Predicting Water Distribution and Optimizing Irrigation Management in Turfgrass Rootzones Using HYDRUS-2D
Abstract
1. Introduction
2. Materials and Methods
2.1. Materials Used in This Study
2.2. Experimental Setup and Measurements
2.3. Simulation Model, Initial and Boundary Conditions
2.4. Model Quality Evaluation Criteria
2.5. Input Parameter, Parameter Sensitivity, Model Calibration and Validation
2.6. Irrigation Management Principles
3. Results
3.1. Model Quality Evaluation
3.2. Sensitivity Analysis
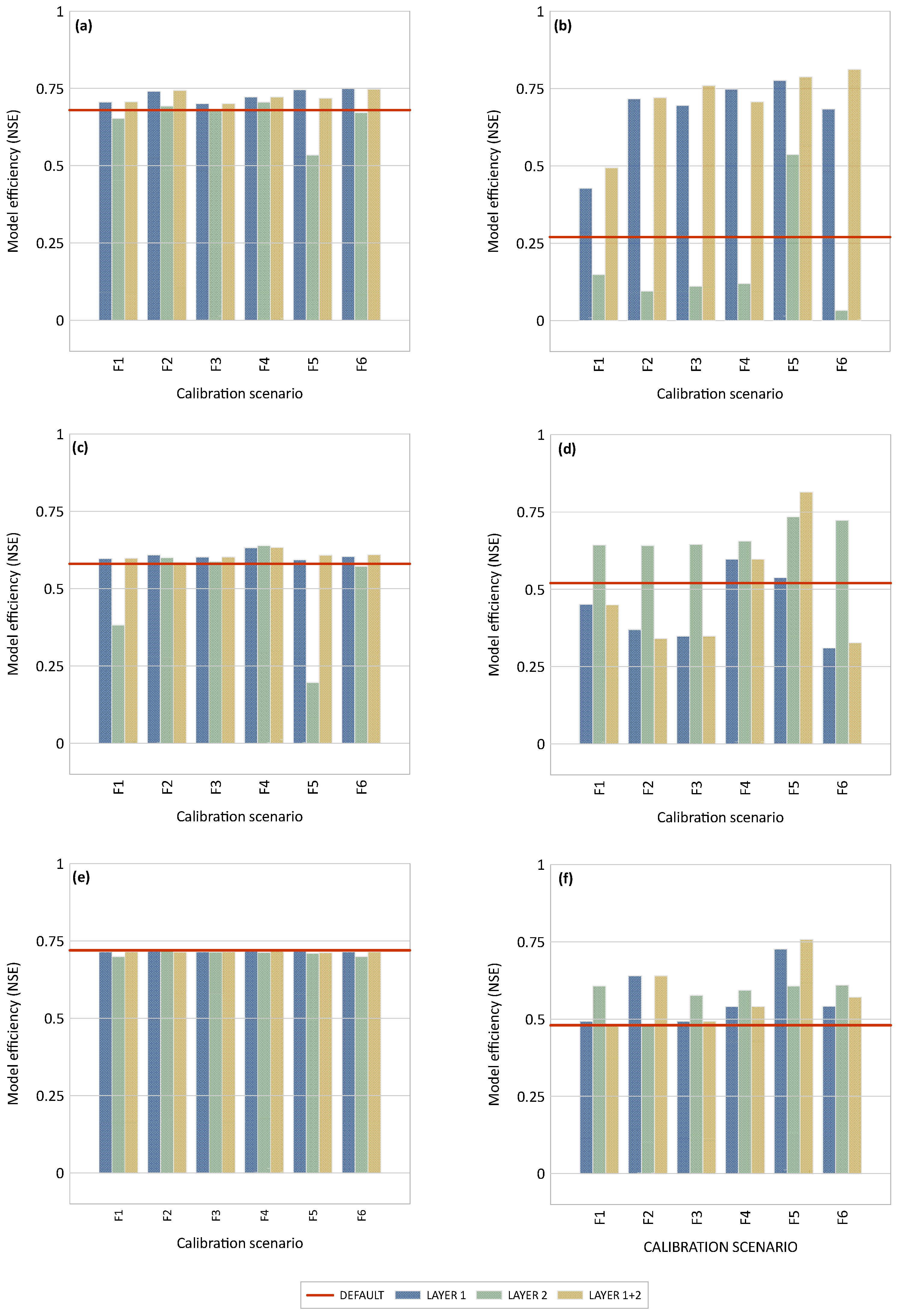
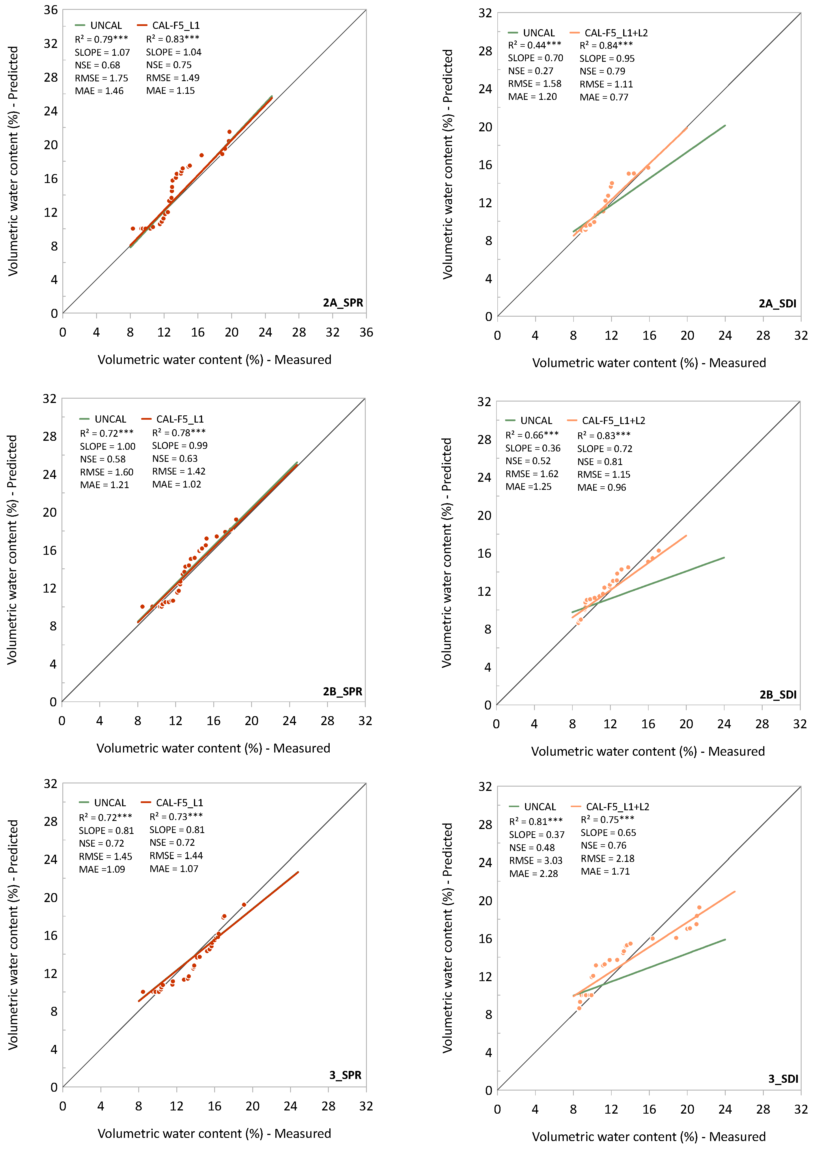
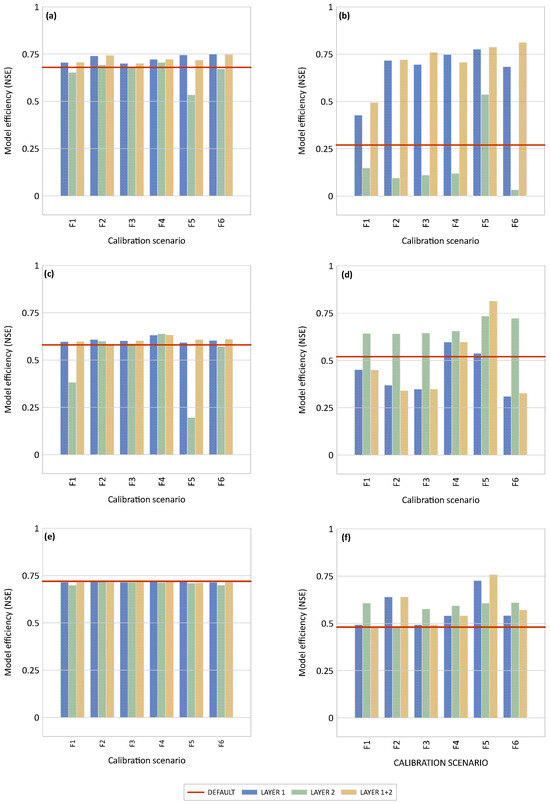
3.3. Model Calibration
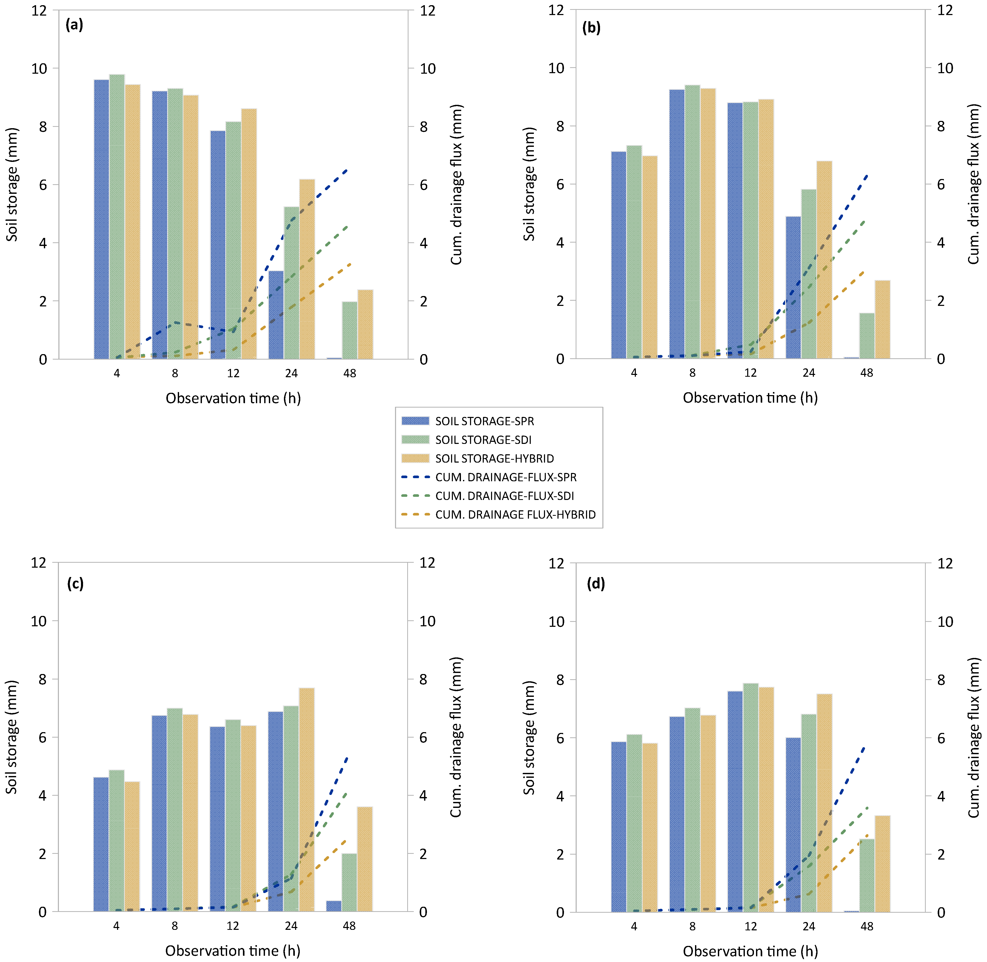
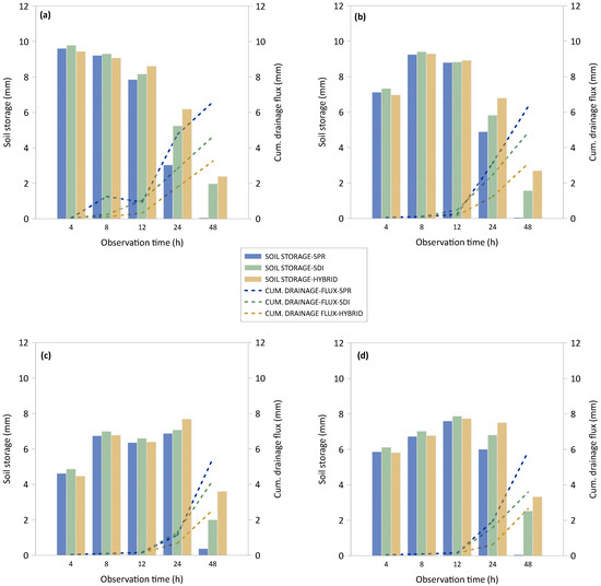
3.4. Irrigation Management Evaluation
4. Discussion
4.1. Theoretical Aspects
4.2. Practical Significance
4.3. Limitations of the Study and Further Research
5. Conclusions
Supplementary Materials
Author Contributions
Funding
Data Availability Statement
Conflicts of Interest
References
- Beard, J. Turfgrass: Science and Culture; Prentice-Hall Inc.: Englewood Cliffs, NJ, USA, 1973. [Google Scholar]
- Beard, J.B.; Green, R.L. The role of turfgrasses in environmental protection and their benefits to humans. J. Environ. Qual. 1994, 23, 452–460. [Google Scholar] [CrossRef]
- Qian, Y.; Follett, R. Carbon dynamics and sequestration in urban turfgrass ecosystems. Carbon Sequestration Urban Ecosyst. 2012, 161–172. [Google Scholar] [CrossRef]
- Braun, R.C.; Bremer, D.J. Carbon sequestration in zoysiagrass turf under different irrigation and fertilization management regimes. Agrosystems Geosci. Environ. 2019, 2, 1–8. [Google Scholar] [CrossRef]
- Selhorst, A.L.; Lal, R. Carbon budgeting in golf course soils of Central Ohio. Urban Ecosyst. 2011, 14, 771–781. [Google Scholar] [CrossRef]
- Henderson, J.J. A new device for selective mechanical broadleaf weed control in turfgrass. Int. Turfgrass Soc. Res. J. 2022, 14, 717–724. [Google Scholar] [CrossRef]
- Monteiro, J.A. Ecosystem services from turfgrass landscapes. Urban For. Urban Green. 2017, 26, 151–157. [Google Scholar] [CrossRef]
- Ignatieva, M.; Hedblom, M. An alternative urban green carpet. Science 2018, 362, 148–149. [Google Scholar] [CrossRef]
- Lazzarini, M.; Molini, A.; Marpu, P.R.; Ouarda, T.B.; Ghedira, H. Urban climate modifications in hot desert cities: The role of land cover, local climate, and seasonality. Geophys. Res. Lett. 2015, 42, 9980–9989. [Google Scholar] [CrossRef]
- Barnes, M.R.; Watkins, E. “Nothing Beats Nature”: Park Visitor Preferences for Natural Turfgrass and Artificial Turf: A Case Study. HortScience 2023, 58, 453–458. [Google Scholar] [CrossRef]
