Sustainable Water Resources Management under Climate Change: A Case Study with Potato Irrigation in an Insular Mediterranean Environment
Abstract
:1. Introduction
2. Materials and Methods
2.1. Study Area and Workflow
2.2. Climatic Data
2.3. Potato Water Needs
2.4. GHG Emissions Due to Irrigation
3. Results
3.1. Potato Net Irrigation Water Requirements
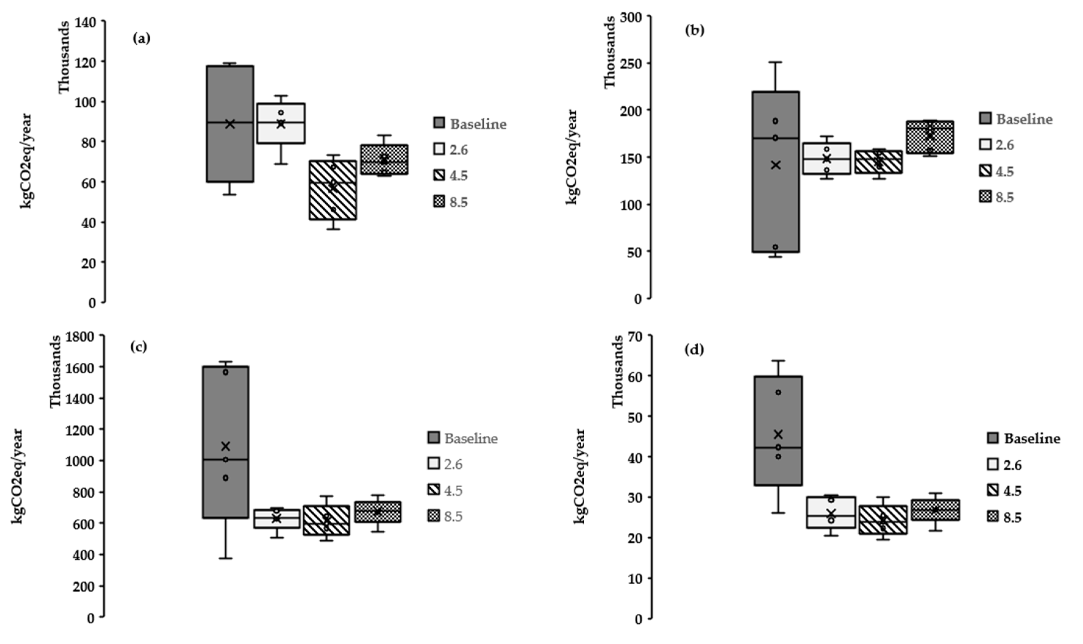
3.2. GHG Emissions Due to Irrigation
4. Discussion
5. Conclusions
Supplementary Materials
Author Contributions
Funding
Data Availability Statement
Conflicts of Interest
Appendix A
| Data Type | Name | Resolution | Time Range | |
|---|---|---|---|---|
| Reanalysis | ERA5-Land | 0.1° × 0.1° | 2018–2022 | |
| Climate-Projection RCPs: 2.6, 4.5, 8.5 | GCM | RCM | ||
| cnrm_cerfacs_cm5 | cnrm_aladin63 | 0.11° × 0.11° | 2021–2045 | |
| mpi_m_mpi_esm_lr | mpi_csc_remo2009 | |||
| ichec_ec_earth | dmi_hirham5 | |||
| Data Type | Variables | Units | Temporal Resolution |
|---|---|---|---|
| Reanalysis | Two-meter Temperature | Kelvin | Hourly |
| Accumulated precipitation | m | Hourly | |
| Two-meter dew point | Kelvin | Hourly | |
| Surface Pressure | Pa | Hourly | |
| Ten-meter u-wind | m/s | Hourly | |
| Ten-meter v-wind | m/s | Hourly | |
| Radiation Fluxes | J/m2 | Hourly | |
| Climate Projection Scenarios | Minimum Temperature | Kelvin | Daily |
| Maximum Temperature | Kelvin | Daily | |
| Mean precipitation flux | kg m−2 s−1 | Daily |
| Data Type | Variables | Units | Temporal Resolution |
|---|---|---|---|
| Reanalysis | Two-meter Maximum Temperature | Celsius | Daily |
| Two-meter Minimum Temperature | Celsius | Daily | |
| Potential Evapotranspiration (Penman–Monteith) | mm | Daily | |
| Accumulated Precipitation | mm | Daily | |
| Climate Projection Scenarios | Two-meter Maximum Temperature | Celsius | Daily |
| Two-meter Maximum Temperature | Celsius | Daily | |
| Potential Evapotranspiration (Hargreaves) | mm | Daily | |
| Accumulated Precipitation | mm | Daily |
References
- Beals, K.A. Potatoes, Nutrition and Health. Am. J. Potato Res. 2019, 96, 102–110. [Google Scholar] [CrossRef]
- Vaitkevičienė, N.; Kulaitienė, J.; Jarienė, E.; Levickienė, D.; Danillčenko, H.; Średnicka-Tober, D.; Rembiałkowska, E.; Hallmann, E. Characterization of Bioactive Compounds in Colored Potato (Solanum tuberosum L.) Cultivars Grown with Conventional, Organic, and Biodynamic Methods. Sustainability 2020, 12, 2701. [Google Scholar] [CrossRef]
- Devaux, A.; Goffart, J.-P.; Kromann, P.; Andrade-Piedra, J.; Polar, V.; Hareau, G. The Potato of the Future: Opportunities and Challenges in Sustainable Agri-Food Systems. Potato Res. 2021, 64, 681–720. [Google Scholar] [CrossRef] [PubMed]
- Awogbemi, O.; Kallon, D.V.V.; Owoputi, A.O. Biofuel Generation from Potato Peel Waste: Current State and Prospects. Recycling 2022, 7, 23. [Google Scholar] [CrossRef]
- Khorramifar, A.; Rasekh, M.; Karami, H.; Covington, J.A.; Derakhshani, S.M.; Ramos, J.; Gancarz, M. Application of MOS Gas Sensors Coupled with Chemometrics Methods to Predict the Amount of Sugar and Carbohydrates in Potatoes. Molecules 2022, 27, 3508. [Google Scholar] [CrossRef]
