The Impact of Urban Land-Use Regimes on the Stream Vegetation and Quality of a Mediterranean City
Abstract
1. Introduction
2. Materials and Methods
2.1. Study Area
2.2. Land-Use Mapping and Sampling
- FOR (forests);
- PAS (pastures and herbaceous vegetation associations);
- UFH (urban fabric of 50–80% and >80% coverage);
- UFL (urban fabric of <10%, 10–30%, and 30–50% coverage);
- IND (industrial, commercial, military activity, mining, and landfills);
- ARA (arable land, annual crops, orchards, and complex and mixed crops).
2.3. The Evaluation of Riparian Forest Quality (QBR and RMP)
2.4. Data Analysis
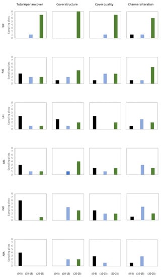
3. Results
4. Discussion
5. Conclusions
Author Contributions
Funding
Data Availability Statement
Conflicts of Interest
References
- Walton, C.R.; Zak, D.; Audet, J.; Petersen, R.J.; Lange, J.; Oehmke, C.; Hoffmann, C.C. Wetland buffer zones for nitrogen and phosphorus retention: Impacts of soil type, hydrology and vegetation. Sci. Total Environ. 2020, 727, 138709. [Google Scholar] [CrossRef] [PubMed]
- Lind, L.; Hasselquist, E.M.; Laudon, H. Towards ecologically functional riparian zones: A meta-analysis to develop guidelines for protecting ecosystem functions and biodiversity in agricultural landscapes. J. Environ. Manag. 2019, 249, 109391. [Google Scholar] [CrossRef] [PubMed]
- Everard, M.; Moggridge, H.L. Rediscovering the value of urban rivers. Urban Ecosyst. 2012, 15, 293–314. [Google Scholar] [CrossRef]
- Kenney, M.A.; Wilcock, P.R.; Hobbs, B.F.; Flores, N.E.; Martínez, D.C. Is Urban Stream Restoration Worth It? JAWRA J. Am. Water Resour. Assoc. 2012, 48, 603–615. [Google Scholar] [CrossRef]
- Trojanek, R. The impact of green areas on dwelling prices—The case of Poznań city. Entrep. Bus. Econ. Rev. 2016, 4, 27–35. [Google Scholar] [CrossRef]
- Trojanek, R.; Gluszak, M.; Tanas, J. The Effect of Urban Green Spaces on House Prices in Warsaw. Int. J. Strateg. Prop. Manag. 2018, 22, 358–371. [Google Scholar] [CrossRef]
- Shu, Y.; Zou, K.; Li, G.; Yan, Q.; Zhang, S.; Zhang, W.; Liang, Y.; Xu, W. Evaluation of Urban Thermal Comfort and Its Relationship with Land Use/Land Cover Change: A Case Study of Three Urban Agglomerations, China. Land 2022, 11, 2140. [Google Scholar] [CrossRef]
- Gašparović, S.; Sopina, A.; Zeneral, A. Impacts of Zagreb’s Urban Development on Dynamic Changes in Stream Landscapes from Mid-Twentieth Century. Land 2022, 11, 692. [Google Scholar] [CrossRef]
- Malmqvist, B.; Rundle, S. Threats to the running water ecosystems of the world. Environ. Conserv. 2002, 29, 134–153. [Google Scholar] [CrossRef]
- Allan, J.D. Landscapes and riverscapes: The influence of land use on stream ecosystems. Annu. Rev. Ecol. Evol. Syst. 2004, 35, 257–284. [Google Scholar] [CrossRef]
- Urban, M.C.; Skelly, D.K.; Burchsted, D.; Price, W.; Lowry, S. Stream communities across a rural–urban landscape gradient. Divers. Distrib. 2006, 12, 337–350. [Google Scholar] [CrossRef]
- Stefanidis, K.; Latsiou, A.; Kouvarda, T.; Lampou, A.; Kalaitzakis, N.; Gritzalis, K.; Dimitriou, E. Disentangling the Main Components of Hydromorphological Modifications at Reach Scale in Rivers of Greece. Hydrology 2020, 7, 22. [Google Scholar] [CrossRef]
- Chatzinikolaou, Y.; Ntemiri, K.; Zogaris, S. River riparian zone assessment using a rapid site-based index in Greece. Fresenius Environ. Bull. 2011, 20, 296–302. [Google Scholar]