- Philocles, S.; Torres, A.P.; Patton, A.J.; Watkins, E. The adoption of low-input turfgrasses in the midwestern US: The case of fine fescues and tall fescue. Horticulturae 2023, 9, 550. [Google Scholar] [CrossRef]
- Morris, K.N.; Shearman, R.C. NTEP turfgrass evaluation guidelines. In Proceedings of the NTEP Turfgrass Evaluation Workshop, Beltsville, MD, USA, 17 October 1998; pp. 1–5. [Google Scholar]
- Braun, R.C.; Bremer, D.J.; Ebdon, J.S.; Fry, J.D.; Patton, A.J. Review of cool-season turfgrass water use and requirements: I. Evapotranspiration and responses to deficit irrigation. Crop Sci. 2022, 62, 1661–1684. [Google Scholar] [CrossRef]
- Hejduk, S.; Baker, S.W.; Spring, C.A. Evaluation of the effects of incorporation rate and depth of water-retentive amendment materials in sports turf constructions. Acta Agric. Scand. Sect. B-Soil Plant Sci. 2012, 62, 155–164. [Google Scholar] [CrossRef]
- Felipe, P.D.J.L.; Burillo, P.D.P.; Gallardo, P.D.A.; Sánchez-Sánchez, J.; García-Unanue, P.D.J.; Gallardo, P.D.L. A qualitative view of the design, construction and exploitation of artificial turf football fields. Wulfenia J. 2014, 21, 156–170. [Google Scholar]
- Fleming, P.R.; Watts, C.; Forrester, S. A new model of third generation artificial turf degradation, maintenance interventions and benefits. Proc. Inst. Mech. Eng. Part. P J. Sports Eng. Technol. 2023, 237, 19–33. [Google Scholar] [CrossRef]
- McCarty, L.B.; Hubbard, L.R.; Quisenberry, V.L. Applied Soil Physical Properties, Drainage, and Irrigation Strategies; Springer: Cham, Switzerland, 2016. [Google Scholar]
- James, I. Advancing natural turf to meet tomorrow’s challenges. Proc. Inst. Mech. Eng. Part P J. Sports Eng. Technol. 2011, 225, 115–129. [Google Scholar] [CrossRef]
- Johnson, P.G.; Rossi, F.S.; Horgan, B.P. Sustainable turfgrass management in an increasingly urbanized world. In Turfgrass: Biology, Use, and Management; American Society of Agronomy; Crop Science Society of America, Soil Science Society of America: Madison, WI, USA, 2013; Volume 56, pp. 1007–1028. [Google Scholar]
- Christians, N.E.; Patton, A.J.; Law, Q.D. Fundamentals of Turfgrass Management; John Wiley & Sons: Hoboken, NJ, USA, 2016. [Google Scholar]
- Turgeon, A.; Fidanza, M. Perspective on the history of turf cultivation. Int. Turfgrass Soc. Res. J. 2017, 13, 629–635. [Google Scholar] [CrossRef]
- Steinke, K.; Ervin, E.H. Turfgrass ecology. In Turfgrass: Biology, Use, and Management; American Society of Agronomy; Crop Science Society of of America; Soil Science Society of America: Madison, WI, USA, 2013; Volume 56, pp. 347–381. [Google Scholar]
- Straw, C.M.; Samson, C.O.; Henry, G.M.; Brown, C.N. A review of turfgrass sports field variability and its implications on athlete–surface interactions. Agron. J. 2020, 112, 2401–2417. [Google Scholar] [CrossRef]
