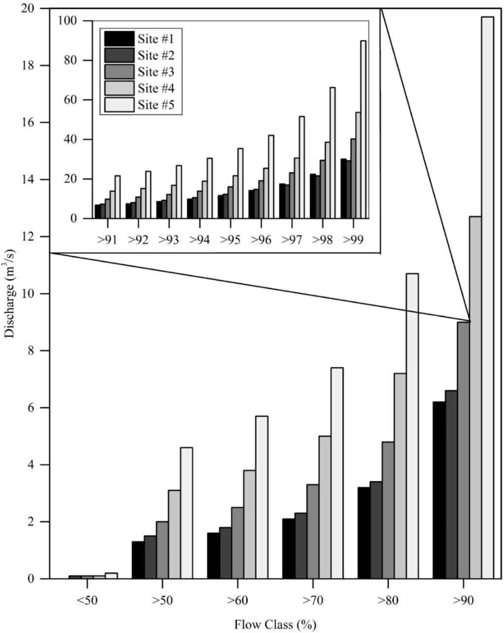
3.3. Streamflow Class Separations

4. Discussion
4.1. Climate during Study

4.2. Stream Water Temperature

4.3. Streamflow Class Calculations
4.4. Study Implications

5. Conclusions
Acknowledgments
Author Contributions
Conflict of Interest
References
- Caissie, D. The thermal regime of rivers: A review. Freshw. Biol. 2006, 51, 1389–1406. [Google Scholar]
- Subehi, L.; Fukushima, T.; Onada, Y.; Mizugaki, S.; Gomi, K.; Kosugi, K.; Hiramatsu, S.; Kitahara, H.; Kuraji, K.; Terajima, T. Analysis of stream water temperature changes during rainfall events in forested watersheds. Liminology 2010, 11, 115–124. [Google Scholar] [CrossRef]
- Webb, B.; Hannah, D.; Moore, R.; Brown, L.; Nobilis, F. Recent advances in stream and river temperature research. Hydrol. Process. 2008, 22, 902–918. [Google Scholar] [CrossRef]
- Bishop, P.L.; Eighmy, T.T. Aquatic wastewater treatment using Elodea Nuttallii. Water Pollut. Control Fed. 1989, 65, 641–648. [Google Scholar]
- Beitinger, T.L.; Bennett, W.A.; McCauley, R.W. Temperature tolerances of North American freshwater fishes exposed to dynamic changes in temperature. Environ. Biol. Fish. 2000, 58, 237–275. [Google Scholar] [CrossRef]
- Anka-Lufford, L.; Bets, J.D.; Cooper, A.M.; Daly, A.L.; Soundariarajan, S.; Stingel, A.M.; Winschel, G.A. A Chemical and Anthropogenic Impact Study of Lake Lonely; Skidmore College: Saratoga Springs, NY, USA, 2007. [Google Scholar]
- Cox, B.A. A review of currently available in-stream water-quality models and their applicability for simulating dissolved oxygen in lowland rivers. Sci. Total Environ. 2003, 314–316, 335–377. [Google Scholar] [CrossRef]
- Ward, J.V. Thermal characteristics of running waters. Hydrobiologia 1985, 125, 31–46. [Google Scholar] [CrossRef]
- Gu, R.; McCutcheon, S.; Chen, C. Development of weather dependent flow requirements for river temperature control. Environ. Manag. 1999, 24, 529–540. [Google Scholar] [CrossRef]
- Sinokrot, B.A.; Gulliver, J.S. In-stream flow impact on river water temperatures. J. Hydrol. Res. 2000, 38, 339–349. [Google Scholar] [CrossRef]
- Hubbart, J.A.; Kellner, E.; Hooper, L.; Lupo, A.R.; Market, P.S.; Guinan, P.E.; Stephan, K.; Fox, N.I.; Svoma, B.M. Localized climate and surface energy flux alterations across an urban gradient in the central US. Energies 2014, 7, 1770–1791. [Google Scholar] [CrossRef]
- Paul, M.J.; Myer, J.L. Streams in the urban landscape. Annu. Rev. Ecol. Syst. 2001, 32, 333–365. [Google Scholar] [CrossRef]
- Menberg, K.; Blum, P.; Schaffietel, A.; Bayer, P. Long-term evolution of anthropogenic heat fluxes into a subsurface urban heat island. Environ. Sci. Technol. 2013, 47, 9747–9755. [Google Scholar] [CrossRef] [PubMed]
- Kurylyk, B.L.; MacQuarrie, K.T.B.; Caissie, D.; McKenzie, J.M. Shallow groundwater thermal sensitivity to climate change and land cover disturbances: Derivation of analytical expressions and implications for stream temperature modeling. Hydrol. Earth Syst. Sci. 2015, 19, 2469–2489. [Google Scholar] [CrossRef]
