A Flood Forecasting Method in the Francolí River Basin (Spain) Using a Distributed Hydrological Model and an Analog-Based Precipitation Forecast
Abstract
1. Introduction
2. Case Study
3. Materials and Methods
3.1. RIBS Hydrological Model
3.2. RIBS Model Calibration
3.3. Meteorological Analogs Methodology
3.4. Probabilistic Forecasts Based on the Meteorological Analog Methodology
4. Results
4.1. Calibration of the RIBS Model
4.1.1. Calibration Results
4.1.2. Sensitivity Analysis
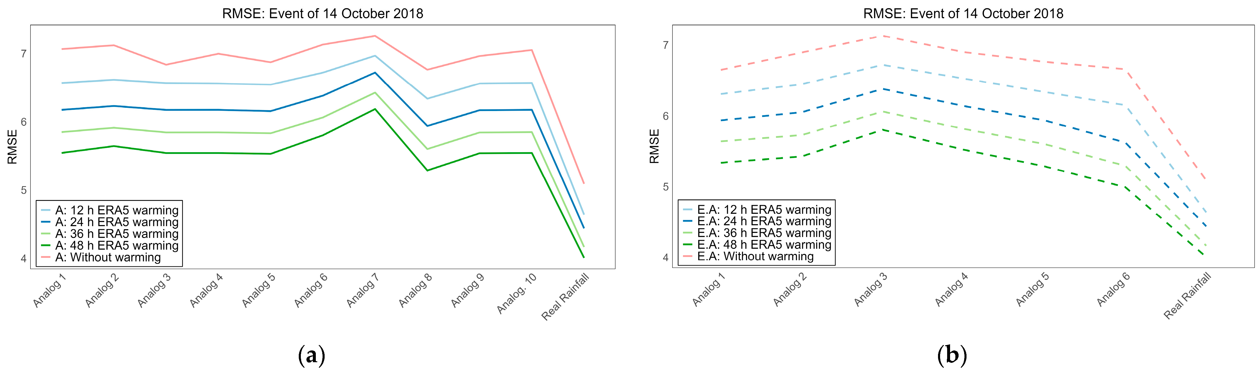
4.2. Rainfall Forecast Fields Obtained with the Meteorological Analogs Methodology
4.3. Identification of the Best Method to Estimate the Catchment Initial Soil Moisture Content at the Beginning of the Flood Event
4.4. Probabilistic Forecasts
5. Discussion
5.1. Model Calibration
5.2. Analysis of Simulations
5.3. Applicability of the Methodology
6. Conclusions
Supplementary Materials
Author Contributions
Funding
Data Availability Statement
Acknowledgments
Conflicts of Interest
References
- Intergovernmental Panel on Climate Change (IPCC). Summary for Policymakers. In Climate Change 2023–Synthesis Report. Contribution of Working Groups I, II and III to the Sixth Assessment Report of the Intergovernmental Panel on Climate Change; Lee, H., Romero, J., Eds.; IPCC: Geneva, Switzerland, 2023; pp. 1–34. [Google Scholar] [CrossRef]
- Intergovernmental Panel on Climate Change (IPCC). Technical Summary. In Climate Change 2022–Impacts, Adaptation and Vulnerability: Working Group II Contribution to the Sixth Assessment Report of the Intergovernmental Panel on Climate Change; Pörtner, H.-O., Roberts, D.C., Tignor, M., Poloczanska, E.S., Mintenbeck, K., Alegría, A., Craig, M., Langsdorf, S., Löschke, S., Möller, V., et al., Eds.; Cambridge University Press: Cambridge, UK, 2023; pp. 37–118. [Google Scholar] [CrossRef]
- Intergovernmental Panel on Climate Change (IPCC). Technical Summary. In Climate Change 2021–The Physical Science Basis: Working Group I Contribution to the Sixth Assessment Report of the Intergovernmental Panel on Climate Change; Pörtner, H.-O., Roberts, D.C., Tignor, M., Poloczanska, E.S., Mintenbeck, K., Alegría, A., Craig, M., Langsdorf, S., Löschke, S., Möller, V., et al., Eds.; Cambridge University Press: Cambridge, UK, 2023; pp. 35–144. [Google Scholar]
- Kundzewicz, Z.W.; Pińskwar, I.; Brakenridge, G.R. Changes in River Flood Hazard in Europe: A Review. Hydrol. Res. 2017, 49, 294–302. [Google Scholar] [CrossRef]
- Llasat, M.C.; del Moral, A.; Cortès, M.; Rigo, T. Convective Precipitation Trends in the Spanish Mediterranean Region. Atmos. Res. 2021, 257, 105581. [Google Scholar] [CrossRef]
- Treppiedi, D.; Cipolla, G.; Noto, L.V. Convective Precipitation over a Mediterranean Area: From Identification to Trend Analysis Starting from High-resolution Rain Gauges Data. Int. J. Climatol. 2022, 43, 293–313. [Google Scholar] [CrossRef]
- Myhre, G.; Alterskjær, K.; Stjern, C.W.; Hodnebrog, Ø.; Marelle, L.; Samset, B.H.; Sillmann, J.; Schaller, N.; Fischer, E.; Schulz, M.; et al. Frequency of Extreme Precipitation Increases Extensively with Event Rareness under Global Warming. Sci. Rep. 2019, 9, 16063. [Google Scholar] [CrossRef]
- Tramblay, Y.; Somot, S. Future Evolution of Extreme Precipitation in the Mediterranean. Clim. Chang. 2018, 151, 289–302. [Google Scholar] [CrossRef]
