Assessing the Impacts of Land Use and Land Cover Changes on the Water Quality of River Hooghly, West Bengal, India: A Case Study
Abstract
1. Introduction
2. Materials and Method
2.1. Study Area
2.2. Satellite Images Acquisition
2.3. Preparation of LULC
2.4. Accuracy Assessment of LULC
2.5. Extraction of River Edges
2.6. Buffer Zones of the River
2.7. Sampling and Analyses
2.8. Adopted Methodology
3. Results and Discussion
3.1. Land Use and Land Cover of Buffer Zones of Hoogly River
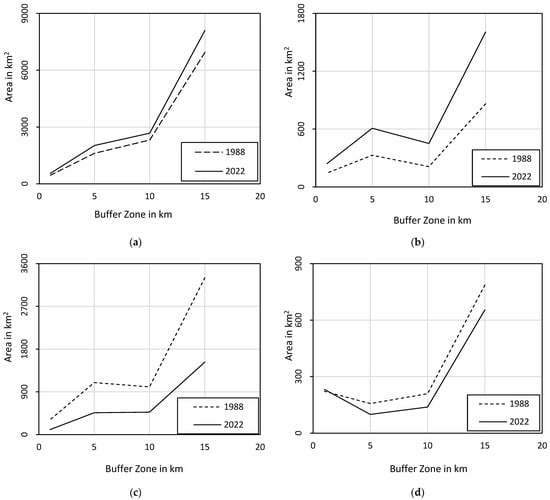
3.2. LULC Change Analysis
3.3. Population Density
3.4. Water Quality Assessment
4. Conclusions
Author Contributions
Funding
Data Availability Statement
Acknowledgments
Conflicts of Interest
References
- Anderson, J.R.; Hardy, E.E.; Roach, J.T.; Witmer, R.E. A Land Use and Land Cover Classification System for Use with Remote Sensor Data; U.S. Government Printing Office: Washington, DC, USA, 1976.
- Di Gregorio, A.; Jansen, L.J. Land Cover Classification System: Classification Concepts and User Manual; Food and Agriculture Organization of the United Nations: Rome, Italy, 1998. [Google Scholar]
- Loveland, T.R.; Belward, A.S. The IGBP-DIS Global 1 km Land Cover Data Set, DISCover: First Results. Int. J. Remote Sens. 1997, 18, 3291–3295. [Google Scholar] [CrossRef]
- Ranjan, P.; Ramanathan, A. Hooghly River. In The Indian Rivers; Singh, D., Ed.; Springer: Singapore, 2018; pp. 265–283. [Google Scholar] [CrossRef]
- Mitra, S.; Ghosh, S.; Satpathy, K.K.; Bhattacharya, B.D.; Sarkar, S.K.; Mishra, P.; Raja, P. Water Quality Assessment of the Ecologically Stressed Hooghly River Estuary, India: A Multivariate Approach. Mar. Pollut. Bull. 2018, 126, 592–599. [Google Scholar] [CrossRef]
- Basu, S.; Banerjee, T.; Manna, P.; Bhattacharyya, B.; Guha, B. Influence of Physicochemical Parameters on the Abundance of Coliform Bacteria in an Industrial Site of the Hooghly River, India. Proc. Zool. Soc. 2013, 66, 20–26. [Google Scholar] [CrossRef]
- Nath, S.; Mukherjee, R.; Bose, S.; Ghosh, S.A. Short Period Assessment of Water Physicochemical Characteristics of Hooghly River, West Bengal, India. Int. Res. J. Environ. Sci. 2017, 6, 1–6. [Google Scholar]
- Ghosh, S.; Das, R.; Bakshi, M.; Mahanty, S.; Chaudhuri, P. Potentially Toxic Element and Microplastic Contamination in the River Hooghly: Implications to Better Water Quality Management. J. Earth Syst. Sci. 2021, 130, 44. [Google Scholar] [CrossRef]
- Kar, S.; Ghosh, I.; Ghosh, A.; Aitch, P.; Bhandari, G. Determination of water quality index (WQI) during mass bathing in different ghats of river Ganga in Howrah and North 24 Parganas district, West Bengal, India. Int. J. Res. Appl. Sci. Eng. 2017, 5, 1097–1104. [Google Scholar] [CrossRef]
- Ozbay, G.; Fan, C.; Yang, Z. Relationship between Land Use and Water Quality and its Assessment Using Hyperspectral Remote Sensing in Mid- Atlantic Estuaries. In Water Quality; InTech Open: Rijeka, Croatia, 2017. [Google Scholar] [CrossRef]
- Tahiru, A.A.; Doke, D.A.; Baatuuwie, B.N. Effect of land use and land cover changes on water quality in the Nawuni Catchment of the White Volta Basin, Northern Region, Ghana. Appl. Water Sci. 2020, 10, 198. [Google Scholar] [CrossRef]