- Jannat, A.; Ishikawa-Ishiwata, Y.; Furuya, J. Assessing the Impacts of Climate Variations on the Potato Production in Bangladesh: A Supply and Demand Model Approach. Sustainability 2021, 13, 5011. [Google Scholar] [CrossRef]
- de Vries, M.E.; Adams, J.R.; Eggers, E.; Ying, S.; Stockem, J.E.; Kacheyo, O.C.; van Dijk, L.C.M.; Khera, P.; Bachem, C.W.; Lindhout, P.; et al. Converting Hybrid Potato Breeding Science into Practice. Plants 2023, 12, 230. [Google Scholar] [CrossRef]
- Alyokhin, A.; Chen, Y.H.; Udalov, M.; Benkovskaya, G.; Lindström, L. Evolutionary Considerations in Potato Pest Management. In Insect Pests of Potato; Elsevier: Amsterdam, The Netherlands, 2022; pp. 429–450. ISBN 978-0-12-821237-0. [Google Scholar]
- Allan, C.; Xia, J.; Pahl-Wostl, C. Climate Change and Water Security: Challenges for Adaptive Water Management. Curr. Opin. Environ. Sustain. 2013, 5, 625–632. [Google Scholar] [CrossRef]
- Kaya, Y.; Sanli, F.B.; Abdikan, S. Determination of Long-Term Volume Change in Lakes by Integration of UAV and Satellite Data: The Case of Lake Burdur in Türkiye. Environ. Sci. Pollut. Res. 2023. [Google Scholar] [CrossRef]
- Zittis, G.; Bruggeman, A.; Camera, C. 21st Century Projections of Extreme Precipitation Indicators for Cyprus. Atmosphere 2020, 11, 343. [Google Scholar] [CrossRef]
- Zagaria, C.; Schulp, C.J.E.; Malek, Ž.; Verburg, P.H. Potential for Land and Water Management Adaptations in Mediterranean Croplands under Climate Change. Agric. Syst. 2023, 205, 103586. [Google Scholar] [CrossRef]
- Naz, S.; Ahmad, S.; Abbas, G.; Fatima, Z.; Hussain, S.; Ahmed, M.; Khan, M.A.; Khan, A.; Fahad, S.; Nasim, W.; et al. Modeling the Impact of Climate Warming on Potato Phenology. Eur. J. Agron. 2022, 132, 126404. [Google Scholar] [CrossRef]
- Wang, C.; Shi, X.; Liu, J.; Zhao, J.; Bo, X.; Chen, F.; Chu, Q. Interdecadal Variation of Potato Climate Suitability in China. Agric. Ecosyst. Environ. 2021, 310, 107293. [Google Scholar] [CrossRef]
- Skelsey, P.; Kettle, H.; MacKenzie, K.; Blok, V. Potential Impacts of Climate Change on the Threat of Potato Cyst Nematode Species in Great Britain. Plant Pathol. 2018, 67, 909–919. [Google Scholar] [CrossRef]
- Dahal, K.; Li, X.-Q.; Tai, H.; Creelman, A.; Bizimungu, B. Improving Potato Stress Tolerance and Tuber Yield under a Climate Change Scenario—A Current Overview. Front. Plant Sci. 2019, 10, 563. [Google Scholar] [CrossRef]
- Zeng, Z.; Wu, W.; Li, Y.; Huang, C.; Zhang, X.; Peñuelas, J.; Zhang, Y.; Gentine, P.; Li, Z.; Wang, X.; et al. Increasing Meteorological Drought under Climate Change Reduces Terrestrial Ecosystem Productivity and Carbon Storage. One Earth 2023, 6, 1326–1339. [Google Scholar] [CrossRef]
- Raymundo, R.; Asseng, S.; Robertson, R.; Petsakos, A.; Hoogenboom, G.; Quiroz, R.; Hareau, G.; Wolf, J. Climate Change Impact on Global Potato Production. Eur. J. Agron. 2018, 100, 87–98. [Google Scholar] [CrossRef]
- Bracken, P.; Burgess, P.J.; Girkin, N.T. Opportunities for Enhancing the Climate Resilience of Coffee Production through Improved Crop, Soil and Water Management. Agroecol. Sustain. Food Syst. 2023, 47, 1125–1157. [Google Scholar] [CrossRef]