- Cortès, M.; Turco, M.; Ward, P.; Sánchez-Espigares, J.A.; Alfieri, L.; Llasat, M.C. Changes in Flood Damage with Global Warming on the Eastern Coast of Spain. Nat. Hazards Earth Syst. Sci. 2019, 19, 2855–2877. [Google Scholar] [CrossRef]
- Bevacqua, E.; Maraun, D.; Vousdoukas, M.I.; Voukouvalas, E.; Vrac, M.; Mentaschi, L.; Widmann, M. Higher Probability of Compound Flooding from Precipitation and Storm Surge in Europe under Anthropogenic Climate Change. Sci. Adv. 2019, 5, eaaw5531. [Google Scholar] [CrossRef]
- Winsemius, H.C.; Aerts, J.C.J.H.; van Beek, L.P.H.; Bierkens, M.F.P.; Bouwman, A.; Jongman, B.; Kwadijk, J.C.J.; Ligtvoet, W.; Lucas, P.L.; van Vuuren, D.P.; et al. Global Drivers of Future River Flood Risk. Nat. Clim. Chang. 2015, 6, 381–385. [Google Scholar] [CrossRef]
- Alfieri, L.; Burek, P.; Feyen, L.; Forzieri, G. Global Warming Increases the Frequency of River Floods in Europe. Hydrol. Earth Syst. Sci. 2015, 19, 2247–2260. [Google Scholar] [CrossRef]
- Wasko, C.; Nathan, R.; Stein, L.; O’Shea, D. Evidence of Shorter More Extreme Rainfalls and Increased Flood Variability under Climate Change. J. Hydrol. 2021, 603, 126994. [Google Scholar] [CrossRef]
- Intergovernmental Panel on Climate Change (IPCC). Water. In Climate Change 2022–Impacts, Adaptation and Vulnerability: Working Group II Contribution to the Sixth Assessment Report of the Intergovernmental Panel on Climate Change; Pörtner, H.-O., Roberts, D.C., Tignor, M., Poloczanska, E.S., Mintenbeck, K., Alegría, A., Craig, M., Langsdorf, S., Löschke, S., Möller, V., et al., Eds.; Cambridge University Press: Cambridge, UK, 2023; pp. 551–712. [Google Scholar] [CrossRef]
- Diop, S.B.; Ekolu, J.; Tramblay, Y.; Dieppois, B.; Grimaldi, S.; Bodian, A.; Blanchet, J.; Rameshwaran, P.; Salamon, P.; Sultan, B. Climate Change Impacts on Floods in West Africa: New Insight from Two Large-Scale Hydrological Models. Preprint 2025. [Google Scholar] [CrossRef]
- Blöschl, G.; Hall, J.; Viglione, A.; Perdigão, R.A.P.; Parajka, J.; Merz, B.; Lun, D.; Arheimer, B.; Aronica, G.T.; Bilibashi, A.; et al. Changing Climate Both Increases and Decreases European River Floods. Nature 2019, 573, 108–111. [Google Scholar] [CrossRef]
- Mediero, L.; Santillán, D.; Garrote, L.; Granados, A. Detection and Attribution of Trends in Magnitude, Frequency and Timing of Floods in Spain. J. Hydrol. 2014, 517, 1072–1088. [Google Scholar] [CrossRef]
- Mediero, L.; Kjeldsen, T.R.; Macdonald, N.; Kohnova, S.; Merz, B.; Vorogushyn, S.; Wilson, D.; Alburquerque, T.; Blöschl, G.; Bogdanowicz, E.; et al. Identification of Coherent Flood Regions across Europe by Using the Longest Streamflow Records. J. Hydrol. 2015, 528, 341–360. [Google Scholar] [CrossRef]
- Llasat, M.C.; Llasat-Botija, M.; Petrucci, O.; Pasqua, A.A.; Rosselló, J.; Vinet, F.; Boissier, L. Towards a Database on Societal Impact of Mediterranean Floods within the Framework of the HYMEX Project. Nat. Hazards Earth Syst. Sci. 2013, 13, 1337–1350. [Google Scholar] [CrossRef]
- Llasat, M.C.; Marcos, R.; Turco, M.; Gilabert, J.; Llasat-Botija, M. Trends in Flash Flood Events versus Convective Precipitation in the Mediterranean Region: The Case of Catalonia. J. Hydrol. 2016, 541, 24–37. [Google Scholar] [CrossRef]