- Latsiou, A.; Kouvarda, T.; Stefanidis, K.; Papaioannou, G.; Gritzalis, K.; Dimitriou, E. Pressures and status of the riparian vegetation in Greek Rivers: Overview and preliminary assessment. Hydrology 2021, 8, 55. [Google Scholar] [CrossRef]
- Matono, P. Effects of Agricultural Land Use on the Ecohydrology of Small-Medium Mediterranean River Basins: Insights from a Case Study in the South of Portugal; Batista, T., Ed.; IntechOpen: Rijeka, Croatia, 2019; pp. 29–51. ISBN 978-1-78985-704-7. [Google Scholar]
- Walsh, C.J.; Roy, A.H.; Feminella, J.W.; Cottingham, P.D.; Groffman, P.M.; Morgan, R.P., II. The Urban Stream Syndrome: Current Knowledge and the Search for a Cure. J. N. Am. Benthol. Soc. 2005, 24, 706–723. [Google Scholar] [CrossRef]
- Ojima, D.S.; Galvin, K.A.; Turner, B.L. The global impact of land-use change. Bioscience 1994, 44, 300–305. [Google Scholar] [CrossRef]
- Johnson, M.P. Environmental impacts of urban sprawl: A survey of the literature and proposed research agenda. Environ. Plan. A 2001, 33, 717–735. [Google Scholar] [CrossRef]
- DeFries, R.S.; Foley, J.A.; Asner, G.P. Land-use choices: Balancing human needs and ecosystem function. Front. Ecol. Environ. 2004, 2, 249–257. [Google Scholar] [CrossRef]
- Stefanidis, K.; Papaioannou, G.; Markogianni, V.; Dimitriou, E. Water Quality and Hydromorphological Variability in Greek Rivers: A Nationwide Assessment with Implications for Management. Water 2019, 11, 1680. [Google Scholar] [CrossRef]
- Miserendino, A.M.; Casaux, M.L.; Archangelsky, R.; di Prinzio, M.; Brand, C.Y.; Kutschker, C. Assessing land-use effects on water quality, in-stream habitat, riparian ecosystems and biodiversity in Patagonian northwest streams. Sci. Total Environ. 2011, 409, 612–624. [Google Scholar] [CrossRef] [PubMed]
- Cheng, C.; Zhang, F.; Shi, J.; Kung, H.-T. What is the relationship between land use and surface water quality? A review and prospects from remote sensing perspective. Environ. Sci. Pollut. Res. 2022, 29, 56887–56907. [Google Scholar] [CrossRef] [PubMed]
- Carvalho, L.; Cortes, R.; Bordalo, A. Evaluation of the ecological status of an impaired watershed by using a multi-index approach. Environ. Monit. Assess. 2011, 174, 493–508. [Google Scholar] [CrossRef] [PubMed]
- Valero, E.; Álvarez, X.; Picos, J. An assessment of river habitat quality as an indicator of conservation status. A case study in the northwest of Spain. Ecol. Indic. 2015, 57, 131–138. [Google Scholar] [CrossRef]
- Hooper, L.; Hubbart, J.A. A Rapid Physical Habitat Assessment of Wadeable Streams for Mixed-Land-Use Watersheds. Hydrology 2016, 3, 37. [Google Scholar] [CrossRef]
- Wiatkowski, M.; Tomczyk, P. Comparative Assessment of the Hydromorphological Status of the Rivers Odra, Bystrzyca, and Ślęza Using the RHS, LAWA, QBR, and HEM Methods above and below the Hydropower Plants. Water 2018, 10, 855. [Google Scholar] [CrossRef]
- Munné, A.; Prat, N.; Sola, C.; Bonada, N.; Rieradevall, M. A simple field method for assessing the ecological quality of riparian habitat in rivers and streams: QBR index. Aquat. Conserv. Mar. Freshw. Ecosyst. 2002, 13, 147–163. [Google Scholar] [CrossRef]
- Cheimonopoulou, M.T.; Bobori, D.C.; Theocharopoulos, I.; Lazaridou, M. Assessing ecological water quality with macroinvertebrates and fish: A case study from a small Mediterranean river. Environ. Manag. 2011, 47, 279–290. [Google Scholar] [CrossRef]