- Liu, K.; Harrison, M.T.; Yan, H.; Liu, D.L.; Meinke, H.; Hoogenboom, G.; Wang, B.; Peng, B.; Guan, K.; Jaegermeyr, J.; et al. Silver Lining to a Climate Crisis in Multiple Prospects for Alleviating Crop Waterlogging under Future Climates. Nat. Commun. 2023, 14, 765. [Google Scholar] [CrossRef]
- Li, L.; Wang, B.; Feng, P.; Jägermeyr, J.; Asseng, S.; Müller, C.; Macadam, I.; Liu, D.L.; Waters, C.; Zhang, Y.; et al. The Optimization of Model Ensemble Composition and Size Can Enhance the Robustness of Crop Yield Projections. Commun. Earth Environ. 2023, 4, 362. [Google Scholar] [CrossRef]
- Reddy, B.J.; Mandal, R.; Chakroborty, M.; Hijam, L.; Dutta, P. A Review on Potato (Solanum tuberosum L.) and Its Genetic Diversity. Int. J. Genet. 2018, 10, 360. [Google Scholar] [CrossRef]
- Stokstad, E. The New Potato. Science 2019, 363, 574–577. [Google Scholar] [CrossRef]
- Xing, Y.; Wang, N.; Niu, X.; Jiang, W.; Wang, X. Assessment of Potato Farmland Soil Nutrient Based on MDS-SQI Model in the Loess Plateau. Sustainability 2021, 13, 3957. [Google Scholar] [CrossRef]
- Nasir, M.W.; Toth, Z. Effect of Drought Stress on Potato Production: A Review. Agronomy 2022, 12, 635. [Google Scholar] [CrossRef]
- Markou, M.; Moraiti, C.A.; Stylianou, A.; Papadavid, G. Addressing Climate Change Impacts on Agriculture: Adaptation Measures For Six Crops in Cyprus. Atmosphere 2020, 11, 483. [Google Scholar] [CrossRef]
- Asif, Z.; Chen, Z.; Sadiq, R.; Zhu, Y. Climate Change Impacts on Water Resources and Sustainable Water Management Strategies in North America. Water Resour. Manag. 2023, 37, 2771–2786. [Google Scholar] [CrossRef]
- Adamides, G.; Kalatzis, N.; Stylianou, A.; Marianos, N.; Chatzipapadopoulos, F.; Giannakopoulou, M.; Papadavid, G.; Vassiliou, V.; Neocleous, D. Smart Farming Techniques for Climate Change Adaptation in Cyprus. Atmosphere 2020, 11, 557. [Google Scholar] [CrossRef]
- De Sousa, L.M.; Poggio, L.; Batjes, N.H.; Heuvelink, G.B.M.; Kempen, B.; Riberio, E.; Rossiter, D. SoilGrids 2.0: Producing Quality-Assessed Soil Information for the globe. Soils Nat. Environ. 2020. [Google Scholar] [CrossRef]
- UN FAO AquaCrop Stand-Alone Programme|AquaCrop|Food and Agriculture Organization of the United Nations. Available online: https://www.fao.org/aquacrop/software/aquacropplug-inprogramme/en/ (accessed on 24 October 2023).
- Schaap, M.G.; Leij, F.J.; Van Genuchten, M.T. Rosetta: A Computer Program for Estimating Soil Hydraulic Parameters with Hierarchical Pedotransfer Functions. J. Hydrol. 2001, 251, 163–176. [Google Scholar] [CrossRef]
- Poggio, L.; De Sousa, L.M.; Batjes, N.H.; Heuvelink, G.B.M.; Kempen, B.; Ribeiro, E.; Rossiter, D. SoilGrids 2.0: Producing Soil Information for the Globe with Quantified Spatial Uncertainty. Soil 2021, 7, 217–240. [Google Scholar] [CrossRef]
- OpenLCA. org. Agribalyse, v. 3.0.1; INRAE: Paris, France, 2021. [Google Scholar]
- JRC Environmental Footprint Reference Packages. Available online: https://eplca.jrc.ec.europa.eu/LCDN/developerEF.xhtml (accessed on 30 October 2023).
