Spatiotemporal Characteristics and Identification of Typical Hydrological Patterns of Interval Inflow in the Three Gorges Reservoir Basin, China
Abstract
1. Introduction
2. Materials and Methods
2.1. Study Area and Data
2.2. Analytical Method
2.2.1. Interval Inflow Calculation and Sensitivity Analysis
2.2.2. Multiscale Statistical Analysis and Scenario Classification
2.2.3. Typical Pattern Recognition Based on K-Means Clustering
3. Results
3.1. Flow Propagation Time and Statistical Characteristics of Interval Inflow
3.2. Multiscale Statistical Analysis
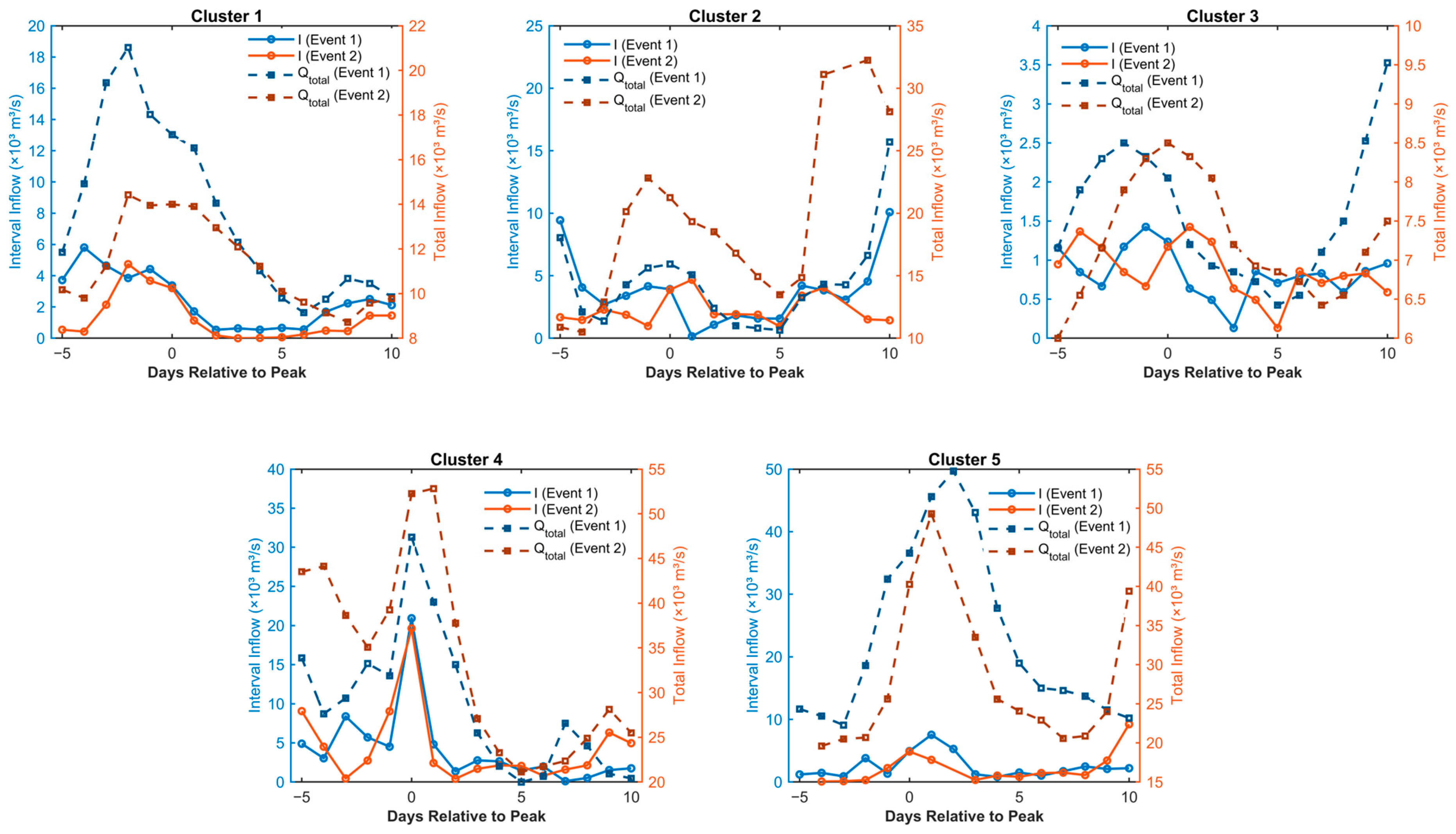
3.3. Identification and Analysis of Typical Behavioral Patterns of Interval Inflow
3.4. Analysis of the High-Risk Cluster
4. Discussion
4.1. Robustness of the Analytical Framework
4.2. Mechanism of the Inverted U-Shaped Contribution Pattern
4.3. Hydrological Interpretations of the Five Identified Patterns
4.4. Implications for Flood Risk and Reservoir Operation
5. Conclusions
- (1)
- The optimal flow travel time from upstream stations to the TGR dam site is consistently 1 day across different flow regimes. Interval inflow is highly variable (mean 1279 ± 1651 m3/s) and contributes an average of 10.1% to total inflow, exhibiting a right-skewed distribution. Its contribution ratio follows an inverted U-shaped tendency, peaking under moderate flood conditions.