- Sinha, K.; Das, P. Assessment of water quality index using cluster analysis and artificial neural network modeling: A case study of the Hooghly River basin, West Bengal, India. Desalination Water Treat. 2015, 54, 28–36. [Google Scholar] [CrossRef]
- Karmakar, J. Appraisal of Hooghly river water quality using pollution indices. J. Indian Water Work. Assoc. 2021, 41, 17–27. [Google Scholar]
- Ghosh, S.; Bakshi, M.; Mahanty, S.; Gaine, T.; Bhattacharyya, S.; Biswas, J.K.; Chaudhuri, P. Spatiotemporal distribution of potentially toxic elements in the lower Gangetic delta and their implications for non-carcinogenic health risk management. Geosci. Lett. 2021, 8, 19. [Google Scholar] [CrossRef]
- Kar, S.; Ghosh, I.; Chowdhury, P.; Ghosh, A.; Aitch, P.; Bhandari, G.; RoyChowdhury, A. A model-based prediction and analysis of seasonal and tidal influence on pollutants distribution from city outfalls of river Ganges in West Bengal, India and its mapping using GIS tool. PLoS Water 2022, 1, e0000008. [Google Scholar] [CrossRef]
- Dutta, J.; Basack, S.; Goswami, G.; Kiron, B. Geomechanical Hazards related to River Hydraulics and Remedial Measures: Selected case studies in India. WSEAS Trans. Fluid Mech. 2021, 16, 214–221. [Google Scholar] [CrossRef]
- Kiron, B.; Basack, S.; Goswami, G.; Bida, H. Hydrological and environmental study on surface water characterization in a locality in North Eastern India. WSEAS Trans. Environ. Dev. 2021, 17, 1228–1233. [Google Scholar] [CrossRef]
- Goswami, G.; Basack, S.; Mastorakis, N.; Saikia, A.; Nilo, B.; Ahmed, N. Coastal groundwater flow and management: A state-of-the-art review. Int. J. Mech. 2020, 14, 37–48. [Google Scholar] [CrossRef]
- Basack, S.; Loganathan, M.K.; Goswami, G.; Khabbaz, H. Saltwater intrusion into coastal aquifers and associated risk management: Critical review and research directives. J. Coast. Res. 2022, 38, 654–672. [Google Scholar] [CrossRef]
- Basack, S.; Loganathan, M.K.; Goswami, G.; Baruah, P.; Alam, R. Review of risk assessment and mitigation measures of coastal aquifers vulnerable to saline water intrusion. Pol. J. Environ. Stud. 2022, 31, 1505–1512. [Google Scholar] [CrossRef]
- Basack, S.; Goswami, G.; Sonowal, S.; Karakouzian, M. influence of saltwater submergence on geohydraulic properties of sand: A laboratory investigation. Hydrology 2021, 8, 181. [Google Scholar] [CrossRef]
- Basack, S.; Goswami, G.; Khabbaz, H.; Karakouzian, M. Flow characteristics through granular soil influenced by saline water intrusion: A laboratory investigation. Civ. Eng. J. 2022, 8, 863–878. [Google Scholar] [CrossRef]
- Mustafa, A.M.; Muhammed, H.H.; Szydlowski, M. Extreme Rainfalls as a Cause of Urban Flash Floods; a Case Study of the Erbil-Kurdistan Region of Iraq. Acta Sci. Pol. Form. Circumiectus 2019, 18, 113–132. [Google Scholar] [CrossRef]
- Mustafa, A.; Szydłowski, M. The Impact of Spatiotemporal Changes in Land Development (1984–2019) on the Increase in the Runoff Coefficient in Erbil, Kurdistan Region of Iraq. Remote Sens. 2020, 12, 1302. [Google Scholar] [CrossRef]
- Noori, M.; Hassan, H.; Mustafa, Y. Spatial Estimation of Rainfall Distribution and Its Classification in Duhok Governorate Using GIS. J. Water Resour. Prot. 2014, 6, 75–82. [Google Scholar] [CrossRef]
