Abstract
The processes of extractive distillation and heteroazeotropic distillation of mixtures containing water and a high-boiling component (propionic acid, acetic acid, 1-methoxy-2-propanol) are compared. Entrainers declared in the literature as effective agents for these processes were selected as separating agents. A distillation process simulation in AspenPlus V.11.0 is made. Parametric optimization is carried out and the column operation parameters (number of stages, feed stage, reflux ratio) that meet the minimum energy consumptions and ensure the production of marketable substances are determined. It is shown that the process of heteroazeotropic distillation is more energy-efficient compared to extractive distillation by more than 50%, due to the introduction of an entrainer that lowers the boiling point of process. In addition, in some cases (acetic acid + water with vinyl acetate, propionic acid + water with hexane, cyclohexane, cyclohexanol), one of the columns in the separation flowsheet can be abandoned due to the significantly limited mutual solubility.
1. Introduction
The processes of extractive distillation (ED) and heteroazeotropic distillation (HAD) are referred to as energy-efficient methods of azeotropic mixture separation [1,2,3]. These processes are united by the need of using a new substance, which should increase the relative volatility of the components in the case of ED and form a new heteroazeotrope with a minimum boiling point in the case of HAD. The differences between the two methods are in the organization of material flows and the structure of the technological flowsheet (presence/absence of a separator, entrainer regeneration column). Despite the fact that distillation is the most commonly used separation method in the technology of basic organic and petrochemical synthesis, this process is characterized by a high energy intensity and finding ways to reduce it is an urgent task [4]. A great number of publications are devoted to the study of ED and HAD processes. There are few works devoted to comparing each of these methods with others, including ED and pressure swing distillation (PSD) [5,6,7,8,9,10,11], HAD and PSD [12,13], and ED and HAD [14,15,16]. Separately, the methods of aqueous mixture separation using azeotropy or pressure swing adsorption should be noted [17,18,19]. The results of the multicomponent mixture separation by distillation are determined primarily by the features of the vapor–liquid equilibrium under various conditions, in particular, the addition of specially selected entrainers (E) with varying pressure. In all phase diagrams, with the exception of the zeotropic one, composition simplices break up into closed cells of the distillation process development. The boundaries between individual cells are separatrices of saddle-shaped singular points, and in the binary mixtures, azeotropic points. Special distillation methods are based on the principle of redistribution of composition fields (PRCF) between the specified separation areas [20]. PRCF implies that the same composition or combination of compositions belong alternately to different separation areas, depending on the characteristics of the process or the characteristics of the phase behavior of mixtures with different external parameters. For example, due to the mobility of the azeotrope, it is possible to separate binary azeotropic mixtures of different types in two-column complexes (PSD). In the processes of HAD and ED, PRCF is implemented in a slightly different way. In HAD, when a new selected entrainer is added, a favorable change in the structure of the phase diagram of a larger dimension occurs. In ED, when selective high-boiling entrainer is added, the relative volatility of the target component (product) increases directionally and the dynamic system of the process changes due to the multi-level flow feed of the original mixture and the entrainer. Extreme temperature and concentration profiles are observed along the height of the column [21], which indicate a different ratio of separation work and mixing work in the process [22]. When entrainer and the original mixture are fed into different feed stages, the work of mixing the high-boiling entrainer with internal flows partially compensates for the original mixture separation work and reduces energy consumption, which was shown by us when evaluating a number of separation modes of binary azeotropic (acetone + methanol with water, water + formic acid with acetic acid, acetone + chloroform with DMFA) and zeotropic mixtures containing components with close volatility (dioxane + toluene with decane) [22].
Binary mixtures are mainly considered, and to a large extent the latter are formed by components with a boiling point of 373 K and below (i.e., low-boiling components). When separating these mixtures, as a rule, ED is more energetically advantageous. However, when separating high-boiling mixtures (with a boiling point above 373 K), the situation may change.
The paper presents the comparison of two processes (ED and HAD) in the separation of high-boiling mixtures. Systems that have been well-studied in the literature were selected as objects of research, namely propionic acid (PA) + water (W), 1-methoxy-2-propanol (MP) + water, and acetic acid (AA) + water. In the first two systems, there is an azeotrope. In the third one, the relative volatility of the components is close to unity. The task of entrainer selection was not set, since the effective ones for these processes have already been selected in the literature [23,24,25,26,27]: N-methyl-2-pyrrolidone (NMP), N-methylacetamide (NMAA), cyclohexane (CHAN), cyclohexanol (CHOL), hexane (H), vinyl acetate (VA), isopropyl acetate (IPA), ethyl acetate (EA), and sulfolane (S). Information on the use of an entrainers for the processes considered and the composition of the original mixtures are given in Table 1.