- (2)
- Using a multi-criteria cluster validation approach, five distinct hydrological patterns of interval inflow (C1–C5) were robustly identified. This classification was more reliable than that using the elbow method alone and was validated through bootstrap and alternative algorithms (bootstrap ARI = 0.96, cross-algorithm ARI > 0.85).
- (3)
- Among these, Cluster C4 (the localized high-impact pattern) poses the greatest challenge to flood control. Characterized by the highest mean interval inflow (6425 m3/s) and contribution ratio (27.8%), these events are flashy (mean flashiness index: 1.48) and driven by local rainstorms, which implies a substantially shorter forecast lead time and necessitates dedicated nowcasting strategies.
- (4)
- The findings of this study demonstrate that flood risk in the TGR is pattern-dependent. Therefore, effective risk management requires tailored strategies for each pattern: enhanced nowcasting for C4, forecast-informed operations for mainstream floods (C5), and strategic drawdown scheduling for spring high-contribution events (C2). The proposed analytical framework is transferable to other large reservoirs facing similar ungauged inflow challenges.
Author Contributions
Funding
Data Availability Statement
Conflicts of Interest
References
- Kummu, M.; Varis, O. Sediment-related impacts due to upstream reservoir trapping, the Lower Mekong River. Geomorphology 2007, 85, 275–293. [Google Scholar] [CrossRef]
- Fagundes, H.O.; Fleischmann, A.S.; Fan, F.M.; Paiva, R.C.D.; Buarque, D.C.; Siqueira, V.A.; Collischonn, W.; Borrelli, P. Human-Induced Changes in South American River Sediment Fluxes From 1984 to 2019. Water Resour. Res. 2023, 59, e2023WR034519. [Google Scholar] [CrossRef]
- Li, X.; Liu, J.P.; Saito, Y.; Nguyen, V.L. Recent evolution of the Mekong Delta and the impacts of dams. Earth-Sci. Rev. 2017, 175, 1–17. [Google Scholar] [CrossRef]
- Li, S.; Zhu, L.; Yuan, J.; Dong, B.; Lv, C.; Yang, C. Riverbed Adjustments in Gravel—Sand Reaches Immediately Downstream of Large Reservoirs. Sustainability 2024, 16, 11245. [Google Scholar] [CrossRef]
- Dai, X.; Wang, L.; Cao, Q.; Niu, Z.; Luo, Z.; Luo, Y. Assessing the Hydrological and Social Effects of Three Gorges Reservoir Using a Modified SWAT Model. J. Earth Sci. 2025, 36, 1793–1807. [Google Scholar] [CrossRef]
- Wang, Y.; Yang, G.; Yuan, S.; Zhang, H.; Tang, H. Nonstationary response of hydrology and water quality in river-connnected lakes: Comparative analysis of pre- and post- three Gorges Dam. J. Hydrol. 2025, 662, 133958. [Google Scholar] [CrossRef]
- Ge, H.; Zhu, L.; Mao, B. Evolution of tidal reaches of the Yangtze River related to reduced non-uniform sediment after the impoundment of Three Gorges Reservoir. Catena 2025, 260, 109462. [Google Scholar] [CrossRef]
- Jiang, A.; Wang, D.; Ning, Z.; Li, P.; Xu, T.; Zhu, B.; Peng, Q.; Jin, T.; Lin, J.; Zhang, D. Spatio-temporal characteristics and influencing factors of water quality in Xiangxi Bay under the operation of the three gorges reservoir. J. Contam. Hydrol. 2025, 270, 104518. [Google Scholar] [CrossRef]
- Su, H.; Chen, X.; Zhang, J.; Wang, Z.; Guo, Y.; Ouyang, S. Quantitative analysis of water exchange between Yangtze River and Dongting Lake. Water Sci. Eng. 2026, 19, 56–66. [Google Scholar] [CrossRef]