- Hall, J.; Blöschl, G. Spatial Patterns and Characteristics of Flood Seasonality in Europe. Hydrol. Earth Syst. Sci. 2018, 22, 3883–3901. [Google Scholar] [CrossRef]
- Hall, J.; Arheimer, B.; Borga, M.; Brázdil, R.; Claps, P.; Kiss, A.; Kjeldsen, T.R.; Kriaučiūnienė, J.; Kundzewicz, Z.W.; Lang, M.; et al. Understanding Flood Regime Changes in Europe: A State-of-the-Art Assessment. Hydrol. Earth Syst. Sci. 2014, 18, 2735–2772. [Google Scholar] [CrossRef]
- Blöschl, G.; Hall, J.; Parajka, J.; Perdigão, R.A.P.; Merz, B.; Arheimer, B.; Aronica, G.T.; Bilibashi, A.; Bonacci, O.; Borga, M.; et al. Changing Climate Shifts Timing of European Floods. Science 2017, 357, 588–590. [Google Scholar] [CrossRef] [PubMed]
- Cramer, W.; Guiot, J.; Fader, M.; Garrabou, J.; Gattuso, J.-P.; Iglesias, A.; Lange, M.A.; Lionello, P.; Llasat, M.C.; Paz, S.; et al. Climate Change and Interconnected Risks to Sustainable Development in the Mediterranean. Nat. Clim. Chang. 2018, 8, 972–980. [Google Scholar] [CrossRef]
- MedECC. Summary for Policymakers. In Climate and Environmental Coastal Risks in the Mediterranean; Djoundourian, S., Lionello, P., Llasat, M.C., Guiot, J., Cramer, W., Driouech, F., Gattacceca, J.C., Marini, K., Eds.; MedECC Reports; MedECC Secretariat: Marseille, France, 2024; ISBN 978-2-493662-03-3. [Google Scholar] [CrossRef]
- Faccini, F.; Luino, F.; Paliaga, G.; Roccati, A.; Turconi, L. Flash Flood Events along the West Mediterranean Coasts: Inundations of Urbanized Areas Conditioned by Anthropic Impacts. Land 2021, 10, 620. [Google Scholar] [CrossRef]
- Saber, M.; Abdrabo, K.I.; Habiba, O.M.; Kantosh, S.A.; Sumi, T. Impacts of Triple Factors on Flash Flood Vulnerability in Egypt: Urban Growth, Extreme Climate, and Mismanagement. Geosciences 2020, 10, 24. [Google Scholar] [CrossRef]
- Sabrié, M.-L.; Gibert-Brunet, E.; Mourier, T. The Mediterranean Region Under Climate Change: A Scientific Update; IRD Éditions: Marseille, France, 2016; ISBN 9782709922203. [Google Scholar]
- AEMET. Estudio Sobre la Situación de Lluvias Intensas, Localmente Torrenciales y Persistentes en la Península Ibérica y Baleares Entre Los Días 28 de Octubre y 4 de Noviembre de 2024; AEMET: Madrid, Spain, 2024. [Google Scholar]
- Cole, S.J.; Moore, R.J.; Roberts, N. Using High Resolution Numerical Weather Prediction Models to Reduce and Estimate Uncertainty in Flood Forecasting. Eos Trans. AGU 2007, 2007, H52A-03. [Google Scholar]
- Lorenz, E.N.; Massachusetts Institute of Technology. Empirical Orthogonal Functions and Statistical Weather Prediction; Scientific Report/Massachusetts Institute of Technology. Statistical Forecasting Project; no. 1; Massachusetts Institute of Technology, Department of Meteorology: Cambridge, UK, 1956. [Google Scholar]
- Lorenz, E.N. Atmospheric Predictability as Revealed by Naturally Occurring Analogues. J. Atmos. Sci. 1969, 26, 636–646. [Google Scholar] [CrossRef]
- Kruizinga, S.; Murphy, A.H. Use of an Analogue Procedure to Formulate Objective Probabilistic Temperature Forecasts in The Netherlands. Mon. Weather. Rev. 1983, 111, 2244–2254. [Google Scholar] [CrossRef]
- van den Dool, H.M. A New Look at Weather Forecasting through Analogues. Mon. Weather. Rev. 1989, 117, 2230–2247. [Google Scholar] [CrossRef]