Table 1.
The compositions of original mixtures and entrainers for ED and HAD.
2. Methods
The research method comprised thermodynamic modeling using software AspenPlus V.11.0. and the NRTL model. The equation parameters are presented in Tables S1 and S2 of Supplementary Materials. A comparison between the evaluated and experimental parameters—boiling temperature of pure components and azeotrope characteristics (composition and boiling temperature) (Table 2)—was made. If the relative standard uncertainty (ur) of the description of VLE, LLE, was less than 0.05, the set of parameters was used for further calculations (phase equilibrium studies and simulation of the distillation process):
where a can be presented as temperature (T) or concentration (X). The experimental and calculated boiling point, i.e., the azeotropic data, are given in Table 2. Solubility data are given in Table 3.
Table 2.
The experimental and calculated boiling point and azeotropic composition (at 101.3 kPa) [28,29,30,31,32,33,34,35,36,37,38,39,40,41].
Table 3.
The experimental and calculated LLE data (at 101.3 kPa, 293 K) [42,43,44,45,46].
All entrainers meet the requirements imposed on them. Those for HAD form a new heteroazeotrope with a minimum boiling point (Table 2, Figure 1). The calculation of the VLE in derived ternary systems (“original binary mixture + entrainer”) showed the following change in relative volatility (αE/α) for PA + W with NMP: 5.33/8.78, with NMAA: 9.03/8.78; for AA + W with NMAA: 6.71/1.95, with NMP: 2.51/1.95; for MP + W with S: 3.11/2.36, and with NMP: 4.87/2.36 (the relative volatility in the presence of entrainer is given as the ratio of the amounts of entrainer and the original mixture, 2/1). Despite the fact that the relative volatility of the PA + W in the presence of NMP decreases somewhat (and in the presence of NMAA, increases slightly), this indicator remains high, which contributes to the separation of the mixture using ED. For the MP + W mixture, the selectivity of NMP is higher compared to S; for the AA + W mixture, NMAA will be the more effective agent.
Figure 1.
Phase diagram of derived ternary systems (“original binary mixture + entrainer (HAD)”) at 101.3 kPA (LLE is given at 293 K).
3. Results and Discussion
Based on the studied entrainer properties, two variants of the separation flowsheet are proposed: the first is heteroazeotropic distillation containing a liquid–liquid separator (the target product is in the bottom flow); the second is extractive distillation (the target product is in the distillate flow) (Figure 2).
Figure 2.
Separation flowsheets: (a) heteroazeotropic distillation; (b) extractive distillation. Ci—distillation column, S—separator, Di (Wi)—distillate (bottom) flow, Ri—flows leaving the separator, 1(2)—refers to the column number.
It should be noted that when separating binary mixtures in the HAD flowsheet, the second column can be abandoned in some cases, due to the limited mutual solubility of one of the components of the original binary mixture and the entrainer; the concentration of water in R2 flow (Figure 1) is higher than 0.995 mole frac.
The simulation of the distillation process was carried out. The columns operation parameters that meet the minimum energy consumption and ensure the production of substances with GOST purity (PA—99.8 % mass; AA—99.5 % mass; MP—99.8% mass) were determined (Table 4). The amount of original mixture in all cases was 100 kmol/h. Optimization of the column parameters was carried out according to the standard procedure [47,48]; the optimization criterion was the total heat duty on the column reboilers. The main steps of optimization are given in the Supplementary Materials.
Table 4.
The columns operation parameters.
The pressure reduction in column C2 of ED flowsheet for the MP + W mixture separation is due to the need to reduce the temperature in the column bottom in order to avoid the decomposition of sulfolane.
The flowsheet of HAD of the PA + W binary mixture with CHAN (CHOL, H) and the AA + W binary mixture with VA contain only one distillation column. The concentration of water in the aqueous layer leaving the separator (R2) is 0.996–0.999 mole frac. A lower number of theoretical stages in the columns will be required to separate the mixtures by HAD. The reflux ratio in the extractive distillation column is significantly higher compared to other columns, which is due to the need to reduce the content of the agent in the distillate flow (D1).
The difference in the amounts of entrainers in the ED process is due to their selectivity. For the HAD process, this difference is due to the specifics of phase equilibrium (the ratio of the amounts of liquid layers in the separator, which depends on the components’ solubility, as well as the location of the heteroazeotrope—Figure 1).