- Al-Quraishi, A.M.F.; Negm, A.M. (Eds.) Environmental Remote Sensing and GIS in Iraq. In Springer Water; Springer: Berlin/Heidelberg, Germany, 2020. [Google Scholar] [CrossRef]
- Rosgen, D.L. A Classification of Natural Rivers. CATENA 1994, 22, 169–199. [Google Scholar] [CrossRef]
- Jain, V.; Karnatak, N.; Raj, A.; Shekhar, S.; Bajracharya, P.; Jain, S. Hydrogeomorphic Advancements in River Science for Water Security in India. Water Secur. 2022, 16, 100118. [Google Scholar] [CrossRef]
- Kumar, R.; Singh, R.D.; Sharma, K.D. Water Resources of India. Curr. Sci. 2005, 89, 794–811. [Google Scholar]
- De, T.K.; Raman, M.; Sarkar, S.K.; Mukherjee, A. Ecological Assessment of Hooghly River Considering a Few of the More Perturbed Sites Based on Some Relevant Physic-Chemical and Biological Variables—A Part of the AVIRIS-NG (NASA-ISRO) Ground Truth Verification. Reg. Stud. Mar. Sci. 2021, 41, 101598. [Google Scholar] [CrossRef]
- Teixeira Pinto, C.; Jing, X.; Leigh, L. Evaluation Analysis of Landsat Level-1 and Level-2 Data Products Using In Situ Measurements. Remote Sens. 2020, 12, 2597. [Google Scholar] [CrossRef]
- Taati, A.; Abbas, M.; Sarmadian, F.; Mousavi, A.; Pour, C.; Shahir, A. Land Use Classification using Support Vector Machine and Maximum Likelihood Algorithms by Landsat 5 TM Images. Walailak J. Sci. Technol. 2015, 12, 681–687. [Google Scholar] [CrossRef]
- Chachondhia, P.; Shakya, A.; Kumar, G. Performance Evaluation of Machine Learning Algorithms Using Optical and Microwave Data for LULC Classification. Remote Sens. Appl. Soc. Environ. 2021, 23, 100599. [Google Scholar] [CrossRef]
- Suykens, J.A.K. Support Vector Machines: A Nonlinear Modelling and Control Perspective. Eur. J. Control 2001, 7, 311–327. [Google Scholar] [CrossRef]
- Mountrakis, G.; Im, J.; Ogole, C. Support Vector Machines in Remote Sensing: A Review. ISPRS J. Photogramm. Remote Sens. 2011, 66, 247–259. [Google Scholar] [CrossRef]
- Disperati, L.; Gonario, S.; Virdis, P. Assessment of Land-Use and Land-Cover Changes from 1965 to 2014 in Tam Giang-Cau Hai Lagoon, Central Vietnam. Appl. Geogr. 2015, 58, 48–64. [Google Scholar] [CrossRef]
- Foody, G.M. Sample size determination for image classification accuracy assessment and comparison. Int. J. Remote Sens. 2009, 30, 5273–5291. [Google Scholar] [CrossRef]
- Xu, H. Modification of Normalized Difference Water Index (NDWI) to Enhance Open Water Features in Remotely Sensed Imagery. Int. J. Remote Sens. 2006, 27, 3025–3033. [Google Scholar] [CrossRef]
- ASTM D3370-18; Standard Practices for Sampling Water from Flowing Process Streams. ASTM International: West Conshohocken, PA, USA, 2018.
- Central Pollution Control Board, Ministry of Environment and Forests, Delhi—110 032 at ENVIS Centre—01. Available online: https://cpcb.nic.in/ (accessed on 12 December 2022).
- ASTM D5907-18; Standard Test Methods for Filterable Matter (Total Dissolved Solids) and Nonfilterable Matter (Total Suspended Solids) in Water. ASTM International: West Conshohocken, PA, USA, 2018.
- ASTM D1293-18; Standard Test Methods for pH of Water. ASTM International: West Conshohocken, PA, USA, 2018.
