Analyses of the Effectiveness of Different Media Depths and Plant Treatments on Green Roof Rainfall Retention Capability under Various Rainfall Patterns
Abstract
1. Introduction
2. Materials and Methods
2.1. Green Roof Models
2.2. Data Collection and Analyses
- Rainfall amount I (low): total rainfall amount < 0.64 cm (0.25 inch)
- Rainfall amount II (medium): total rainfall amount 0.64 to 2.54 cm (0.25–1 inch)
- Rainfall amount III (high): total rainfall amount > 2.54 cm (1 inch)
2.2.1. Plant Treatment
2.2.2. Media Depth
2.2.3. Individual and Interaction Effects
3. Results
3.1. Plant Treatment
3.2. Media Depth
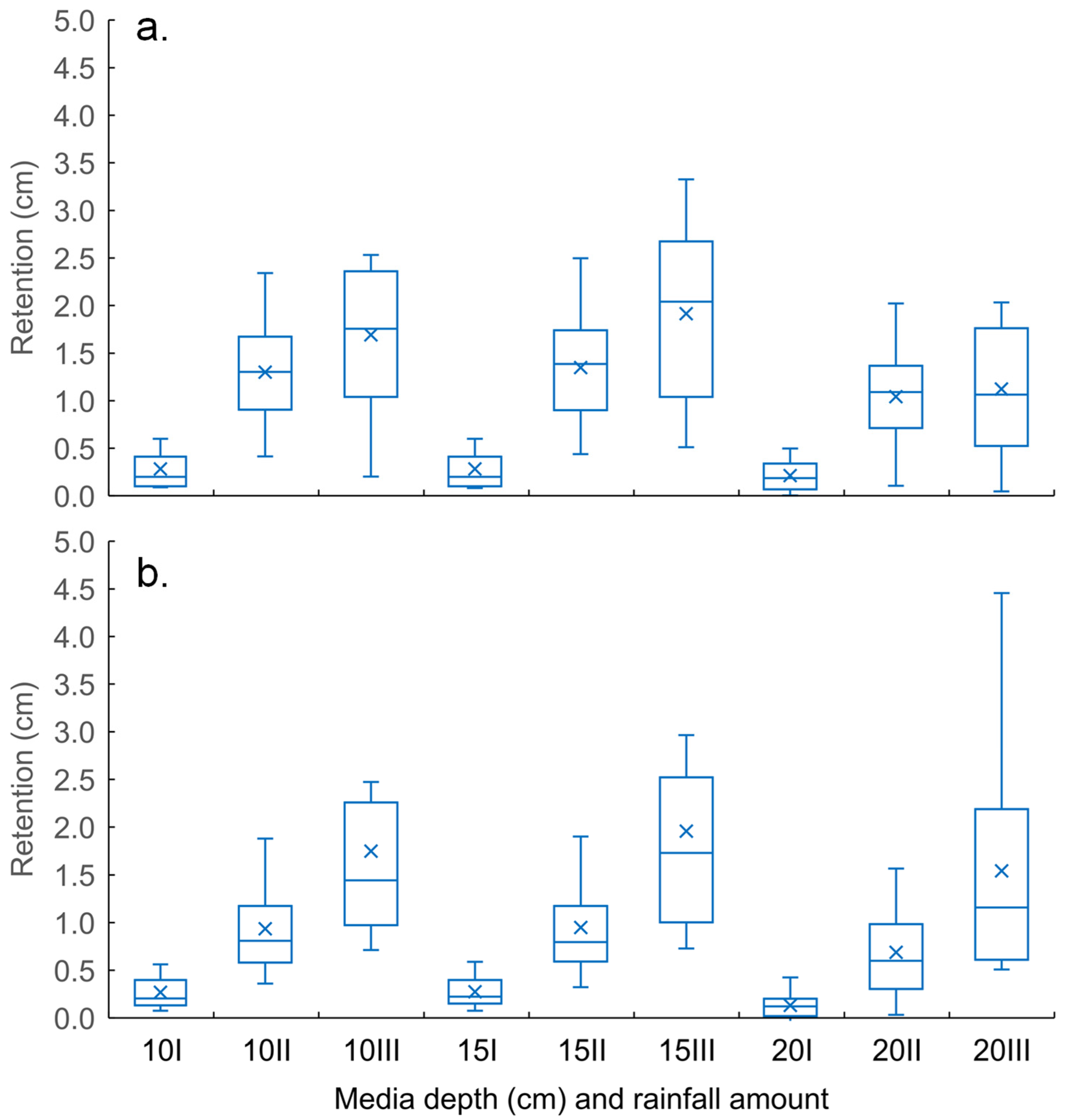
3.2.1. Growing Season
3.2.2. Non-Growing Season
3.3. Individual and Interaction Effects
3.3.1. Growing Season
3.3.2. Non-Growing Season
4. Discussion
4.1. Planted and Non-Planted Green Roof
4.2. Media Depth
4.3. Study Application
5. Conclusions
Author Contributions
Funding
Data Availability Statement
Acknowledgments
Conflicts of Interest
References
- Silva, M.d.; Najjar, M.K.; Hammad, A.W.A.; Haddad, A.; Vazquez, E. Assessing the Retention Capacity of an Experimental Green Roof Prototype. Water 2019, 12, 90. [Google Scholar] [CrossRef]
- Berndtsson, J.C. Green roof performance towards management of runoff water quantity and quality: A review. Ecol. Eng. 2010, 36, 351–360. [Google Scholar] [CrossRef]