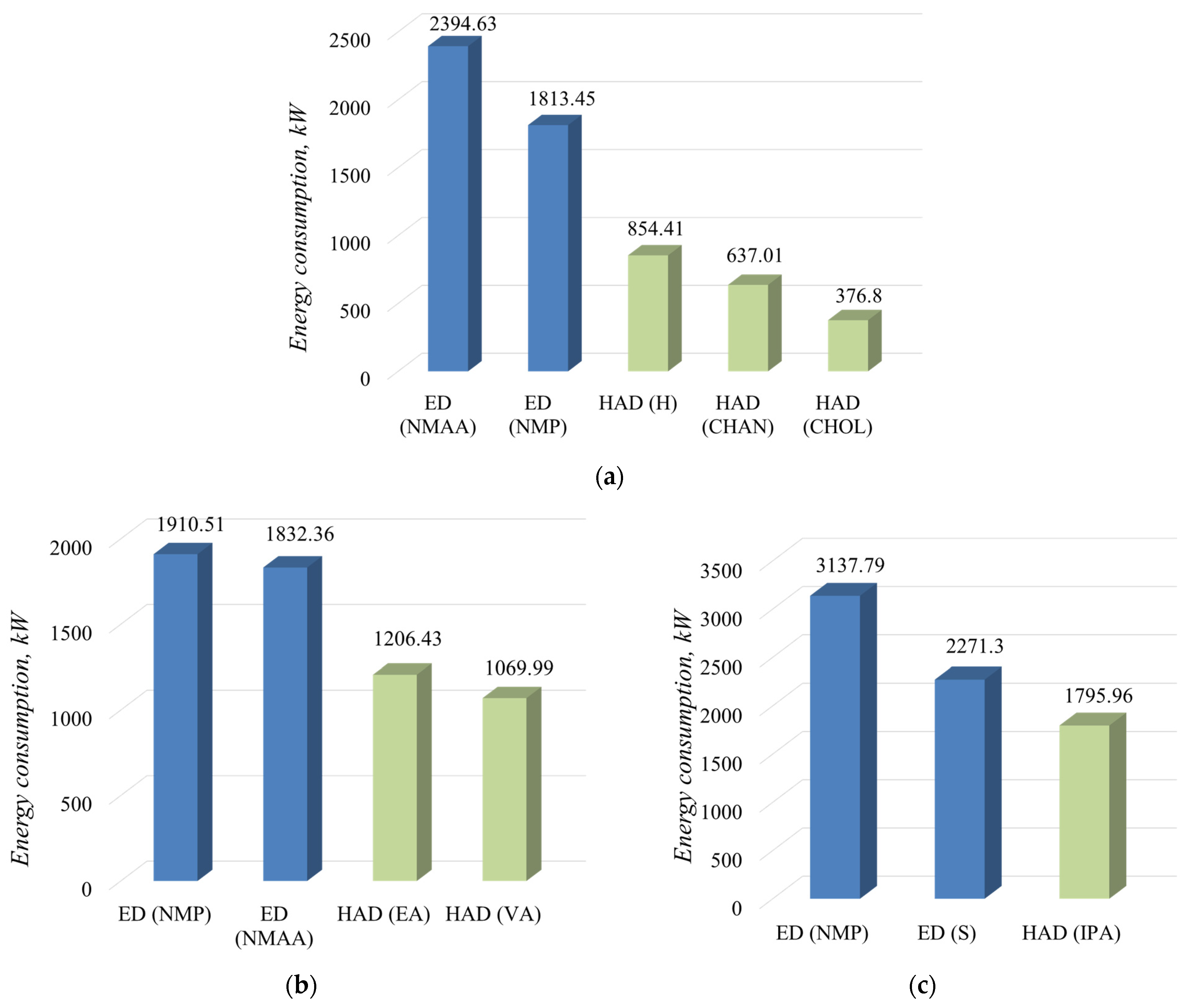
A comparison of the energy consumption of separation flowsheets in the presence of different entrainers for three mixtures is shown in Figure 3.
Figure 3.
Comparison of flowsheets’ energy consumption for separation of PA + W (a), AA + W (b), and MP + W (c) binary mixtures.
4. Conclusions
For the separation of ternary mixtures containing high-boiling components, entrainers for extractive and heteroazeotropic distillation processes were selected based on an analysis of the literature. The addition of an entrainer leads to a transformation of the composition space of the phase diagram (its dimension increases, new singular points appear) (HAD) and a change in the process’ dynamic system due to the supply of the entrainer and the original mixture to different feed stages. As a result of parametric optimization, the column operation parameters corresponding to the minimum energy consumption were determined.