- Emmons, R.; Rossi, F. Turfgrass Science and Management, 5th ed.; Cengage Learning Boston: Boston, MA, USA, 2015. [Google Scholar]
- McCoy, E.; Kunkel, P.; Prettyman, G.; Mecoy, K. Root zone composition effects on putting green soil water. Appl. Turfgrass Sci. 2007, 4, 1–11. [Google Scholar] [CrossRef]
- Kowalewski, A.; Stahnke, G.; Cook, T.; Goss, R. Construction of Sand-based, Natural Grass Athletic Fields. A Pac. Northwest Ext. Publ. 2015, 675, 1–13. [Google Scholar]
- Grabow, G.; Huffman, R.; Evans, R.; Jordan, D.; Nuti, R. Water distribution from a subsurface drip irrigation system and dripline spacing effect on cotton yield and water use efficiency in a coastal plain soil. Trans. ASABE 2006, 49, 1823–1835. [Google Scholar] [CrossRef]
- Elmaloglou, S.; Diamantopoulos, E. Simulation of soil water dynamics under subsurface drip irrigation from line sources. Agric. Water Manag. 2009, 96, 1587–1595. [Google Scholar] [CrossRef]
- Baker, S.W. Rootzones, Sands and Top Dressing Materials for Sports Turf; STRI: Bocas del Toro, Panama, 2006. [Google Scholar]
- Leinauer, B.; Makk, J. Establishment of golf greens under different construction types, irrigation systems, and rootzones. United States Golf. Assoc. (USGA) Turfgrass Environ. Res. Online 2007, 6, 1541-0277. [Google Scholar]
- Bigelow, C.A.; Soldat, D.J. Turfgrass root zones: Management, construction methods, amendment characterization, and use. In Turfgrass: Biology, Use, and Management; American Society of Agronomy; Crop Science Society of of America; Soil Science Society of America: Madison, WI, USA, 2013; Volume 56, pp. 383–423. [Google Scholar]
- Stier, J.C.; Steinke, K.; Ervin, E.H.; Higginson, F.R.; McMaugh, P.E. Turfgrass benefits and issues. In Turfgrass: Biology, Use, and Management; American Society of Agronomy; Crop Science Society of of America; Soil Science Society of America: Madison, WI, USA, 2013; Volume 56, pp. 105–145. [Google Scholar]
- Carrow, R.; Broomhall, P.; Duncan, R.; Waltz, C. Turfgrass water conservation. Part 1: Primary strategies. Golf Course Manag. 2002, 70, 49–53. [Google Scholar]
- Chartzoulakis, K.; Bertaki, M. Sustainable water management in agriculture under climate change. Agric. Agric. Sci. Procedia 2015, 4, 88–98. [Google Scholar] [CrossRef]
- Fidanza, M. Achieving Sustainable Turfgrass Management; Burleigh Dodds Science Publishing: Cambridge, UK, 2023. [Google Scholar]
- Serena, M.; Schiavon, M.; Sallenave, R.; Leinauer, B. Drought avoidance of warm-season turfgrasses affected by irrigation system, soil surfactant revolution, and plant growth regulator trinexapac-ethyl. Crop Sci. 2020, 60, 485–498. [Google Scholar] [CrossRef]