- Huang, J.; Tan, C.; Chen, X.; Li, J.; Zhao, B.; Tang, X.; Li, Y.; Gao, C. Modeling framework for coordinated operation of series-parallel reservoir groups considering storage-discharge regulation mechanisms. J. Hydrol. Reg. Stud. 2025, 58, 102245. [Google Scholar] [CrossRef]
- Mei, X.; Dai, Z.; Du, J.; Cheng, J. Three Gorges Dam enhanced organic carbon burial within the sediments of Poyang Lake, China. Catena 2024, 238, 107859. [Google Scholar] [CrossRef]
- Huang, S.; Xia, J.; Zeng, S.; Wang, Y.; She, D. Effect of Three Gorges Dam on Poyang Lake water level at daily scale based on machine learning. J. Geogr. Sci. 2021, 31, 1598–1614. [Google Scholar] [CrossRef]
- Cheng, H.; Wang, T.; Yang, D. Quantifying the Regulation Capacity of the Three Gorges Reservoir on Extreme Hydrological Events and Its Impact on Flow Regime in a Changing Climate. Water Resour. Res. 2024, 60, e2023WR036329. [Google Scholar] [CrossRef]
- Xu, Y.; Yu, S.; Liu, D.; Ma, J.; Chuo, M. The Impact of the Three Gorges Reservoir Operations on Hydraulic Characteristics in the Backwater Region: A Comprehensive 2D Modeling Study. Water 2024, 16, 2045. [Google Scholar] [CrossRef]
- Wang, B.; Tian, F.; Hu, H. Analysis of the effect of regional lateral inflow on the flood peak of the Three Gorges Reservoir. Sci. China Technol. Sci. 2011, 54, 914–923. [Google Scholar] [CrossRef]
- Dong, N.; Yang, M.; Wei, J.; Arnault, J.; Laux, P.; Xu, S.; Wang, H.; Yu, Z.; Kunstmann, H. Toward Improved Parameterizations of Reservoir Operation in Ungauged Basins: A Synergistic Framework Coupling Satellite Remote Sensing, Hydrologic Modeling, and Conceptual Operation Schemes. Water Resour. Res. 2023, 59, e2022WR033026. [Google Scholar] [CrossRef]
- Huang, Z.; Chen, X.; Pan, Z.; Gao, R.; Men, J.; Bi, P.; Huang, N.; Zhang, F.; Yang, R. Increasingly frequent and severe dry-to-wet abrupt alteration events are striking the Yangtze River Basin in China. Atmos. Res. 2025, 315, 107926. [Google Scholar] [CrossRef]
- Li, Z.; Yang, D.; Hong, Y.; Zhang, J.; Qi, Y. Characterizing Spatiotemporal Variations of Hourly Rainfall by Gauge and Radar in the Mountainous Three Gorges Region. J. Appl. Meteorol. Clim. 2014, 53, 873–889. [Google Scholar] [CrossRef]
- Sun, Y.; Zhang, Q.; Song, W.; Tang, S.; Singh, V.P. Hydrological responses of three gorges reservoir region (China) to climate and land use and land cover changes. Nat. Hazards 2025, 121, 1505–1530. [Google Scholar] [CrossRef]
- Xu, H.; Taylor, R.G.; Kingston, D.G.; Jiang, T.; Thompson, J.R.; Todd, M.C. Hydrological modeling of River Xiangxi using SWAT2005: A comparison of model parameterizations using station and gridded meteorological observations. Quat. Int. 2010, 226, 54–59. [Google Scholar] [CrossRef]
- Zhi, X.; Xu, Y.; Chen, L.; Chen, S.; Zhang, Z.; Meng, X.; Shen, Z. The synergistic response between temperature, flow field and nutrients in the tributary disturbed by the Three Gorges reservoir. J. Hydrol. 2024, 639, 131636. [Google Scholar] [CrossRef]
- Wu, B.; Zhang, H.; Zhang, D.; Fan, Q.; Li, L.; Lan, H. Influence of water level change of Three Gorges Reservoir on rainfall and runoff in reservoir area. Yangtze River 2022, 53, 76–80. [Google Scholar] [CrossRef]