- Vlahaki, D.; Tsitsoni, T.; Kontogianni, A. Silvicultural standards for riparian vegetation management. In Proceedings of the Fifth International Conference on Environmental Management Engineering, Planning & Economics, Mykonos Island, Greece, 14–18 June 2015; ISBN 978-960-6865-87-9. [Google Scholar]
- Zaimes, G.N.; Iakovoglou, V. Assessing Riparian Areas of Greece—An Overview. Sustainability 2021, 13, 309. [Google Scholar] [CrossRef]
- Zogaris, S.; Chatzinikolaou, Y.; Dimopoulos, P. Assessing environmental degradation of montane riparian zones in Greece. J. Environ. Biol. 2009, 30, 719–726. [Google Scholar]
- Krigas, N.; Kokkini, S. A survey of the alien vascular flora of the urban and suburban area of Thessaloniki, N Greece. Willdenowia 2004, 34, 81–99. [Google Scholar] [CrossRef]
- Dafis, S. Classification of Vegetation in Greece; Aristotle University of Thessaloniki: Thessaloniki, Greece, 1973; Volume IE. (In Greek) [Google Scholar]
- Hu, S.; Fan, Y.; Zhang, T. Assessing the Effect of Land Use Change on Surface Runoff in a Rapidly Urbanized City: A Case Study of the Central Area of Beijing. Land 2020, 9, 17. [Google Scholar] [CrossRef]
- Kastridis, A.; Margiorou, S.; Sapountzis, M. Check-Dams and Silt Fences: Cost-Effective Methods to Monitor Soil Erosion under Various Disturbances in Forest Ecosystems. Land 2022, 11, 2129. [Google Scholar] [CrossRef]
- Ferreira, M.T.; Albuquerque, A.; Aguiar, F.C.; Sidorkewicz, N. Assessing reference site and ecological quality of river plant assemblages from an Iberian basin using a multivariate approach. Archiv für Hydrobiologie 2002, 155, 121–145. [Google Scholar] [CrossRef]
- Hammer, Ø.; Harper, D.A.T.; Ryan, P.D. Paleontological Statistics Software Package for education and data analysis. Palaeontol. Electron. 2001, 4, 9–18. [Google Scholar]
- Aguiar, F.C.; Ferreira, M.T.; Albuquerque, A.; Moreira, I. Alien and endemic flora on reference and non-reference sites from Mediterranean type-streams of Portugal. Aquat. Conserv. 2007, 17, 335–347. [Google Scholar] [CrossRef]
- Zenetos, A.; Pancucci-Papadopoulou, M.A.; Zogaris, S.; Papastergiadou, E.; Vardakas, L.; Aligizaki, K.; Economou, A.N. Aquatic alien species in Greece: Tracking sources, patterns and effects on the ecosystem. J. Biol. Res. 2009, 12, 135–172. [Google Scholar]
- Fausch, K.D.; García-Berthou, E. The problem of invasive species in river ecosystems. In River Conservation: Challenges and Opportunities; Sabater, S., Elosegi, S.A., Eds.; Fundación BBVA: Bilbao, Spain, 2013; pp. 193–216. [Google Scholar]
- Fierro, P.; Bertrán, C.; Tapia, J.; Hauenstein, E.; Peña-Cortés, F.; Vergara, C.; Vargas-Chacoff, L. Effects of local land-use on riparian vegetation, water quality, and the functional organization of macroinvertebrate assemblages. Sci. Total Environ. 2017, 609, 724–734. [Google Scholar] [CrossRef]
- Díaz-Pascacio, E.; Ortega-Argueta, A.; Castillo-Uzcanga, M.M.; Ramírez-Marcial, N. Influence of land use on the riparian zone condition along an urban-rural gradient on the sabinal river, Mexico. Bot. Sci. 2018, 96, 180–199. [Google Scholar] [CrossRef]
- Mostakim, L.; Guennoun, F.Z.; Benaissa, H.; Fetnassi, N.; Ghamizi, M. Effects of land use change on the riparian zones’quality along the zat river and its tributaries: High atlas of morocco. Appl. Ecol. Environ. Res. 2022, 20, 1351–1367. [Google Scholar] [CrossRef]