- Huijbregts, M.A.J.; Steinmann, Z.J.N.; Elshout, P.M.F.; Stam, G.; Verones, F.; Vieira, M.; Zijp, M.; Hollander, A.; van Zelm, R. ReCiPe2016: A Harmonised Life Cycle Impact Assessment Method at Midpoint and Endpoint Level. Int. J. Life Cycle Assess. 2017, 22, 138–147. [Google Scholar] [CrossRef]
- Röös, E.; Sundberg, C.; Hansson, P.-A. Uncertainties in the Carbon Footprint of Food Products: A Case Study on Table Potatoes. Int. J. Life Cycle Assess. 2010, 15, 478–488. [Google Scholar] [CrossRef]
- Williams, A.G.; Audsley, E.; Sandars, D.L. Environmental Burdens of Producing Bread Wheat, Oilseed Rape and Potatoes in England and Wales Using Simulation and System Modelling. Int. J. Life Cycle Assess. 2010, 15, 855–868. [Google Scholar] [CrossRef]
- Muñoz Sabater, J. ERA5-Land Hourly Data from 1950 to Present. Copernicus Climate Change Service (C3S) Climate Data Store (CDS). 2019. Available online: https://cds.climate.copernicus.eu/cdsapp#!/dataset/reanalysis-era5-land?tab=overview (accessed on 24 October 2023).
- Copernicus Climate Change Service, Climate Data Store. CORDEX Regional Climate Model Data on Single Levels. Copernicus Climate Change Service (C3S) Climate Data Store (CDS). 2019. Available online: https://cds.climate.copernicus.eu/cdsapp#!/dataset/projections-cordex-domains-single-levels (accessed on 24 October 2023).
- Howell, T.A.; Evett, S.R. The Penman-Monteith Method; USDA-Agricultural Research Service, Conservation & Production Research Laboratory: Washington, DC, USA, 2004; p. 14. [Google Scholar]
- Hargreaves, G.H.; Allen, R.G. History and evaluation of Hargreaves evapotranspiration equation. J. Irrig. Drain. Eng. 2003, 129, 53–63. [Google Scholar] [CrossRef]
- Uwe Schulzweida. CDO User Guide, Version 2.1.0; Zenodo: Geneva, Switzerland, 2022. [Google Scholar] [CrossRef]
- Zender, C.S. Analysis of Self-describing Gridded Geoscience. Data with netCDF Operators (NCO). Environ. Modell. Softw. 2008, 23, 1338–1342. [Google Scholar] [CrossRef]








Disclaimer/Publisher’s Note: The statements, opinions and data contained in all publications are solely those of the individual author(s) and contributor(s) and not of MDPI and/or the editor(s). MDPI and/or the editor(s) disclaim responsibility for any injury to people or property resulting from any ideas, methods, instructions or products referred to in the content. |
© 2023 by the authors. Licensee MDPI, Basel, Switzerland. This article is an open access article distributed under the terms and conditions of the Creative Commons Attribution (CC BY) license (https://creativecommons.org/licenses/by/4.0/).
Share and Cite
Litskas, V.; Vourlioti, P.; Mamouka, T.; Kotsopoulos, S.; Paraskevas, C. Sustainable Water Resources Management under Climate Change: A Case Study with Potato Irrigation in an Insular Mediterranean Environment. Hydrology 2023, 10, 218. https://doi.org/10.3390/hydrology10120218
Litskas V, Vourlioti P, Mamouka T, Kotsopoulos S, Paraskevas C. Sustainable Water Resources Management under Climate Change: A Case Study with Potato Irrigation in an Insular Mediterranean Environment. Hydrology. 2023; 10(12):218. https://doi.org/10.3390/hydrology10120218
Chicago/Turabian StyleLitskas, Vassilis, Paraskevi Vourlioti, Theano Mamouka, Stylianos Kotsopoulos, and Charalampos Paraskevas. 2023. "Sustainable Water Resources Management under Climate Change: A Case Study with Potato Irrigation in an Insular Mediterranean Environment" Hydrology 10, no. 12: 218. https://doi.org/10.3390/hydrology10120218
APA StyleLitskas, V., Vourlioti, P., Mamouka, T., Kotsopoulos, S., & Paraskevas, C. (2023). Sustainable Water Resources Management under Climate Change: A Case Study with Potato Irrigation in an Insular Mediterranean Environment. Hydrology, 10(12), 218. https://doi.org/10.3390/hydrology10120218