- Booth, D.B.; Jackson, C.R. Urbanization of aquatic systems: Degradation thresholds, stormwater detection, and the limits of mitigation. J. Am. Water Resour. Assoc. 1997, 33, 1077–1090. [Google Scholar] [CrossRef]
- Zhou, Q.; Mikkelsen, P.S.; Halsnæs, K.; Arnbjerg-Nielsen, K. Framework for economic pluvial flood risk assessment considering climate change effects and adaptation benefits. J. Hydrol. 2012, 414, 539–549. [Google Scholar] [CrossRef]
- Berghage, R.; Jarrett, A.; Beattie, D.; Kelley, K.; Husain, S.; Rezai, F.; Long, B.; Negassi, A.; Cameron, R. Quantifying evaporation and transpirational water losses from green roofs and green roof media capacity for neutralizing acid rain. In Report, National Decentralized Water Resources (NDWRCP) Research Project; Pennsylvania State University: State College, PA, USA, 2007; pp. 1–94. [Google Scholar]
- Barnes, K.B.; Morgan, J.; Roberge, M. Impervious Surfaces and the Quality of Natural and Built Environments; Department of Geography and Environmental Planning, Towson University: Baltimore, MD, USA, 2001; pp. 2–29. [Google Scholar]
- U.S. Environmental Protection Agency (USEPA). Protecting Water Quality from Urban Runoff: Clean Water Is Everybody’s Business; National Service Center for Environmental Publications: Washington, DC, USA, 2003; p. EPA 841-F-803-003.