- Shah, S.A.; Jehanzaib, M.; Lee, J.-H.; Kim, T.-W. Exploring the Factors Affecting Streamflow Conditions in the Han River Basin from a Regional Perspective. KSCE J. Civ. Eng. 2021, 25, 4931–4941. [Google Scholar] [CrossRef]








| Plots | Land-Use Code | Altitude (m) | QBR Level | Total Score |
|---|---|---|---|---|
| 29 | ARA1 | 116 | D | 30 |
| 32 | ARA2 | 119 | E | 20 |
| 33 | ARA3 | 147 | D | 45 |
| 37 | ARA4 | 207 | E | 25 |
| 1 | FOR1 | 178 | B | 85 |
| 2 | FOR2 | 293 | A | 95 |
| 3 | FOR3 | 438 | B | 80 |
| 6 | FOR4 | 163 | A | 95 |
| 11 | FOR5 | 188 | B | 90 |
| 26 | FOR6 | 406 | B | 85 |
| 35 | FOR7 | 204 | B | 75 |
| 25 | FOR8 | 348 | B | 80 |
| 13 | IND1 | 88 | D | 50 |
| 17 | IND2 | 78 | E | 20 |
| 19 | IND3 | 72 | E | 20 |
| 20 | IND4 | 95 | C | 65 |
| 22 | IND5 | 141 | B | 80 |
| 23 | IND6 | 113 | D | 30 |
| 30 | IND7 | 95 | D | 50 |
| 12 | PAS1 | 253 | A | 100 |
| 14 | PAS2 | 90 | E | 25 |
| 18 | PAS3 | 98 | C | 65 |
| 21 | PAS4 | 143 | E | 20 |
| 24 | PAS5 | 290 | B | 90 |
| 28 | PAS6 | 165 | C | 55 |
| 36 | PAS7 | 222 | B | 85 |
| 7 | UFH1 | 53 | E | 5 |
| 9 | UFH2 | 180 | A | 95 |
| 10 | UFH3 | 241 | B | 90 |
| 16 | UFH4 | 85 | E | 15 |
| 31 | UFH5 | 68 | D | 30 |
| 34 | UFH6 | 209 | E | 15 |
| 4 | UFL1 | 114 | C | 60 |
| 5 | UFL2 | 146 | B | 75 |
| 8 | UFL3 | 54 | E | 20 |
| 15 | UFL4 | 93 | D | 35 |
| 27 | UFL5 | 376 | A | 100 |
| A | B | C | D | E | |
|---|---|---|---|---|---|
| FOR | 2 | 6 | - | - | - |
| PAS | 1 | 2 | 2 | - | 2 |
| UFL | 1 | 1 | 1 | 1 | 1 |
| UFH | 1 | 1 | - | 1 | 3 |
| IND | - | 1 | 1 | 3 | 2 |
| ARA | - | - | - | 2 | 2 |
| Land Use | N | Med. QBR Sc. | Min. QBR Sc. | Max. QBR Sc. | Std. Dev. |
|---|---|---|---|---|---|
| FOR | 8 | 85.00 | 75 | 95 | 7.29 |
| PAS | 7 | 65.00 | 20 | 100 | 31.50 |
| UFH | 6 | 22.50 | 5 | 95 | 40.21 |
| UFL | 5 | 60.00 | 20 | 100 | 31.74 |
| IND | 7 | 50.00 | 20 | 80 | 22.91 |
| ARA | 4 | 27.50 | 20 | 45 | 10.80 |
| Total | 37 | 60.00 | 5 | 100 | 30.76 |
Disclaimer/Publisher’s Note: The statements, opinions and data contained in all publications are solely those of the individual author(s) and contributor(s) and not of MDPI and/or the editor(s). MDPI and/or the editor(s) disclaim responsibility for any injury to people or property resulting from any ideas, methods, instructions or products referred to in the content. |
© 2023 by the authors. Licensee MDPI, Basel, Switzerland. This article is an open access article distributed under the terms and conditions of the Creative Commons Attribution (CC BY) license (https://creativecommons.org/licenses/by/4.0/).
Share and Cite
Theodosiou, G.; Panajiotidis, S. The Impact of Urban Land-Use Regimes on the Stream Vegetation and Quality of a Mediterranean City. Hydrology 2023, 10, 45. https://doi.org/10.3390/hydrology10020045
Theodosiou G, Panajiotidis S. The Impact of Urban Land-Use Regimes on the Stream Vegetation and Quality of a Mediterranean City. Hydrology. 2023; 10(2):45. https://doi.org/10.3390/hydrology10020045
Chicago/Turabian StyleTheodosiou, Georgios, and Sampson Panajiotidis. 2023. "The Impact of Urban Land-Use Regimes on the Stream Vegetation and Quality of a Mediterranean City" Hydrology 10, no. 2: 45. https://doi.org/10.3390/hydrology10020045
APA StyleTheodosiou, G., & Panajiotidis, S. (2023). The Impact of Urban Land-Use Regimes on the Stream Vegetation and Quality of a Mediterranean City. Hydrology, 10(2), 45. https://doi.org/10.3390/hydrology10020045