- Burt, C.; Styles, S.W. Drip and Micro Irrigation for Trees, Vines, and Row Crops: Design and Management (with Special Sections on SDI); Irrigation Training and Research Center, Bioresource and Agricultural: San Luis Obispo, CA, USA, 1999. [Google Scholar]
- Vereecken, H.; Schnepf, A.; Hopmans, J.W.; Javaux, M.; Or, D.; Roose, T.; Vanderborght, J.; Young, M.; Amelung, W.; Aitkenhead, M. Modeling soil processes: Review, key challenges, and new perspectives. Vadose Zone J. 2016, 15. [Google Scholar] [CrossRef]
- Golmohammadi, G.; Prasher, S.; Madani, A.; Rudra, R. Evaluating three hydrological distributed watershed models: MIKE-SHE, APEX, SWAT. Hydrology 2014, 1, 20–39. [Google Scholar] [CrossRef]
- Siad, S.M.; Iacobellis, V.; Zdruli, P.; Gioia, A.; Stavi, I.; Hoogenboom, G. A review of coupled hydrologic and crop growth models. Agric. Water Manag. 2019, 224, 105746. [Google Scholar] [CrossRef]
- Šimůnek, J.; Van Genuchten, M.T.; Šejna, M. Recent developments and applications of the HYDRUS computer software packages. Vadose Zone J. 2016, 15, vzj2016-04. [Google Scholar] [CrossRef]
- Abedinpour, M. The comparison of DSSAT-CERES and AquaCrop models for wheat under water–nitrogen interactions. Commun. Soil Sci. Plant Anal. 2021, 52, 2002–2017. [Google Scholar] [CrossRef]
- Hartmann, A.; Šimůnek, J.; Aidoo, M.K.; Seidel, S.J.; Lazarovitch, N. Implementation and application of a root growth module in HYDRUS. Vadose Zone J. 2018, 17, 1–16. [Google Scholar] [CrossRef]
- Abid, H.N.; Abid, M.B. Predicting wetting patterns in soil from a single subsurface drip irrigation system. J. Eng. 2019, 25, 41–53. [Google Scholar] [CrossRef]
- Shan, G.; Sun, Y.; Zhou, H.; Lammers, P.S.; Grantz, D.A.; Xue, X.; Wang, Z. A horizontal mobile dielectric sensor to assess dynamic soil water content and flows: Direct measurements under drip irrigation compared with HYDRUS-2D model simulation. Biosyst. Eng. 2019, 179, 13–21. [Google Scholar] [CrossRef]
- Van Genuchten, M.T. A closed-form equation for predicting the hydraulic conductivity of unsaturated soils. Soil Sci. Soc. Am. J. 1980, 44, 892–898. [Google Scholar] [CrossRef]
- Anlauf, R.; Rehrmann, P. Simulation of water and air distribution in growing media. In Proceedings of the 4th Int. Conference of HYDRUS Software Applications to Subsurface Flow and Contaminant Transport Problems, Prague, Czech Republic, 21–22 March 2013; pp. 33–47. [Google Scholar]
- McCoy, E.; McCoy, K. Simulation of putting-green soil water dynamics: Implications for turfgrass water use. Agric. Water Manag. 2009, 96, 405–414. [Google Scholar] [CrossRef]
- Mualem, Y. A new model for predicting the hydraulic conductivity of unsaturated porous media. Water Resour. Res. 1976, 12, 513–522. [Google Scholar] [CrossRef]