- Ben Daoud, A.; Sauquet, E.; Bontron, G.; Obled, C.; Lang, M. Daily Quantitative Precipitation Forecasts Based on the Analogue Method: Improvements and Application to a French Large River Basin. Atmos. Res. 2016, 169, 147–159. [Google Scholar] [CrossRef]
- Horton, P.; Jaboyedoff, M.; Obled, C. Global Optimization of an Analog Method by Means of Genetic Algorithms. Mon. Weather. Rev. 2017, 145, 1275–1294. [Google Scholar] [CrossRef]
- Panziera, L.; Germann, U.; Gabella, M.; Mandapaka, P. V NORA–Nowcasting of Orographic Rainfall by Means of Analogues. Q. J. R. Meteorol. Soc. 2011, 137, 2106–2123. [Google Scholar] [CrossRef]
- Zhou, B.; Zhai, P. A New Forecast Model Based on the Analog Method for Persistent Extreme Precipitation. Weather. Forecast. 2016, 31, 1325–1341. [Google Scholar] [CrossRef]
- Radinović, D. An Analogue Method for Weather Forecasting Using the 500/1000 Mb Relative Topography. Mon. Weather. Rev. 1975, 103, 639–649. [Google Scholar] [CrossRef]
- Obled, C.; Bontron, G.; Garçon, R. Quantitative Precipitation Forecasts: A Statistical Adaptation of Model Outputs through an Analogues Sorting Approach. Atmos. Res. 2002, 63, 303–324. [Google Scholar] [CrossRef]
- Obled, C.; Bontron, G. L’adaptation Probabiliste Des Prévisions Météorologiques Pour La Prévision Hydrologique. La Houille Blanche 2005, 91, 23–28. [Google Scholar] [CrossRef]
- Miró, J.R.; Pepin, N.; Peña, J.C.; Martin-Vide, J. Daily Atmospheric Circulation Patterns for Catalonia (Northeast Iberian Peninsula) Using a Modified Version of Jenkinson and Collison Method. Atmos. Res. 2020, 231, 104674. [Google Scholar] [CrossRef]
- Gibergans-Báguena, J.; Llasat, M.C. Improvement of the Analog Forecasting Method by Using Local Thermodynamic Data. Application to Autumn Precipitation in Catalonia. Atmos. Res. 2007, 86, 173–193. [Google Scholar] [CrossRef]
- Batolar, N.; Singh, D.; Kumar, M. Ensemble Characteristics of an Analog Ensemble (AE) System for Simultaneous Prediction of Multiple Surface Meteorological Variables at Local Scale. Meteorol. Atmos. Phys. 2024, 136, 39. [Google Scholar] [CrossRef]
- Pelak, N.; Shamir, E.; Hansen, T.M.; Cheng, Z. Assessment of Subseasonal-to-Seasonal (S2S) Precipitation Forecast Skill for Reservoir Operation in the Yaque Del Norte River, Dominican Republic. Water 2024, 16, 2032. [Google Scholar] [CrossRef]
- Saminathan, S.; Medina, H.; Mitra, S.; Tian, D. Improving Short to Medium Range GEFS Precipitation Forecast in India. J. Hydrol. 2021, 598, 126431. [Google Scholar] [CrossRef]
- Bagtasa, G. Analog Forecasting of Tropical Cyclone Rainfall in the Philippines. Weather. Clim. Extrem. 2021, 32, 100323. [Google Scholar] [CrossRef]
- Mediero, L.; Garrote, L.; Martín-Carrasco, F.J. Probabilistic Calibration of a Distributed Hydrological Model for Flood Forecasting. Hydrol. Sci. J. 2011, 56, 1129–1149. [Google Scholar] [CrossRef]
- Engeland, K.; Xu, C.-Y.; Gottschalk, L. Assessing Uncertainties in a Conceptual Water Balance Model Using Bayesian Methodology / Estimation Bayésienne Des Incertitudes Au Sein d’une Modélisation Conceptuelle de Bilan Hydrologique. Hydrol. Sci. J. 2005, 50, 63. [Google Scholar] [CrossRef]
- Ahmed, A.; Rahman, A.; Rafi, R.S.M.H.; Khan, Z.; Mannan, H. Statistical and Physical Significance of Homogeneous Regions in Regional Flood Frequency Analysis. Water 2025, 17, 1799. [Google Scholar] [CrossRef]