- ASTM D1067-16; Standard Test Methods for Acidity or Alkalinity of Water. ASTM International: West Conshohocken, PA, USA, 2016.
- ASTM D888-18; Standard Test Methods for Dissolved Oxygen in Water. ASTM International: West Conshohocken, PA, USA, 2018.
- ASTM D6238-98; Standard Test Method for Total Oxygen Demand in Water. ASTM International: West Conshohocken, PA, USA, 2018.
- Indian Standard 1622 (1981); Methods of Sampling and Micro Biological Examination or Water. Bureau of Indian Standards Manak Bhavan: New Delhi, India, 2003.
- Chen, Q.; Mei, K.; Dahlgren, R.A.; Wang, T.; Gong, J.; Zhang, M. Impacts of Land Use and Population Density on Seasonal Surface Water Quality Using a Modified Geographically Weighted Regression. Sci. Total Environ. 2016, 572, 450–466. [Google Scholar] [CrossRef] [PubMed]
- Capodaglio, A.G.; Ghilardi, P.; Boguniewicz-Zablocka, J. New Paradigms in Urban Water Management for Conservation and Sustainability. Water Pract. Technol. 2016, 11, 176–186. [Google Scholar] [CrossRef]
- Wang, X.-H.; Wang, X.; Huppes, G.; Heijungs, R.; Ren, N.-Q. Environmental Implications of Increasingly Stringent Sewage Discharge Standards in Municipal Wastewater Treatment Plants: Case Study of a Cool Area of China. J. Clean. Prod. 2015, 94, 278–283. [Google Scholar] [CrossRef]
- Oliver, T.H.; Morecroft, M.D. Interactions between Climate Change and Land Use Change on Biodiversity: Attribution Problems, Risks, and Opportunities. Wiley Interdiscip. Rev. Clim. Chang. 2014, 5, 317–335. [Google Scholar] [CrossRef]
- Yadav, D.N. Assessment of Water Quality of River Yamuna at Agra. Int. J. Res. Appl. Sci. Eng. Technol. 2019, 7, 3–7. [Google Scholar] [CrossRef]
- Samuel Che, N.; Bett, S.; Chimaijem Okpara, E.; Oluwadamilare Olagbaju, P.; Esther Fayemi, O.; Mathuthu, M. An Assessment of Land Use and Land Cover Changes and Its Impact on the Surface Water Quality of the Crocodile River Catchment, South Africa. In River Deltas Research—Recent Advances; InTech Open: Rijeka, Croatia, 2022. [Google Scholar] [CrossRef]
- Verma, S.; Verma, R.K.; Tiwary, R.K.; Patel, N.; Murthy, S. Relationships between Land-use/Land-cover Patterns and Surface Water Quality in Damodar River Basin, India. Glob. J. Appl. Environ. Sci. 2012, 2, 107–121. [Google Scholar]
- Shukla, A.K.; Ojha, C.S.P.; Mijic, A.; Buytaert, W.; Pathak, S.; Garg, R.D.; Shukla, S. Population Growth, Land Use and Land Cover Transformations, and Water Quality Nexus in the Upper Ganga River Basin. Hydrol. Earth Syst. Sci. 2018, 22, 4745–4770. [Google Scholar] [CrossRef]













| LULC Year | Satellite/Sensor | Path/Row | Acquisition Date | Resolution (m) |
|---|---|---|---|---|
| 1988 | Landsat 5 TM C 2 Level 2 Tier 1 | 138/43 | 17 December 1988 | 30 |
| 138/44 | 17 December 1988 | 30 | ||
| 138/45 | 26 December 1988 | 30 | ||
| 139/43 | 26 December 1988 | 30 | ||
| 139/44 | 26 December 1988 | 30 | ||
| 2022 | Landsat 8 OLI C 2 Level 2 Tier 1 | 138/43 | 13 November 2022 | 30 |
| 138/44 | 13 November 2022 | 30 | ||
| 138/45 | 14 November 2022 | 30 | ||
| 139/43 | 14 November 2022 | 30 | ||
| 139/44 | 14 November 2022 | 30 |
| LULC Classes | Description |
|---|---|
| Waterbodies | River, inland natural and manmade wetlands, and waterbodies |
| Tree cover | Dense forest, open forest, and urban forest |