- Arnold, C.L.; Gibbons, C.J. Impervious Surface Coverage The Emergence of a Environmental Indicaor. APA J. Am. Plan. Assoc. 1996, 62, 243–256. [Google Scholar] [CrossRef]
- Mays, L.W. Stormwater collection systems design handbook: Introduction. In Stormwater Collection Systems Design Handbook; Mays, L.W., Ed.; McGraw-Hill Education: New York, NY, USA, 2001. [Google Scholar]
- Seters, T.V.; Rocha, L.; Smith, D.; MacMillan, G. Evaluation of green roofs for runoff retention, runoff quality, and leachability. Water Qual. Res. J. 2009, 44, 33–47. [Google Scholar] [CrossRef]
- Morgan, S.; Celik, S.; Retzlaff, W. Green roof storm-water runoff quantity and quality. J. Environ. Eng. 2013, 139, 471–478. [Google Scholar] [CrossRef]
- Bliss, D.J.; Neufeld, R.D.; Ries, R.J. Storm water runoff mitigation using a green roof. Environ. Eng. Sci. 2009, 26, 407–418. [Google Scholar] [CrossRef]
- Graceson, A.; Hare, M.; Monaghan, J.; Hall, N. The water retention capabilities of growing media for green roofs. Ecol. Eng. 2013, 61 Pt A, 328–334. [Google Scholar] [CrossRef]
- Schroll, E.; Lambrinos, J.; Righetti, T.; Sandrock, D. The role of vegetation in regulating stormwater runoff from green roofs in a winter rainfall climate. Ecol. Eng. 2011, 37, 595–600. [Google Scholar]
- Nagase, A.; Dunnett, N. Amount of water runoff from different vegetation types on extensive green roofs: Effects of plant species, diversity and plant structure. Landsc. Urban Plan. 2012, 104, 356–363. [Google Scholar] [CrossRef]
- Dunnett, N.; Kingsbury, N. Planting Green Roofs and Living Walls; Timber Press: Portland, OR, USA, 2004. [Google Scholar]
- Köhler, M.; Schmidt, M.; Laar, M. Green roofs as a contribution to reduce urban heat islands. In Proceedings of the Rio 3—World Climate and Energy Event, Rio de Janeiro, Brazil, 1–5 December 2003; pp. 1–5. [Google Scholar]
- Metselaar, K. Water retention and evapotranspiration of green roofs and possible natural vegetation types. Resour. Conserv. Recycl. 2012, 64, 49–55. [Google Scholar] [CrossRef]
- Stovin, V.; Poë, S.; De-Ville, S.; Berretta, C. The influence of substrate and vegetation configuration on green roof hydrological performance. Ecol. Eng. 2015, 85, 159–172. [Google Scholar] [CrossRef]
- Oberndorfer, E.; Lundholm, J.; Bass, B.; Coffman, R.R.; Doshi, H.; Dunnett, N.; Gaffin, S.; Köhler, M.; Liu, K.K.; Rowe, B. Green roofs as urban ecosystems: Ecological structures, functions, and services. BioScience 2007, 57, 823–833. [Google Scholar] [CrossRef]
- VanWoert, N.D.; Rowe, D.B.; Andresen, J.A.; Rugh, C.L.; Fernandez, R.T.; Xiao, L. Green Roof Stormwater Retention: Effects of Roof Surface, Slope, and Media Depth. J. Environ. Qual. 2005, 34, 1036–1044. [Google Scholar] [CrossRef]
- Dunnett, N.; Nagase, A.; Booth, R.; Grime, P. Influence of vegetation composition on runoff in two simulated green roof experiments. Urban Ecosyst. 2008, 11, 385–398. [Google Scholar] [CrossRef]
- Villarreal, E.L.; Bengtsson, L. Response of a Sedum green-roof to individual rain events. Ecol. Eng. 2005, 25, 1–7. [Google Scholar] [CrossRef]
- Murphy, D.; Morgan, S.; Celik, S.; Retzlaff, B. Evaluation of a residential green roof system for stormwater runoff retention. J. Living Archit. 2018, 5, 16–30. [Google Scholar] [CrossRef]
- Kemp, S.; Hadley, P.; Blanuša, T. The influence of plant type on green roof rainfall retention. Urban Ecosyst. 2019, 22, 355–366. [Google Scholar] [CrossRef]
- VanWoert, N.; Rowe, B.; Andresen, J.; Rugh, C.; Xiao, L. Watering Regime and Green Roof Substrate Design Affect Sedum Plant Growth. Hort Sci. 2005, 40, 659–664. [Google Scholar] [CrossRef]