- Anghel, C.-G.; Ianculescu, D. An In-Depth Statistical Analysis of the Pearson Type III Distribution Behavior in Modeling Extreme and Rare Events. Water 2025, 17, 1539. [Google Scholar] [CrossRef]
- Lionello, P.; Malanotte-Rizzoli, P.; Boscolo, R.; Alpert, P.; Artale, V.; Li, L.; Luterbacher, J.; May, W.; Trigo, R.; Tsimplis, M.; et al. The Mediterranean Climate: An Overview of the Main Characteristics and Issues. In Mediterranean; Elsevier: Amsterdam, The Netherlands, 2006; pp. 1–26. [Google Scholar]
- Tao, J.; Barros, A.P. Multi-Year Surface Radiative Properties and Vegetation Parameters for Hydrologic Modeling in Regions of Complex Terrain—Methodology and Evaluation over the Integrated Precipitation and Hydrology Experiment 2014 Domain. J. Hydrol. Reg. Stud. 2019, 22, 100596. [Google Scholar] [CrossRef]
- Gaume, E.; Bain, V.; Bernardara, P.; Newinger, O.; Barbuc, M.; Bateman, A.; Blaškovičová, L.; Blöschl, G.; Borga, M.; Dumitrescu, A.; et al. A Compilation of Data on European Flash Floods. J. Hydrol. 2009, 367, 70–78. [Google Scholar] [CrossRef]
- Marchi, L.; Borga, M.; Preciso, E.; Gaume, E. Characterisation of Selected Extreme Flash Floods in Europe and Implications for Flood Risk Management. J. Hydrol. 2010, 394, 118–133. [Google Scholar] [CrossRef]
- Amponsah, W.; Ayral, P.-A.; Boudevillain, B.; Bouvier, C.; Braud, I.; Brunet, P.; Delrieu, G.; Didon-Lescot, J.-F.; Gaume, E.; Lebouc, L.; et al. Integrated High-Resolution Dataset of High-Intensity European and Mediterranean Flash Floods. Earth Syst. Sci. Data 2018, 10, 1783–1794. [Google Scholar] [CrossRef]
- Barnolas, M.; Llasat, M.C. A Flood Geodatabase and Its Climatological Applications: The Case of Catalonia for the Last Century. Nat. Hazards Earth Syst. Sci. 2007, 7, 271–281. [Google Scholar] [CrossRef]
- Garrote, L.; Bras, R.L. An Integrated Software Environment for Real-Time Use of a Distributed Hydrologic Model. J. Hydrol. 1995, 167, 307–326. [Google Scholar] [CrossRef]
- Garrote, L.; Bras, R.L. A Distributed Model for Real-Time Flood Forecasting Using Digital Elevation Models. J. Hydrol. 1995, 167, 279–306. [Google Scholar] [CrossRef]
- Cabral, M.C.; Garrote, L.; Bras, R.L.; Entekhabi, D. A Kinematic Model of Infiltration and Runoff Generation in Layered and Sloped Soils. Adv. Water Resour. 1992, 15, 311–324. [Google Scholar] [CrossRef]
- Gupta, H.V.; Sorooshian, S.; Yapo, P.O. Toward Improved Calibration of Hydrologic Models: Multiple and Noncommensurable Measures of Information. Water Resour. Res. 1998, 34, 751–763. [Google Scholar] [CrossRef]
- Beven, K. A Manifesto for the Equifinality Thesis. J. Hydrol. 2006, 320, 18–36. [Google Scholar] [CrossRef]
- Beck, C. Zirkulationsdynamische Variabilität Im Bereich Nordatlantik-Europa Seit 1780; Universität Würzburg: Würzburg, Germany, 2000. [Google Scholar]
- Tveito, O.E.; Huth, R.; Philipp, A.; Post, P.; Pasqui, M.; Esteban, P.; Beck, C.; Demuzere, M.; Prudhomme, C. COST Action 733: Harmonization and Application of Weather Type Classifications for European Regions; Final Scientific Report; Universität Augsburg: Augsburg, Germany, 2016. [Google Scholar]