- Raviv, M.; Lieth, J.H.; Bar-Tal, A. Soilless Culture: Theory and Practice; Elsevier: Amsterdam, The Netherlands, 2019. [Google Scholar]
- Anlauf, R.; Rehrmann, P.; Bettin, A. Reduction of evaporation from plant containers with cover layers of pine bark mulch. Eur. J. Hortic. Sci. 2016, 81, 49–59. [Google Scholar] [CrossRef]
- Šimůnek, J.; Šejna, M.; Saito, H.; Sakai, M.; Van Genuchten, M.T. The HYDRUS-1D software package for simulating the movement of water, heat, and multiple solutes in variably saturated media. Version 2008, 4, 315. [Google Scholar]
- Šimůnek, J.; Bradford, S.A. Vadose zone modeling: Introduction and importance. Vadose Zone J. 2008, 7, 581–586. [Google Scholar] [CrossRef]
- Anlauf, R.; Rehrmann, P.; Schacht, H. Simulation of water uptake and redistribution in growing media during ebb-and-flow irrigation. J. Hortic. For. 2012, 4, 8–21. [Google Scholar]
- Demirel, K.; Kavdir, Y.; Anlauf, R. Using Hydrus-2D simulations to predict soil water contents on soil water retention barriers in turfgrass. Fresenius Environ. Bull. 2015, 24, 4322–4332. [Google Scholar]
- Siyal, A.; Van Genuchten, M.T.; Skaggs, T. Solute transport in a loamy soil under subsurface porous clay pipe irrigation. Agric. Water Manag. 2013, 121, 73–80. [Google Scholar] [CrossRef]
- Kandelous, M.M.; Šimůnek, J. Numerical simulations of water movement in a subsurface drip irrigation system under field and laboratory conditions using HYDRUS-2D. Agric. Water Manag. 2010, 97, 1070–1076. [Google Scholar] [CrossRef]
- Bwambale, E.; Abagale, F.K.; Anornu, G.K. Data-driven model predictive control for precision irrigation management. Smart Agric. Technol. 2023, 3, 100074. [Google Scholar] [CrossRef]
- Michel, J.-C. Wettability of organic growing media used in horticulture: A review. Vadose Zone J. 2015, 14, 1–6. [Google Scholar] [CrossRef]
- Wever, G.; Van Leeuwen, A.; Van der Meer, M. Saturation rate and hysteresis of substrates. In Proceedings of the International Symposium Growing Media and Plant Nutrition in Horticulture 450, Freising, Germany, 2–7 September 1996; pp. 287–296. [Google Scholar]
- Anlauf, R.; Muhammed, H.H.A.; Reineke, T.; Daum, D. Water retention properties of wood fiber based growing media and their impact on irrigation strategy. In Proceedings of the I International Symposium on Growing Media, Compost Utilization and Substrate Analysis for Soilless Cultivation 1389, Quebec, QC, Canada, 11–15 June 2023; pp. 227–236. [Google Scholar]
- Heinen, M.; Raats, P. Hydraulic properties of root zone substrates used in greenhouse horticulture. In Proceedings of the Proceedings of the International Workshop on the Characterization and Measurement of the Hydraulic Properties of Unsaturated Porous Media, Riverside, CA, USA, 22–24 October 1997; University of California: Riverside, CA, USA, 1999; pp. 467–476. [Google Scholar]