- Köhler, M.; Schmidt, M.; Grimme, F.W.; Laar, M.; Paiva, V.L.d.A.; Tavares, S. Green roofs in temperate climates and in the hot-humid tropics—Far beyond the aesthetics. Environ. Manag. Health 2002, 13, 382–391. [Google Scholar]
- Shafique, M.; Kim, R.; Lee, D. The potential of green-blue roof to manage storm water in urban areas. Nat. Environ. Pollut. Technol. 2016, 15, 715. [Google Scholar]
- Kasmin, H.; Stovin, V.; De-Ville, S. An evaluation of green roof hydrological performance in a Malaysian context. In Proceedings of the 13th International Conference on Urban Drainage, Sarawak, Malaysia, 7–12 September 2014; pp. 1–8. [Google Scholar]
- Sims, A.W.; Robinson, C.E.; Smart, C.C.; Voogt, J.A.; Hay, G.J.; Lundholm, J.T.; Powers, B.; O’Carroll, D.M. Retention performance of green roofs in three different climate regions. J. Hydrol. 2016, 542, 115–124. [Google Scholar] [CrossRef]
- Skorobogatov, A.; He, J.; Chu, A.; Valeo, C.; Duin, B.v. The impact of media, plants and their interactions on bioretention performance: A review. Sci. Total Environ. 2020, 715, 136918. [Google Scholar] [CrossRef] [PubMed]
- Changnon, S.A.; Wistanley, D. Long-Term Variations in Seasonal Weather Conditions and Their Impacts on Crop Production and Water Resources in Illinois; Illinois State Water Survey, Department of Natural Resources: Champaign, IL, USA, 1999; p. 37. [Google Scholar]
- Forrester, K. Evaluation of Storm Water Runoff from a Midwestern Green Roof System. Ph.D. Thesis, Southern Illinois University Edwardsville, Edwardsville, IL, USA, 2007. [Google Scholar]
- Woods, E. Evaluation of the Quantity and Quality of Storm Water Runoff Released from Green Roof Systems. Master’s Thesis, Southern Illinois University Edwardsville, Edwardsville, IL, USA, 2011. [Google Scholar]
- Carson, T.B.; Marasco, D.E.; Culligan, P.J.; McGillis, W.R. Hydrological performance of extensive green roofs in New York City: Observations and multi-year modeling of three full-scale systems. Environ. Res. Lett. 2013, 8, 024036. [Google Scholar] [CrossRef]
- R Core Team. R: A Language and Environment for Statistical Computing; R Foundation for Statistical Computing: Vienna, Austria, 2020; Available online: https://www.eea.europa.eu/data-and-maps/indicators/oxygen-consuming-substances-in-rivers/r-development-core-team-2006 (accessed on 16 January 2018).
- Helsel, D.R.; Hirsch, R.M. Statistical Methods in Water Resources Techniques of Water-Resources Investigations, Book 4, Chapter A3; U.S. Geological Survey: Reston, VA, USA, 2002; p. 522.
- Handlon, S.F. Determination of the within Event Variability and the Influence of Seasonality on Nutrient Cycling Processes within a Green Roof. Ph.D. Thesis, University of Cincinnati, Cincinnati, OH, USA, 2018. [Google Scholar]
- Schultz, I.; Sailor, D.J.; Starry, O. Effects of substrate depth and precipitation characteristics on stormwater retention by two green roofs in Portland OR. J. Hydrol. Reg. Stud. 2018, 18, 110–118. [Google Scholar] [CrossRef]
- Volder, A.; Dvorak, B. Event size, substrate water content and vegetation affect storm water retention efficiency of an un-irrigated extensive green roof system in Central Texas. Sustain. Cities Soc. 2014, 10, 59–64. [Google Scholar] [CrossRef]
- Wolf, D.; Lundholm, J.T. Water uptake in green roof microcosms: Effects of plantspecies and water availability. Ecol. Eng. 2008, 33, 179–186. [Google Scholar] [CrossRef]



| Analysis | Green Roof | Media Depth (cm) | Rainfall Amount | Data | ||||
|---|---|---|---|---|---|---|---|---|
| Plant Treatment Effect | ||||||||
| Plant vs. Non-plant (ANOVA, Tukey HSD) | P and NP | * Full/combined | ||||||
| Plant vs. Non-plant (ANOVA, Tukey HSD) | P and NP | Growing season | ||||||