- Beck, C.; Jacobeit, J.; Jones, P.D. Frequency and Within-type Variations of Large-scale Circulation Types and Their Effects on Low-frequency Climate Variability in Central Europe since 1780. Int. J. Climatol. 2006, 27, 473–491. [Google Scholar] [CrossRef]
- Guzzon, C.; Marcos-Matamoros, R.; Llasat, M.C.; Llasat-Botija, M. Improving Extreme Precipitation Forecasts in Catalonia (Ne Iberian Peninsula) Using Analog Methods: A Comparison with the Gfs Model. Preprint 2025. [Google Scholar] [CrossRef]
- Hersbach, H.; Bell, B.; Berrisford, P.; Hirahara, S.; Horányi, A.; Muñoz-Sabater, J.; Nicolas, J.; Peubey, C.; Radu, R.; Schepers, D.; et al. The ERA5 Global Reanalysis. Q. J. R. Meteorol. Soc. 2020, 146, 1999–2049. [Google Scholar] [CrossRef]
- Cisterna-García, A.; González-Vidal, A.; Martínez-Ibarra, A.; Ye, Y.; Guillén-Teruel, A.; Bernal-Escobedo, L.; Skarmeta, A.F. Artificial Intelligence for Streamflow Prediction in River Basins: A Use Case in Mar Menor. Sci. Rep. 2025, 15, 19481. [Google Scholar] [CrossRef] [PubMed]




















| Date | Peak Flow (m3/s) | Category 1 | Streamflow Resolution (min) | Rainfall Resolution (h) | DTM Cell Resolution (m2) |
|---|---|---|---|---|---|
| 12 August 2010 | 29.2 | 0 | 5 | 1 | 25 × 25 |
| 6 March 2013 | 20.2 | 1 | 5 | 1 | 25 × 25 |
| 29 November 2014 | 24.6 | 2 | 5 | 1 | 25 × 25 |
| 3 November 2015 | 42.7 | 2 | 5 | 1 | 25 × 25 |
| 15 October 2018 | 24.2 | 2 | 5 | 1 | 25 × 25 |
| Soil Type | Saturated Hydraulic (mm/h) | Saturated Moisture Content (-) | Residual Moisture Content (-) | Soil Porosity Index ε (-) |
|---|---|---|---|---|
| 2. Silt-loam | 4.500 | 0.450 | 0.067 | 1.800 |
| 4. Clay loam | 10.000 | 0.410 | 0.095 | 2.300 |
| 5. Loam | 40.000 | 0.430 | 0.078 | 2.000 |
| 6. Sandy loam | 44.200 | 0.410 | 0.065 | 3.500 |
| 7. Sandy clay loam | 13.100 | 0.390 | 0.100 | 3.500 |
| Parameter | Minimum Value | Maximum Value |
|---|---|---|
| f (mm−1) | 0.0001 | 0.1 |
| (-) | 0.5 | 12 |
| (m/h) | 2000 | 10,000 |
| Flood Event | Simulation | Parameter Values | Obj. Function Values | |||
|---|---|---|---|---|---|---|
| f (mm−1) | Kv | Cv (m/h) | RMSE | NSE | ||
| 12 August 2010 | Simulation 1 | 0.01 | 3 | 5000 | 8.882 | −0.974 |
| 6 March 2013 | Simulation 1 | 0.05 | 7 | 2000 | 3.332 | 0.689 |
| Simulation 2 | 0.02 | 7 | 2000 | 2.856 | 0.783 | |
| Simulation 3 | 0.02 | 7.4 | 2250 | 3.117 | 0.736 | |
| Simulation 4 | 0.0055 | 7 | 2100 | 4.238 | 0.554 | |
| 29 November 2014 | Simulation 1 | 0.045 | 3.5 | 6000 | 4.620 | 0.288 |
| Simulation 2 | 0.035 | 2.07 | 2000 | 2.682 | 0.751 | |
| Simulation 3 | 0.035 | 2.6 | 3200 | 3.283 | 0.640 | |
| Simulation 4 | 0.008 | 6 | 4600 | 5.164 | 0.086 | |
| Simulation 5 | 0.0097 | 5.9 | 5000 | 4.937 | 0.165 | |
| 3 November 2015 | Simulation 1 | 0.1 | 2 | 12,000 | 17.787 | −2.006 |
| Simulation 2 | 0.001 | 2 | 12,000 | 18.348 | −2.198 | |
| 15 October 2018 | Simulation 1 | 0.045 | 3.85 | 4500 | 1.377 | 0.931 |
| Simulation 2 | 0.003 | 4 | 3600 | 2.017 | 0.848 | |
| Simulation 3 | 0.047 | 3 | 3600 | 1.237 | 0.943 | |
| Simulation 4 | 0.0047 | 3 | 3600 | 1.623 | 0.902 | |
| Combination Number | Description | Events Considered | Comments |
|---|---|---|---|
| 1 | Average of best calibration results | 2013, 2014, 2018 | Best calibrations result from the three best calibrations of the five events were used. |
| 2 | Average of best calibration results | 2010, 2013, 2014, 2015, 2018 | Best calibration results of all five events were used. |