- Naasz, R.; Michel, J.-C.; Charpentier, S. Measuring hysteretic hydraulic properties of peat and pine bark using a transient method. Soil Sci. Soc. Am. J. 2005, 69, 13–22. [Google Scholar] [CrossRef]
- Kool, J.B.; Parker, J.C. Development and evaluation of closed-form expressions for hysteretic soil hydraulic properties. Water Resour. Res. 1987, 23, 105–114. [Google Scholar] [CrossRef]
- Huang, H.C.; Tan, Y.C.; Liu, C.W.; Chen, C.H. A novel hysteresis model in unsaturated soil. Hydrol. Process Int. J. 2005, 19, 1653–1665. [Google Scholar] [CrossRef]
- Šimunek, J.; Van Genuchten, M.T.; Šejna, M. HYDRUS: Model use, calibration, and validation. Trans. ASABE 2012, 55, 1263–1274. [Google Scholar]
- Hopmans, J.W.; Šimůnek, J.; Romano, N.; Durner, W. 3.6. 2. Inverse Methods. Methods Soil Anal. Part 4 Phys. Methods 2002, 5, 963–1008. [Google Scholar] [CrossRef]
- Inoue, M.; Šimunek, J.; Hopmans, J.; Clausnitzer, V. In situ estimation of soil hydraulic functions using a multistep soil-water extraction technique. Water Resour. Res. 1998, 34, 1035–1050. [Google Scholar] [CrossRef]
- Abbasi, F.; Jacques, D.; Simunek, J.; Feyen, J.; Van Genuchten, M.T. Inverse estimation of soil hydraulic and solute transport parameters from transient field experiments: Heterogeneous soil. Trans. ASAE 2003, 46, 1097. [Google Scholar] [CrossRef]
- Skaggs, T.; Trout, T.; Šimůnek, J.; Shouse, P. Comparison of HYDRUS-2D simulations of drip irrigation with experimental observations. J. Irrig. Drain. Eng. 2004, 130, 304–310. [Google Scholar] [CrossRef]
- DIN 18035-4:2018-12; Sports Grounds—Part 4: Sports Turf Areas. Beuth: Berlin/Cologne, Germany, 2018.
- Landschoot, P. The Cool-Season Turfgrasses: Basic Structures, Growth and Development. Available online: http://plantscience.psu.edu/research/centers/turf/extension/factsheets/cool-season (accessed on 6 January 2025).
- DIN EN ISO 17892-4; Geotecnical Investigation and Testing—Laboratory Testing of Soil Part 4: Determination of Particle Size Distribution (ISO 17892-4:2016). Beuth: Berlin/Cologne, Germany, 2017.
- DIN 19683-9:2012-07; Soil Quality—Physical Laboratory Tests—Part 9: Determination of the Saturated Hydraulic Water Conductivity in the Cylindrical Core-Cutter. Beuth: Berlin/Cologne, Germany, 2012.
- DIN 66137-3; Determination of Solid State Density—Part 3: Gas Buoyancy Method. Beuth: Berlin/Cologne, Germany, 2019.
- DIN EN ISO 11274:2020-04; Soil Quality—Determination of the Water-Retention Characteristic—Laboratory Methods (ISO 11274:2019). Beuth: Berlin/Cologne, Germany, 2020.