- Zhang, N.; He, H.M.; Zhang, S.F.; Jiang, X.H.; Xia, Z.Q.; Huang, F. Influence of Reservoir Operation in the Upper Reaches of the Yangtze River (China) on the Inflow and Outflow Regime of the TGR-based on the Improved SWAT Model. Water Resour. Manag. 2012, 26, 691–705. [Google Scholar] [CrossRef]
- Fan, M.; Liu, S.; Lu, D. Advancing subseasonal reservoir inflow forecasts using an explainable machine learning method. J. Hydrol. Reg. Stud. 2023, 50, 101584. [Google Scholar] [CrossRef]
- Moeini, R.; Nasiri, K.; Hosseini, S.H. Predicting the Water Inflow Into the Dam Reservoir Using the Hybrid Intelligent GP-ANN- NSGA-II Method. Water Resour. Manag. 2024, 38, 4137–4159. [Google Scholar] [CrossRef]
- Mahmood, O.A.; Sulaiman, S.O.; Al-Jumeily, D. Forecasting for Haditha reservoir inflow in the West of Iraq using Support Vector Machine (SVM). PLoS ONE 2024, 19, e0308266. [Google Scholar] [CrossRef]
- Zhao, Z.; Wang, X.; Jin, H.; Zheng, J. Research on monthly runoff prediction model considering secondary decomposition of multiple fitness functions and deep learning. Geomat. Nat. Hazards Risk 2025, 16, 2469775. [Google Scholar] [CrossRef]
- Prakash, H.; Pandey, K.K.; Soni, P. Peak discharge estimation for ungauged basins: A review. J. Water Clim. Change 2025, 16, 3483–3507. [Google Scholar] [CrossRef]
- Du, T.L.T.; Lee, H.; Bui, D.D.; Graham, L.P.; Darby, S.D.; Pechlivanidis, I.G.; Leyland, J.; Biswas, N.K.; Choi, G.; Batelaan, O.; et al. Streamflow Prediction in Highly Regulated, Transboundary Watersheds Using Multi-Basin Modeling and Remote Sensing Imagery. Water Resour. Res. 2022, 58, e2021WR031191. [Google Scholar] [CrossRef]
- Jia, Y.; Su, X.; Singh, V.P.; Zhao, B.; Zhang, T.; Chu, J.; Wu, H. A Novel Hybrid Predictive Model Based on Mixture Density Networks With Weighted Conformal Inference Strategy for Runoff Interval Prediction Across Australia. Water Resour. Res. 2026, 62, e2024WR039807. [Google Scholar] [CrossRef]
- Huang, R.; Wang, M.; Zhang, X.; Zhou, M.; Liu, L.; Ren, S. Calculation of Local Inflow Process of the Three Gorges Reservoir. J. Chang. River Sci. Res. Inst. 2018, 35, 67–69. [Google Scholar] [CrossRef]
- Liu, S.; Wang, D.; Wang, Z.; Xu, Z.; Li, D. Propagation characteristics of the flow and suspended sediment peaks in the three gorges reservoir, China: Insight from numerical simulations and measured data. Hydrol. Process. 2023, 37, e15000. [Google Scholar] [CrossRef]
- Wang, J.; Zhang, H.; Sun, Z.; Mingliang, Z. Flood Routing Simulation and Propagation Law Analysis in Three Gorges Reservoir Area. Pearl River 2023, 44, 9–16. [Google Scholar] [CrossRef]
- Cui, Z.; Guo, S.; Hu, C.; Yin, J.; Chen, K.; Zhang, X. Probabilistic runoff forecasting based on Coupled multi-model posterior distributions. Adv. Water Sci. 2026, 37, 1–12. [Google Scholar]
- Deng, S.; Xia, J.; Chen, Y.; Zhou, M.; Zhou, Y.; Wang, Z. Integrated modelling of flow-sediment transport and power generation in the Three Gorges Reservoir. Sci. Total Environ. 2024, 921, 170983. [Google Scholar] [CrossRef]
- Zhang, Y.; Zhong, P.; Wang, M.; Xu, B.; Chen, J. Changes identification of the Three Gorges reservoir inflow and the driving factors quantification. Quat. Int. 2018, 475, 28–41. [Google Scholar] [CrossRef]
- Xiong, G.; Mao, J.; Cai, H.; Zhang, H. Optimal reservoir operation for transport timescales using an integrated methodology. Environ. Res. Lett. 2023, 18, 114025. [Google Scholar] [CrossRef]