A comparison of the data obtained shows that when separating mixtures containing high-boiling components, heteroazeotropic distillation turns out to be more energetically advantageous. First of all, this is due to the introduction of an entrainer that forms an azeotrope with a minimum boiling point, lowering the temperature in the columns. In the process of extractive distillation, the boiling point of the agent is higher than that of the component and, consequently, the temperature in the column bottom is higher. Another advantage of the HAD process is that, in some cases, it is possible to abandon one of the columns (additional purification of the component is not necessary due to components that are practically insoluble in each other). In the ED flowsheet, the entrainer regeneration column is always needed. Reducing the energy consumption of the extractive distillation is possible due to the use of an agent with a minimum boiling point; however, in this case, the entrainer will be present in the distillates of the columns, which may negatively affect the energy consumption of the flowsheet.
Supplementary Materials
The following supporting information can be downloaded at: https://www.mdpi.com/article/10.3390/chemengineering6050083/s1, Table S1: The parameters* of NRTL-HOC equation for binary mixtures i-j; Table S2: The parameters of NRTL equation for binary mixtures PA (AA, MP, W) + separating agent.
Author Contributions
Conceptualization, A.V.F. and A.K.F.; methodology, A.V.F.; software, I.S.G.; validation, A.V.F., A.K.F., and I.S.G.; formal analysis, A.K.F.; investigation, A.V.F.; resources, A.K.F.; writing—original draft preparation, A.V.F.; writing—review and editing, A.V.F.; visualization, I.S.G.; supervision, A.K.F.; project administration, A.K.F.; funding acquisition, A.K.F. All authors have read and agreed to the published version of the manuscript.
Funding
This research was funded by the Ministry of Education and Science in the framework of the State task on the topic no. 0706-2020-0020.
Institutional Review Board Statement
Not applicable.
Informed Consent Statement
Not applicable.
Data Availability Statement
Not applicable.
Conflicts of Interest
The authors declare that they have no conflict of interest.
References
- Timofeev, V.S.; Serafimov, L.A.; Tymoshenko, A.V. Principles of the Technology of Basic Organic and Petrochemical Synthesis. Textbook for Universities, 3rd ed.; Higher School: Moscow, Russia, 2010; p. 408. [Google Scholar]
- Zhigang, L.; Chengyue, L.; Biaohua, C. Extractive Distillation: A Review. Sep. Purif. Rev. 2003, 32, 121–213. [Google Scholar] [CrossRef]
- Gerbaud, V.; Rodriguez-donis, I.; Hegely, L.; Lang, P.; Denes, F.; You, X. Review of Extractive Distillation. Process design, operation, optimization and control. Chem. Eng. Res. Des. 2019, 141, 229–271. [Google Scholar] [CrossRef]
- Ziyatdinov, N.N.; Emelyanov, I.I.; Ryzhova, A.A.; Chernakov, P.S. Algorithm and software for the optimal technological design of a system of simple distillation columns. Fine Chem. Technol. 2021, 16, 379–389. [Google Scholar] [CrossRef]
- Luyben, W.L. Comparison of extractive distillation and Pressure-Swing Distillation for acetone-methanol separation. Ind. Eng. Chem. Res. 2008, 47, 2696–2707. [Google Scholar] [CrossRef]
- Ghuge, P.D.; Mali, N.A.; Joshi, S.S. Comparative Analysis of Extractive and Pressure Swing Distillation for Separation of THF-Water Separation. Comput. Chem. Eng. 2017, 103, 188–200. [Google Scholar] [CrossRef]
- Cao, Y.; Hu, J.; Jia, J.; Bu, G.; Zhu, Z.; Wang, Y. Comparison of pressure-swing distillation and extractive distillation with varied-diameter column in economics and dynamic control. J. Process Control 2017, 49, 9–25. [Google Scholar] [CrossRef]
- Lladosa, E.; Montón, J.B.; Burguet, M. Separation of di-n-propyl ether and n-propyl alcohol by extractive distillation and pressure-swing distillation: Computer simulation and economic optimization. Chem. Eng. Process. 2011, 50, 1266–1274. [Google Scholar] [CrossRef]