| 3 | Average of best calibration results | 2010, 2013, 2014, 2018 | Excludes 2015 (worst calibration). |
| 4 | Average of all calibration results | 2013, 2014, 2018 | All calibration results used of the three best events. |
| 5 | Average of all calibration results | 2010, 2013, 2014, 2018 | Excludes 2015 (worst calibration). |
| 6 | Average of all calibration results | 2010, 2013, 2014, 2015, 2018 | All events and all calibration results included. |
| Calibration | Flood Event | Parameter Values | Objective Functions | |||||
|---|---|---|---|---|---|---|---|---|
| All Values | Values Above Qmean | |||||||
| f (mm−1) | Kv | Cv (m/h) | RMSE | NSE | RMSE | NSE | ||
| 1 | 12 August 2010 | 0.032 | 5.031 | 3581 | 9.171 | −1.712 | 12.317 | −1.686 |
| 6 March 2013 | 5.638 | 0.37 | 6.612 | −1.633 | ||||
| 29 November 2014 | 3.914 | 0.475 | 5.960 | −0.324 | ||||
| 3 November 2015 | 9.821 | −0.37 | 14.545 | −0.316 | ||||
| 15 October 2018 | 2.725 | 0.709 | 6.801 | −0.183 | ||||
| 2 | 12 August 2010 | 0.034 | 4.174 | 4544 | 7.064 | −0.444 | 11.061 | −1.166 |
| 06 March 2013 | 7.331 | 0.056 | 9.416 | −4.339 | ||||
| 29 November 2014 | 3.409 | 0.611 | 4.743 | 0.161 | ||||
| 3 November 2015 | 12.392 | −0.968 | 12.328 | 0.055 | ||||
| 15 October 2018 | 1.649 | 0.898 | 3.424 | 0.700 | ||||
| 3 | 12 August 2010 | 0.030 | 4.806 | 3738 | 9.697 | −1.962 | 13.889 | −2.415 |
| 6 March 2013 | 6.029 | 0.320 | 7.409 | −2.306 | ||||
| 29 November 2014 | 2.926 | 0.706 | 2.659 | 0.736 | ||||
| 3 November 2015 | 10.427 | −0.545 | 15.152 | −0.428 | ||||
| 15 October 2018 | 2.634 | 0.732 | 6.828 | −0.192 | ||||
| 4 | 12 August 2010 | 0.031 | 4.794 | 3419 | 9.393 | −1.780 | 12.359 | −1.705 |
| 6 March 2013 | 5.569 | 0.402 | 6.689 | −1.694 | ||||
| 29 November 2014 | 4.055 | 0.434 | 6.354 | −0.505 | ||||
| 3 November 2015 | 10.062 | −0.439 | 14.978 | −0.396 | ||||
| 15 October 2018 | 2.920 | 0.670 | 7.132 | −0.301 | ||||
| 5 | 12 August 2010 | 0.029 | 4.666 | 3532 | 9.737 | −1.987 | 13.484 | −2.219 |
| 6 March 2013 | 6.098 | 0.296 | 7.432 | −2.327 | ||||
| 29 November 2014 | 2.924 | 0.706 | 2.727 | 0.723 | ||||
| 3 November 2015 | 10.557 | −0.584 | 15.691 | −0.531 | ||||
| 15 October 2018 | 2.861 | 0.684 | 7.204 | −0.327 | ||||
| 6 | 12 August 2010 | 0.032 | 4.333 | 4590 | 7.039 | −0.439 | 11.031 | −1.154 |
| 6 March 2013 | 7.48 | 0.020 | 9.607 | −4.559 | ||||
| 29 November 2014 | 3.478 | 0.596 | 4.669 | 0.187 | ||||
| 3 November 2015 | 12.421 | −0.997 | 12.772 | −0.015 | ||||
| 15 October 2018 | 1.83 | 0.875 | 4.218 | 0.545 | ||||
| f (mm−1) | Kv | Cv (m/h) | |
|---|---|---|---|
| Model parameters | 0.034 | 4.174 | 4544 |
| Episode | RMSE | NSE |
|---|---|---|
| 12 August 2010 | 7.064 | −0.444 |
| 6 March 2013 | 7.331 | 0.056 |
| 29 November 2014 | 3.409 | 0.611 |
| 3 November 2015 | 12.392 | −0.968 |
| 15 October 2018 | 1.649 | 0.898 |
| Simulation | f (mm−1) | (m/h) | |
|---|---|---|---|
| 1 | 0.034 | 4.174 | 4544 |
| 2 | 0.0001 | 4.174 | 4544 |
| 3 | 0.001 | 4.174 | 4544 |
| 4 | 0.01 | 4.174 | 4544 |
| 5 | 0.1 | 4.174 | 4544 |
| 6 | 0.034 | 0.5 | 4544 |
| 7 | 0.034 | 2.3 | 4544 |
| 8 | 0.034 | 8.1 | 4544 |
| 9 | 0.034 | 12 | 4544 |
| 10 | 0.034 | 4.174 | 2000 |
| 11 | 0.034 | 4.174 | 6000 |
| 12 | 0.034 | 4.174 | 8000 |