- USGA. USGA. USGA Recommendations for a Method of Putting Green Construction. In Green Section Collection; USGA: Far Hills, NJ, USA, 2018. [Google Scholar]
- Wallach, D.; Makowski, D.; Jones, J.W.; Brun, F. Working with Dynamic Crop Models: Evaluation, Analysis, Parameterization, and Applications; Elsevier: Amsterdam, The Netherlands, 2006. [Google Scholar]
- Nash, J.E.; Sutcliffe, J.V. River flow forecasting through conceptual models part I—A discussion of principles. J. Hydrol. 1970, 10, 282–290. [Google Scholar] [CrossRef]
- Moriasi, D.N.; Arnold, J.G.; Van Liew, M.W.; Bingner, R.L.; Harmel, R.D.; Veith, T.L. Model evaluation guidelines for systematic quantification of accuracy in watershed simulations. Trans. ASABE 2007, 50, 885–900. [Google Scholar] [CrossRef]
- Ahnert, M.; Blumensaat, F.; Langergraber, G.; Alex, J.; Woerner, D.; Frehmann, T.; Halft, N.; Hobus, I.; Plattes, M.; Spering, V. Goodness-of-fit measures for numerical modelling in urban water management–A summary to support practical applications. In Proceedings of the 10th LWWTP Conference, Austria, Vienna, 9–13 September 2007; pp. 9–13. [Google Scholar]
- DIN EN 13041; Soil Improvers and Growing Media—Determination of Physical Properties—Dry Bulk Density, Air Volume, Water Volume, Shrinkage Value and Total Pore Space. Beuth: Berlin/Cologne, Germany, 2012.
- Marquardt, D.W. An algorithm for least-squares estimation of nonlinear parameters. J. Soc. Ind. Appl. Math. 1963, 11, 431–441. [Google Scholar] [CrossRef]
- Nakhaei, M.; Šimůnek, J. Parameter estimation of soil hydraulic and thermal property functions for unsaturated porous media using the HYDRUS-2D code. J. Hydrol. Hydromech. 2014, 62, 7–15. [Google Scholar] [CrossRef]
- Clausnitzer, V.; Hopmans, J. Non-linear parameter estimation: LM_OPT. In General–Purpose Optimization Code Based on the Levenberg–Marquardt Algorithm. Land, Air, and Water Resources Paper; Academic Press: New York, NY, USA, 1995. [Google Scholar]
- Cordel, J.; Prämaßing, W.; Anlauf, R. Impact of rootzone construction and irrigation methods on soil moisture in sports fields under greenhouse conditions. Eur. J. Hortic. Sci. 2024, 89, 1–14. [Google Scholar] [CrossRef]
- Cordel, J.; Anlauf, R.; Prämaßing, W. Turfgrass irrigation: Analyzing the effects of rootzone construction and irrigation delivery system on water retention characteristics and perennial ryegrass performance. Int. Turfgrass Soc. Res. J. 2025, 1–12. [Google Scholar] [CrossRef]
- Braun, R.; Straw, C.; Soldat, D.; Bekken, M.; Patton, A.; Lonsdorf, E.; Horgan, B. Strategies for reducing inputs and emissions in turfgrass systems. Crop Forage Turfgrass Manag. 2023, 9, e20218. [Google Scholar] [CrossRef]
- Ghazouani, H.; Rallo, G.; Mguidiche, A.; Latrech, B.; Douh, B.; Boujelben, A.; Provenzano, G. Assessing Hydrus-2D model to investigate the effects of different on-farm irrigation strategies on potato crop under subsurface drip irrigation. Water 2019, 11, 540. [Google Scholar] [CrossRef]
- Dabach, S.; Shani, U.; Lazarovitch, N. Optimal tensiometer placement for high-frequency subsurface drip irrigation management in heterogeneous soils. Agric. Water Manag. 2015, 152, 91–98. [Google Scholar] [CrossRef]








| Material | Physical Properties | ||||||||
|---|---|---|---|---|---|---|---|---|---|
| Texture * | Grid (mm) | Bulk Density (g cm−3) | Ks (mm h−1) ** | Pore Space (vol.%) *** | Field Capacity (vol.%) **** | ||||
| Gravel | Sand | Silt | Clay | ||||||
| (Mass%) | |||||||||
| HSRM | (-) | 89.6 | 10.4 | (-) | 0–2 | 1.55 | 220 | 41.5 | 15.9 |
| LSRM | (-) | 98.3 | 1.7 | (-) | 0–2 | 1.46 | 649 | 44.9 | 13.6 |
| FSIL | (-) | 99.6 | 0.4 | (-) | 0.1–0.5 | 1.41 | 1465 | 46.6 | 6.4 |
| DG | 31.5 | 66.1 | 2.4 | (-) | 0–8 | 1.80 | 916 | 32.1 | 6.5 |
| CSIL | (-) | 99.8 | 0.2 | (-) | 0.2–2 | 1.60 | 6081 | 39.6 | 4.6 |
| Parameters | HSRM | LSRM | FSIL | CSIL | DG |
|---|---|---|---|---|---|
| ϴs (cm3 cm−3) | 0.415 | 0.430 | 0.466 | 0.394 | 0.321 |