- Sheng, L.; Liu, D.; Wang, B.; Yu, S.; Zuo, Y.; Gu, F. Temporal variations characteristic of precipitation in the Three Gorges Reservoir area from 1961 to 2016. J. Water Clim. Change 2022, 13, 1765–1775. [Google Scholar] [CrossRef]
- Huang, R.; Huang, Y. Preliminary Study on1-D Numerical Simulation of Unsteady flow and Sediment Transport in Mainstream and Tributaries of Three Gorges Reservoir Area. J. Yangtze River Sci. Res. Inst. 2009, 26, 9–13. [Google Scholar] [CrossRef]
- Huang, R.; Li, F.; Zhang, X. Numerical Simulation of Flow and Sediment Transport in the Early Stage of Three Gorges Reservoir Operation. J. Chang. River Sci. Res. Inst. 2012, 29, 7–12. [Google Scholar] [CrossRef]
- Bartlett, M.S. Some Aspects of the Time-Correlation Problem in Regard to Tests of Significance. J. R. Stat. Soc. 1935, 98, 536–543. [Google Scholar] [CrossRef]
- Wang, S.; Peng, H. Multiple spatio-temporal scale runoff forecasting and driving mechanism exploration by K-means optimized XGBoost and SHAP. J. Hydrol. 2024, 630, 130650. [Google Scholar] [CrossRef]
- Kisi, O.; Heddam, S.; Parmar, K.S.; Yaseen, Z.M.; Kulls, C. Improved monthly streamflow prediction using integrated multivariate adaptive regression spline with K-means clustering: Implementation of reanalyzed remote sensing data. Stoch. Environ. Res. Risk Assess. 2024, 38, 2489–2519. [Google Scholar] [CrossRef]
- Guru, N. Implication of partial duration series on regional flood frequency analysis. Int. J. River Basin Manag. 2022, 22, 167–186. [Google Scholar] [CrossRef]
- Feng, Z.; Niu, W.; Zhang, R.; Wang, S.; Cheng, C. Operation rule derivation of hydropower reservoir by k-means clustering method and extreme learning machine based on particle swarm optimization. J. Hydrol. 2019, 576, 229–238. [Google Scholar] [CrossRef]
- Noorbeh, P.; Roozbahani, A.; Moghaddam, H.K. Annual and Monthly Dam Inflow Prediction Using Bayesian Networks. Water Resour. Manag. 2020, 34, 2933–2951. [Google Scholar] [CrossRef]
- Roushangar, K.; Alizadeh, F. A multiscale spatio-temporal framework to regionalize annual precipitation using k-means and self-organizing map technique. J. Mt. Sci. 2018, 15, 1481–1497. [Google Scholar] [CrossRef]
- Sotomayor, G.; Hampel, H.; Vázquez, R.F. Water quality assessment with emphasis in parameter optimisation using pattern recognition methods and genetic algorithm. Water Res. 2018, 130, 353–362. [Google Scholar] [CrossRef]
- Shen, H.; Dong, L.; Tang, W.; Zeng, Y. Physically Consistent Runoff Simulation in Mountainous Catchments Using a Time-Varying Gated Hybrid XAJ–LSTM Model. Water 2025, 17, 3507. [Google Scholar] [CrossRef]
- Chen, L.; Xu, S.; Zhang, W.; Zhai, S.; Liu, X.; Yang, L. Changes in the composition of flood peaks in the Three Gorges Reservoir and analysis of its causes. Adv. Water Sci. 2025, 36, 39–49. [Google Scholar] [CrossRef]
- Zhang, K.; Yuan, X.; Lu, Y.; Guo, Z.; Wang, J.; Luo, H. Quantifying the Impact of Cascade Reservoirs on Streamflow, Drought, and Flood in the Jinsha River Basin. Sustainability 2023, 15, 4989. [Google Scholar] [CrossRef]
- Wang, S.; Ma, Y.; Zhu, D.; Yao, H.; Wang, X. Quantitative Analysis of Flood Peak Attenuation Capacity of the Three Gorges Reservoir Facing Historical Floods. J. Chang. River Sci. Res. Inst. 2023, 40, 73–77. [Google Scholar] [CrossRef]