- Anderson, W.P.; Storniolo, R.E.; Rice, J.S. Bank thermal storage as a sink of temperature surges in urbanized streams. J. Hydrol. 2011, 409, 525–537. [Google Scholar] [CrossRef] [Green Version]
- Herb, W.R.; Janke, B.; Mohseni, O.; Stefan, H.G. Thermal pollution of streams by runoff from paved surfaces. Hydrol. Process. 2008, 22, 987–999. [Google Scholar] [CrossRef]
- Hester, E.T.; Bauman, K.S. Stream and Retention pond thermal response to heated summer runoff from urban impervious surfaces. J. Am. Water Resour. Assoc. 2012, 49, 328–342. [Google Scholar] [CrossRef]
- Nelson, K.C.; Palmer, M.A. Stream water temperature surges under urbanization and climate change: Data, models, and responses. J. Am. Water Resour. Assoc. 2007, 43, 440–452. [Google Scholar] [CrossRef]
- Rice, J.S.; Anderson, W.P.; Thaxton, C.S. Urbanization influences on stream temperature behavior within low-discharge headwater streams. Hydrol. Res. Lett. 2011, 5, 27–31. [Google Scholar] [CrossRef]
- Chen, Y.D.; Carsel, R.F.; McCutcheon, S.C.; Nutter, W.L. Stream temperature simulation of forested riparian areas: I. Watershed-scale model development. J. Environ. Eng. 1998, 124, 304–315. [Google Scholar]
- Sun, N.; Yearsley, J.; Voisin, N.; Lettenmaier, D.P. A spatially distributed model for the assessment of land use impacts on stream temperature in small urban watersheds. Hydrol. Process. 2015, 29, 2331–2345. [Google Scholar] [CrossRef]
- Van Buren, M.A.; Watt, W.E.; Marsalek, J.; Anderson, B.C. Thermal enhancement of stormwater runoff by paved surfaces. Water Resour. 2000, 34, 1359–1371. [Google Scholar] [CrossRef]
- Hubbart, J.A.; Holmes, J.; Bowman, G. Integrating science based decision making and TMDL allocations in urbanizing watersheds. Watershed Sci. Bull. 2010, 1, 19–24. [Google Scholar]
- Missouri Department of Natrual Resources (MDNR). Total Maximum Daily Load (TMDL) for Hinkson Creek, Boone County; MDNR: Jefferson City, MO, USA, 2011. [Google Scholar]
- United States Census Bureau (USCB). US Census Bureau: State and County Quick Facts. 2014. Available online: http://quickfacts.census.gov/qfd/states/29000.html (accessed on 22 October 2015). [Google Scholar]
- Zhou, B.; He, H.S.; Nigh, T.A.; Schulz, J.H. Mapping and analyzing change of impervious surface for two decades using multitemporal Landsat imagery in Missouri. Int. J. Appl. Earth Observ. Geoinf. 2012, 18, 195–206. [Google Scholar] [CrossRef]
- Hooper, L.W. A Stream Physical Habitat Assessment in an Urbanizing Watershed of the Central USA. Master’s Thesis, University of Missouri, Columbia, MO, USA, 2015. [Google Scholar]
- Hubbart, J.A.; Zell, C. Considering streamflow trend analyses uncertainty in urbanizing watersheds: A baseflow case study in the central United States. Earth Interact. 2013, 17, 1–28. [Google Scholar] [CrossRef]