| ϴr (cm3 cm−3) | 0.060 | 0.076 | 0.011 | 0.014 | 0.014 |
| Ks (cm h−1) | 22.019 | 64.854 | 146.474 | 608.12 | 91.612 |
| α | 0.089 | 0.061 | 0.055 | 0.228 | 0.085 |
| αw | 0.118 | 0.119 | 0.077 | 0.300 | 0.156 |
| n | 1.728 | 2.090 | 2.719 | 1.929 | 2.063 |
| l | 0.5 | 0.5 | 0.5 | 0.5 | 0.5 |
| Irrigation Approach | Irr. Events Within 12 h | Water Applied per Charge (mm) | Proportion | |||||
|---|---|---|---|---|---|---|---|---|
| 0 | 3 | 6 | 9 | 12 | SPR | SDI | ||
| (-) | (-) | Hours | (%) | (%) | ||||
| SPR-1 | 1 | 10.00 | 0 | 0 | 0 | 0 | 100 | 0 |
| SPR-2 | 2 | 7.50 | 0 | 2.50 | 0 | 0 | 100 | 0 |
| SPR-3 | 3 | 5.00 | 0 | 2.50 | 0 | 2.50 | 100 | 0 |
| SPR-4 | 4 | 5.00 | 1.25 | 1.25 | 1.25 | 1.25 | 100 | 0 |
| SDI-1 | 1 | 10.00 | 0 | 0 | 0 | 0 | 0 | 100 |
| SDI-2 | 2 | 7.50 | 0 | 2.50 | 0 | 0 | 0 | 100 |
| SDI-3 | 3 | 5.00 | 2.50 | 2.50 | 0 | 100 | ||
| SDI-4 | 4 | 5.00 | 1.25 | 1.25 | 1.25 | 1.25 | 0 | 100 |
| HYBRID-1 | 1 | 5.00 (SPR), 5.00 (SDI) | 0 | 0 | 0 | 0 | 50 | 50 |
| HYBRID-2 | 2 | 7.50 (SPR) | 0 | 2.50 (SDI) | 0 | 0 | 75 | 25 |
| HYBRID-3 | 3 | 5.00 (SPR) | 0 | 2.50 (SDI) | 0 | 2.50 (SDI) | 50 | 50 |
| HYBRID-4 | 4 | 5.00 (SPR) | 1.25 (SDI) | 1.25 (SDI) | 1.25 (SDI) | 1.25 (SDI) | 50 | 50 |
| Layer | Material | * CM | ** IS | F1 | F2 | F3 | F4 | F5 | F6 | ||
|---|---|---|---|---|---|---|---|---|---|---|---|
| αw | n | ϴsw | ϴr | αw | n | αw | ϴsw | ||||
| (-) | (cm3 cm−3) | (-) | (-) | (cm3 cm−3) | |||||||
| 1 | HSRM | 2A | SPR | 0.147 | 1.842 | 0.402 | 0.056 | 0.144 | 1.833 | 0.164 | 0.382 |
| SDI | 0.152 | 2.076 | 0.306 | 0.035 | 0.109 | 2.095 | 0.145 | 0.311 | |||
| LSRM | 2B | SPR | 0.127 | 2.153 | 0.420 | 0.073 | 0.131 | 2.052 | 0.131 | 0.430 | |
| SDI | 0.136 | 2.306 | 0.322 | 0.058 | 0.117 | 2.110 | 0.128 | 0.329 | |||
| 3 | SPR | 0.119 | 2.080 | 0.430 | 0.076 | 0.119 | 2.084 | 0.119 | 0.430 | ||
| SDI | 0.119 | 1.905 | 0.430 | 0.074 | 0.121 | 1.826 | 0.103 | 0.430 | |||
| 2 | DG | 2A | SPR | 0.152 | 1.983 | 0.321 | 0.013 | 0.203 | 1.764 | 0.166 | 0.321 |
| SDI | 0.388 | 2.076 | 0.240 | 0.011 | 0.207 | 3.005 | 0.207 | 0.241 | |||
| 2B | SPR | 0.129 | 1.881 | 0.321 | 0.022 | 0.116 | 2.199 | 0.097 | 0.121 | ||
| SDI | 0.155 | 2.042 | 0.321 | 0.014 | 0.202 | 2.332 | 0.154 | 0.321 | |||
| FSIL | 3 | SPR | 0.076 | 2.662 | 0.466 | 0.023 | 0.077 | 2.671 | 0.077 | 0.466 | |
| SDI | 0.083 | 2.719 | 0.466 | 0.011 | 0.079 | 2.720 | 0.087 | 0.466 | |||
Disclaimer/Publisher’s Note: The statements, opinions and data contained in all publications are solely those of the individual author(s) and contributor(s) and not of MDPI and/or the editor(s). MDPI and/or the editor(s) disclaim responsibility for any injury to people or property resulting from any ideas, methods, instructions or products referred to in the content. |
© 2025 by the authors. Licensee MDPI, Basel, Switzerland. This article is an open access article distributed under the terms and conditions of the Creative Commons Attribution (CC BY) license (https://creativecommons.org/licenses/by/4.0/).
Share and Cite
Cordel, J.; Anlauf, R.; Prämaßing, W.; Broll, G. Predicting Water Distribution and Optimizing Irrigation Management in Turfgrass Rootzones Using HYDRUS-2D. Hydrology 2025, 12, 53. https://doi.org/10.3390/hydrology12030053
Cordel J, Anlauf R, Prämaßing W, Broll G. Predicting Water Distribution and Optimizing Irrigation Management in Turfgrass Rootzones Using HYDRUS-2D. Hydrology. 2025; 12(3):53. https://doi.org/10.3390/hydrology12030053
Chicago/Turabian StyleCordel, Jan, Ruediger Anlauf, Wolfgang Prämaßing, and Gabriele Broll. 2025. "Predicting Water Distribution and Optimizing Irrigation Management in Turfgrass Rootzones Using HYDRUS-2D" Hydrology 12, no. 3: 53. https://doi.org/10.3390/hydrology12030053
APA StyleCordel, J., Anlauf, R., Prämaßing, W., & Broll, G. (2025). Predicting Water Distribution and Optimizing Irrigation Management in Turfgrass Rootzones Using HYDRUS-2D. Hydrology, 12(3), 53. https://doi.org/10.3390/hydrology12030053