| 13 | 0.034 | 4.174 | 10,000 |
| Simulation | RMSE | ||||||||||
|---|---|---|---|---|---|---|---|---|---|---|---|
| A.1 | A.2 | A.3 | A.4 | A.5 | A.6 | A.7 | A.8 | A.9 | A.10 | Rainfall | |
| 1 | 1.63 | 1.97 | 2.15 | 1.89 | 2.16 | 2.16 | 2.17 | 2.59 | 1.55 | 2.14 | 2.02 |
| 2 | 47.92 | 45.31 | 47.28 | 52.74 | 38.49 | 38.89 | 41.05 | 76.91 | 52.94 | 41.83 | 53.38 |
| 3 | 14.05 | 14.06 | 14.98 | 15.94 | 12.12 | 12.25 | 13.22 | 23.59 | 15.78 | 13.42 | 16.53 |
| 4 | 3.22 | 3.41 | 3.80 | 3.85 | 3.07 | 3.08 | 3.39 | 6.20 | 3.66 | 3.39 | 4.21 |
| 5 | 2.05 | 2.55 | 2.64 | 2.34 | 2.71 | 2.70 | 2.67 | 2.50 | 1.91 | 2.67 | 2.05 |
| 6 | 2.00 | 2.32 | 2.53 | 2.24 | 2.48 | 2.48 | 2.51 | 3.06 | 1.96 | 2.48 | 2.67 |
| 7 | 1.81 | 2.14 | 2.35 | 2.06 | 2.32 | 2.31 | 2.33 | 2.83 | 1.76 | 2.31 | 2.36 |
| 8 | 1.48 | 1.81 | 1.94 | 1.74 | 2.01 | 2.00 | 2.00 | 2.38 | 1.36 | 1.99 | 1.62 |
| 9 | 1.44 | 1.75 | 1.85 | 1.69 | 1.94 | 1.94 | 1.93 | 2.38 | 1.30 | 1.92 | 1.46 |
| 10 | 1.31 | 1.64 | 1.75 | 1.62 | 1.83 | 1.83 | 1.82 | 2.33 | 1.17 | 1.81 | 1.18 |
| 11 | 1.77 | 2.11 | 2.30 | 2.02 | 2.29 | 2.28 | 2.30 | 2.78 | 1.71 | 2.27 | 2.29 |
| 12 | 1.91 | 2.24 | 2.44 | 2.14 | 2.40 | 2.40 | 2.42 | 2.96 | 1.86 | 2.40 | 2.53 |
| 13 | 2.00 | 2.32 | 2.52 | 2.22 | 2.48 | 2.47 | 2.50 | 3.07 | 1.95 | 2.47 | 2.68 |
Disclaimer/Publisher’s Note: The statements, opinions and data contained in all publications are solely those of the individual author(s) and contributor(s) and not of MDPI and/or the editor(s). MDPI and/or the editor(s) disclaim responsibility for any injury to people or property resulting from any ideas, methods, instructions or products referred to in the content. |
© 2025 by the authors. Licensee MDPI, Basel, Switzerland. This article is an open access article distributed under the terms and conditions of the Creative Commons Attribution (CC BY) license (https://creativecommons.org/licenses/by/4.0/).
Share and Cite
Carril-Rojas, D.; Guzzon, C.; Mediero, L.; Fernández-Fidalgo, J.; Garrote, L.; Llasat, M.C.; Marcos-Matamoros, R. A Flood Forecasting Method in the Francolí River Basin (Spain) Using a Distributed Hydrological Model and an Analog-Based Precipitation Forecast. Hydrology 2025, 12, 220. https://doi.org/10.3390/hydrology12080220
Carril-Rojas D, Guzzon C, Mediero L, Fernández-Fidalgo J, Garrote L, Llasat MC, Marcos-Matamoros R. A Flood Forecasting Method in the Francolí River Basin (Spain) Using a Distributed Hydrological Model and an Analog-Based Precipitation Forecast. Hydrology. 2025; 12(8):220. https://doi.org/10.3390/hydrology12080220
Chicago/Turabian StyleCarril-Rojas, Daniel, Carlo Guzzon, Luis Mediero, Javier Fernández-Fidalgo, Luis Garrote, Maria Carmen Llasat, and Raul Marcos-Matamoros. 2025. "A Flood Forecasting Method in the Francolí River Basin (Spain) Using a Distributed Hydrological Model and an Analog-Based Precipitation Forecast" Hydrology 12, no. 8: 220. https://doi.org/10.3390/hydrology12080220
APA StyleCarril-Rojas, D., Guzzon, C., Mediero, L., Fernández-Fidalgo, J., Garrote, L., Llasat, M. C., & Marcos-Matamoros, R. (2025). A Flood Forecasting Method in the Francolí River Basin (Spain) Using a Distributed Hydrological Model and an Analog-Based Precipitation Forecast. Hydrology, 12(8), 220. https://doi.org/10.3390/hydrology12080220