- Hubbart, J.A.; Muzika, R.M.; Huang, D.; Robinson, A. Improving Quantitative Understanding of Bottomland Hardwood Forest Influence on Soil Water Consumption in an Urban Floodplain. Watershed Sci. Bull. 2011, 3, 34–43. [Google Scholar]
- Hubbart, J.A.; Kellner, E.; Freeman, G. A case study considering the comparability of mass and volumetric suspended sediment data. Environ. Earth Sci. 2013, 71, 4051–4060. [Google Scholar] [CrossRef]
- Dottori, F.; Martina, M.L.V.; Todini, E. A dynamic rating curve approach to indirect discharge measurement. Hydrol. Earth Syst. Sci. 2009, 13, 847–863. [Google Scholar] [CrossRef]
- Dinan, K.F. Application of the Stream Network Temperature Model (SNTEMP) to the Central Platte River, Nebraska; Professional Paper; Department of Fishery and Wildlife Biology, Colorado State University: Fort Collins, CO, USA, 1992. [Google Scholar]
- Webb, B.W.; Clack, P.D.; Walling, D.E. Water—Air temperature relationships in a Devon River system and the role of flow. Hydrol. Process. 2003, 17, 3069–3084. [Google Scholar] [CrossRef]
- National Oceanic and Atmospheric Administration (NOAA) National Climatic Data Center. State of the Climate: Drought for Annual 2012. Available online: http://www.ncdc.noaa.gov/sotc/drought/2012/13 (accessed on 10 July 2014).
- Bogan, T.; Mohseni, O.; Stefan, H.G. Stream temperature-equilibrium temperature relationship. Water Resour. Res. 2003. [Google Scholar] [CrossRef]
- Zeiger, S.J.; Hubbart, J.A.; Anderson, S.; Stambaugh, M. Quantifying and modeling urban stream temperature: A central US watershed study. Hydrol. Process. 2015. [Google Scholar] [CrossRef]
- Anderson, W.P.; Anderson, J.L.; Thaxton, C.S.; Babyak, C.M. Changes in stream temperature in response to restoration of groundwater discharge and solar heating in a culverted, urban stream. J. Hydrol. 2010, 393, 309–320. [Google Scholar] [CrossRef]
- Davis, AP. Green engineering principles promote low-impact development. Environ. Sci. Technol. 2005, 39, 338A–344A. [Google Scholar] [CrossRef] [PubMed]
© 2015 by the authors; licensee MDPI, Basel, Switzerland. This article is an open access article distributed under the terms and conditions of the Creative Commons Attribution license (http://creativecommons.org/licenses/by/4.0/).
Share and Cite
Zeiger, S.J.; Hubbart, J.A. Urban Stormwater Temperature Surges: A Central US Watershed Study. Hydrology 2015, 2, 193-209. https://doi.org/10.3390/hydrology2040193
Zeiger SJ, Hubbart JA. Urban Stormwater Temperature Surges: A Central US Watershed Study. Hydrology. 2015; 2(4):193-209. https://doi.org/10.3390/hydrology2040193
Chicago/Turabian StyleZeiger, Sean J., and Jason A. Hubbart. 2015. "Urban Stormwater Temperature Surges: A Central US Watershed Study" Hydrology 2, no. 4: 193-209. https://doi.org/10.3390/hydrology2040193
APA StyleZeiger, S. J., & Hubbart, J. A. (2015). Urban Stormwater Temperature Surges: A Central US Watershed Study. Hydrology, 2(4), 193-209. https://doi.org/10.3390/hydrology2040193