| Built up | Settlement areas of major cities and towns |
| Agriculture | Land used for the production of agriculture produce |
| Locality | Distance from Farakka (km) |
|---|---|
| Palta, 24 Parganas (N) | 267 |
| Serampore, Hooghly | 272 |
| Dakshineshwar, 24 Parganas (N) | 284 |
| Shibpur, Howrah | 296 |
| Garden Reach, 24 Parganas (S) | 300 |
| Uluberia, Howrah | 324 |
| Parameter | Test Specifications |
|---|---|
| Total solids | ASTM D5907-18 [41] |
| pH | ASTM D1293-18 [42] |
| Alkalinity | ASTM D1067-16 [43] |
| Dissolved oxygen | ASTM D888-18 [44] |
| BOD * and COD # | ASTM D6238-98 [45] |
| Total coliform | IS 1622 [46] |
| LULC Classes | WB | BU | TC | AG | Total | User’s Accuracy |
|---|---|---|---|---|---|---|
| Waterbody | 28 | 4 | 0 | 0 | 32 | 0.88 |
| Built-up | 3 | 33 | 0 | 0 | 36 | 0.92 |
| Tree Cover | 0 | 0 | 120 | 13 | 133 | 0.90 |
| Agriculture | 6 | 5 | 10 | 258 | 279 | 0.92 |
| Total | 37 | 42 | 130 | 271 | 480 | |
| Producer’s Accuracy | 0.76 | 0.79 | 0.92 | 0.95 | ||
| Overall Accuracy | 0.91 | |||||
| Kappa | 0.85 | |||||
| LULC Classes | WB | BU | TC | AG | Total | User’s Accuracy |
|---|---|---|---|---|---|---|
| Waterbody | 29 | 3 | 0 | 0 | 32 | 0.91 |
| Built-up | 2 | 34 | 0 | 0 | 36 | 0.94 |
| Tree Cover | 1 | 0 | 120 | 12 | 133 | 0.90 |
| Agriculture | 6 | 5 | 8 | 260 | 279 | 0.93 |
| Total | 38 | 42 | 128 | 272 | 480 | 0.00 |
| Producer’s Accuracy | 0.76 | 0.81 | 0.94 | 0.96 | 0.00 | |
| Overall Accuracy | 0.92 | |||||
| Kappa | 0.87 |
Disclaimer/Publisher’s Note: The statements, opinions and data contained in all publications are solely those of the individual author(s) and contributor(s) and not of MDPI and/or the editor(s). MDPI and/or the editor(s) disclaim responsibility for any injury to people or property resulting from any ideas, methods, instructions or products referred to in the content. |
© 2023 by the authors. Licensee MDPI, Basel, Switzerland. This article is an open access article distributed under the terms and conditions of the Creative Commons Attribution (CC BY) license (https://creativecommons.org/licenses/by/4.0/).
Share and Cite
Goswami, G.; Mandal, S.; Basack, S.; Mukherjee, R.; Karakouzian, M. Assessing the Impacts of Land Use and Land Cover Changes on the Water Quality of River Hooghly, West Bengal, India: A Case Study. Hydrology 2023, 10, 71. https://doi.org/10.3390/hydrology10030071
Goswami G, Mandal S, Basack S, Mukherjee R, Karakouzian M. Assessing the Impacts of Land Use and Land Cover Changes on the Water Quality of River Hooghly, West Bengal, India: A Case Study. Hydrology. 2023; 10(3):71. https://doi.org/10.3390/hydrology10030071
Chicago/Turabian StyleGoswami, Ghritartha, Sameer Mandal, Sudip Basack, Rishika Mukherjee, and Moses Karakouzian. 2023. "Assessing the Impacts of Land Use and Land Cover Changes on the Water Quality of River Hooghly, West Bengal, India: A Case Study" Hydrology 10, no. 3: 71. https://doi.org/10.3390/hydrology10030071
APA StyleGoswami, G., Mandal, S., Basack, S., Mukherjee, R., & Karakouzian, M. (2023). Assessing the Impacts of Land Use and Land Cover Changes on the Water Quality of River Hooghly, West Bengal, India: A Case Study. Hydrology, 10(3), 71. https://doi.org/10.3390/hydrology10030071