| Plant vs. Non-plant (ANOVA, Tukey HSD) | P and NP | Non-growing season | ||||||
| Plant vs. Non-plant (Tukey HSD) | P and NP | 10 | 15 | 20 | * Full/combined | |||
| Plant vs. Non-plant (Tukey HSD) | P and NP | 10 | 15 | 20 | Low | Medium | High | Growing season |
| Media depth effect | ||||||||
| 10 vs. 15 vs. 20 (Tukey HSD, ANOVA) | P | 10 | 15 | 20 | Low | Medium | High | Growing and non-growing |
| Individual and interaction effect | ||||||||
| ** Media depth and plant treatment (ANCOVA) | P | 10 | 15 | 20 | Low | Medium | High | Growing and non-growing |
| ** Rainfall amount and plant treatment (ANCOVA) | P | 10 | 15 | 20 | Low | Medium | High | Growing and non-growing |
| ** Media depth and rainfall amount (ANCOVA) | P | 10 | 15 | 20 | Low | Medium | High | Growing and non-growing |
| Pair | Growing Season (Tukey HSD) | Non-Growing Season (Tukey HSD) | ||||
|---|---|---|---|---|---|---|
| I | II | III | I | II | III | |
| 10 vs. 15 | NS | NS | NS | NS | NS | NS |
| 10 vs. 20 | NS | NS | NS | * | NS | NS |
| 15 vs. 20 | NS | * | * | * | NS | NS |
| ANOVA | NS | * | * | * | NS | NS |
| Coefficient of variation (CV) | ||||||
| 10 | 0.62 | 0.42 | 0.44 | 0.54 | 0.47 | 0.63 |
| 15 | 0.62 | 0.44 | 0.45 | 0.55 | 0.48 | 0.58 |
| 20 | 0.72 | 0.49 | 0.62 | 1.00 | 0.65 | 0.71 |
| Variables | Individual Effect | Interaction Effect | ||
|---|---|---|---|---|
| Media Depth | Plant Treatment | Rainfall Amount | ||
| Growing season | ||||
| Media depth and plant treatment | NS | * | NS | |
| Rainfall amount and plant treatment | * | * | * | |
| Media depth and rainfall amount | NS | * | NS | |
| Non-growing season | ||||
| Media depth and plant treatment | NS | NS | NS | |
| Rainfall amount and plant treatment | NS | * | NS | |
| Media depth and rainfall amount | NS | * | NS | |
Disclaimer/Publisher’s Note: The statements, opinions and data contained in all publications are solely those of the individual author(s) and contributor(s) and not of MDPI and/or the editor(s). MDPI and/or the editor(s) disclaim responsibility for any injury to people or property resulting from any ideas, methods, instructions or products referred to in the content. |
© 2023 by the authors. Licensee MDPI, Basel, Switzerland. This article is an open access article distributed under the terms and conditions of the Creative Commons Attribution (CC BY) license (https://creativecommons.org/licenses/by/4.0/).
Share and Cite
Ashitey, P.; Benjankar, R.; Morgan, S.; Retzlaff, W.; Celik, S. Analyses of the Effectiveness of Different Media Depths and Plant Treatments on Green Roof Rainfall Retention Capability under Various Rainfall Patterns. Hydrology 2023, 10, 149. https://doi.org/10.3390/hydrology10070149
Ashitey P, Benjankar R, Morgan S, Retzlaff W, Celik S. Analyses of the Effectiveness of Different Media Depths and Plant Treatments on Green Roof Rainfall Retention Capability under Various Rainfall Patterns. Hydrology. 2023; 10(7):149. https://doi.org/10.3390/hydrology10070149
Chicago/Turabian StyleAshitey, Pearl, Rohan Benjankar, Susan Morgan, William Retzlaff, and Serdar Celik. 2023. "Analyses of the Effectiveness of Different Media Depths and Plant Treatments on Green Roof Rainfall Retention Capability under Various Rainfall Patterns" Hydrology 10, no. 7: 149. https://doi.org/10.3390/hydrology10070149
APA StyleAshitey, P., Benjankar, R., Morgan, S., Retzlaff, W., & Celik, S. (2023). Analyses of the Effectiveness of Different Media Depths and Plant Treatments on Green Roof Rainfall Retention Capability under Various Rainfall Patterns. Hydrology, 10(7), 149. https://doi.org/10.3390/hydrology10070149