- Li, Y.; Liu, D.; Xiong, Y. Flood Encounter Analysis of Yangtze River in 2016. J. Water Resour. Res. 2017, 6, 568–576. [Google Scholar] [CrossRef]









| Flow Grade | (m3/s) | (m3/s) | (%) | Ratio |
|---|---|---|---|---|
| Q1 (Lowest Flow) | 4933 | 457 | 9.3 | 0.093 |
| Q2 (Lower-Mid Flow) | 7240 | 723 | 9.8 | 0.100 |
| Q3 (Upper-Mid Flow) | 13,014 | 1478 | 11.4 | 0.114 |
| Q4 (Highest Flow) | 25,099 | 2496 | 9.9 | 0.099 |
| Pattern | Frequency | Dominant Month | (m3/s) | (%) | (m3/s) | Ratio | CV |
|---|---|---|---|---|---|---|---|
| C1 | 24.2% | Dec | 580 | 7.0 | 8858 | 0.065 | 0.725 |
| C2 | 21.9% | May | 1592 | 15.5 | 10,448 | 0.152 | 0.487 |
| C3 | 25.0% | Jan | 415 | 8.1 | 5240 | 0.079 | 0.521 |
| C4 | 5.7% | Jun | 6425 | 27.8 | 24,490 | 0.262 | 0.454 |
| C5 | 23.2% | Aug | 1369 | 6.2 | 22,723 | 0.060 | 0.687 |
| Date | Peak I (m3/s) | Peak R (%) | Duration (Days) | Flood Volume (108 m3) | Flashiness Index |
|---|---|---|---|---|---|
| 1 July 2016 | 20,925 | 44.2 | 11.0 | 63.36 | 1.63 |
| 19 September 2014 | 19,630 | 37.6 | 3.0 | 27.00 | 1.78 |
| 2 September 2014 | 19,530 | 42.2 | 5.0 | 40.14 | 1.38 |
| 4 October 2017 | 15,820 | 51.9 | 5.0 | 43.11 | 1.18 |
| 5 October 2017 | 15,390 | 47.0 | 5.0 | 43.11 | 1.18 |
| 1 September 2014 | 13,585 | 33.4 | 12.0 | 66.37 | 1.38 |
| 5 August 2011 | 13,015 | 41.2 | 5.0 | 22.34 | 1.42 |
| 5 July 2012 | 12,500 | 23.9 | 2.0 | 13.74 | 1.54 |
| 23 June 2011 | 12,170 | 43.2 | 4.0 | 17.63 | 1.69 |
| 10 July 2010 | 11,285 | 31.2 | 6.0 | 24.11 | 1.61 |
| Mean | 15,385 | 39.6 | 5.8 | 36.09 | 1.48 |
Disclaimer/Publisher’s Note: The statements, opinions and data contained in all publications are solely those of the individual author(s) and contributor(s) and not of MDPI and/or the editor(s). MDPI and/or the editor(s) disclaim responsibility for any injury to people or property resulting from any ideas, methods, instructions or products referred to in the content. |
© 2026 by the authors. Licensee MDPI, Basel, Switzerland. This article is an open access article distributed under the terms and conditions of the Creative Commons Attribution (CC BY) license.
Share and Cite
Zhang, Q.; Li, Z.; Dong, Y.; Wang, H.; Wang, Y.; Li, Z.; Feng, Q.; Huang, H. Spatiotemporal Characteristics and Identification of Typical Hydrological Patterns of Interval Inflow in the Three Gorges Reservoir Basin, China. Hydrology 2026, 13, 75. https://doi.org/10.3390/hydrology13020075
Zhang Q, Li Z, Dong Y, Wang H, Wang Y, Li Z, Feng Q, Huang H. Spatiotemporal Characteristics and Identification of Typical Hydrological Patterns of Interval Inflow in the Three Gorges Reservoir Basin, China. Hydrology. 2026; 13(2):75. https://doi.org/10.3390/hydrology13020075
Chicago/Turabian StyleZhang, Qi, Zhifei Li, Yaoyao Dong, Hongyan Wang, Yu Wang, Zhonghe Li, Quanqing Feng, and Hefei Huang. 2026. "Spatiotemporal Characteristics and Identification of Typical Hydrological Patterns of Interval Inflow in the Three Gorges Reservoir Basin, China" Hydrology 13, no. 2: 75. https://doi.org/10.3390/hydrology13020075
APA StyleZhang, Q., Li, Z., Dong, Y., Wang, H., Wang, Y., Li, Z., Feng, Q., & Huang, H. (2026). Spatiotemporal Characteristics and Identification of Typical Hydrological Patterns of Interval Inflow in the Three Gorges Reservoir Basin, China. Hydrology, 13(2), 75. https://doi.org/10.3390/hydrology13020075