- Muñoz, R.; Montón, J.B.; Burguet, M.C.; Torre, J. Separation of isobutyl alcohol and isobutyl acetate by extractive distillation and pressure-swing distillation: Simulation and optimization. Sep. Purif. Technol. 2006, 50, 175–183. [Google Scholar] [CrossRef]
- Wang, X.; Xie, L.; Tian, P.; Tian, G. Design and control of extractive dividing wall column and pressure-swing distillation for separating azeotropic mixture of acetonitrile/N-propanol. Chem. Eng. Process. 2016, 110, 172–187. [Google Scholar] [CrossRef]
- Luo, H.; Liang, K.; Li, W.; Ming, X.; Xu, C. Comparison of Pressure Swing Distillation and Extractive Distillation Methods for Isopropyl Alcohol/Diisopropyl Ether Separation. Ind. Eng. Chem. Res. 2008, 53, 15167–15182. [Google Scholar] [CrossRef]
- Guang, C.; Shi, X.; Zhang, Z.; Wang, C.; Gao, J. Comparison of heterogeneous azeotropic and pressure-swing distillations for separating the diisopropylether/isopropanol/water mixtures. Chem. Eng. Res. Des. 2019, 143, 249–260. [Google Scholar] [CrossRef]
- Cui, Y.; Shi, X.; Guang, C.; Zhang, Z.; Wang, C.; Wang, C. Comparison of pressure-swing distillation and heterogenous azeotropic distillation for recovering benzene and isopropanol from wastewater. Process Saf. Environ. Prot. 2019, 122, 1–12. [Google Scholar] [CrossRef]
- Zhao, L.; Zhao, Q.; Li, X.; Zhong, X.; Huaxue, G. Comparison of heterogeneous azeotropic distillation and extractive methods for ternary azeotrope ethanol/toluene/water separation. Comput. Chem. Eng. 2017, 100, 27–37. [Google Scholar] [CrossRef]
- Kiss, A.A.; David, J.; Suszwalak, P. Enhanced bioethanol dehydratation by extractive and azeotropic distillation in dividing-wall columns. Sep. Purif. Technol. 2012, 86, 70–78. [Google Scholar] [CrossRef]
- Chen, Y.-C.; Yu, B.-Y.; Hsu, C.-C.; Chien, I.-L. Comparison of heteroazeotropic and extractive distillation for the dehydration of propylene glycol methyl ether. Chem. Eng. Res. Des. 2016, 111, 184–195. [Google Scholar] [CrossRef]
- Abdel-Rahman, Z.A.; Mahmood, A.M.; Ali, A.J. Ethanol-Water Separation by Pressure Swing Adsorption (PSA). Iraqi J. Chem. Pet. Eng. 2014, 15, 1–7. [Google Scholar]
- López Núñez, A.R.; Rumbo Morales, J.Y.; Salas Villalobos, A.U.; De La Cruz-Soto, J.; Ortiz Torres, G.; Rodríguez Cerda, J.C.; Calixto-Rodriguez, M.; Brizuela Mendoza, J.A.; Aguilar Molina, Y.; Zatarain Durán, O.A.; et al. Optimization and Recovery of a Pressure Swing Adsorption Process for the Purification and Production of Bioethanol. Fermentation 2022, 8, 293. [Google Scholar] [CrossRef]
- Tajallipour, M.; Niu, C.; Dalai, A. Ethanol Dehydration in a Pressure Swing Adsorption Process Using Canola Meal. Energy Fuels 2013, 27, 6655–6664. [Google Scholar] [CrossRef]
- Serafimov, L.A.; Frolkova, A.K. Fundamental principle of concentration-field redistribution between separation regions as a basis for the design of technological systems. Theor. Found. Chem. Eng. 1997, 31, 159–166. [Google Scholar]
- Benyounes, H.; Frolkova, A.K. Investigation of the distribution of temperatures and concentrations during the distillation of real mixtures in complex columns. Sci. Notes M.V. Lomonosov MITHT 2002, 5, 50–53. (In Russian) [Google Scholar]
- Frolkova, A.K. Theoretical Foundations of Separation of Multicomponent Multiphase Systems Using Functional Complexes. Ph.D. Thesis, Moscow State University of Fine Chemical Technologies, Moscow, Russia, 2000. [Google Scholar]
- Berg, L.; Szabados, R.J.; Wendt, K.M.; Yeh, A.-I. The dehydration of the lower fatty acids by extractive distillation. Chem. Eng. Commun. 1990, 89, 113–131. [Google Scholar] [CrossRef]
- Cohen, L.R. Method for Separating Carboxylic Acids from Mixtures with Non-Acids. US Patent 4,576,683, 6 June 1986. Available online: https://patents.google.com/patent/US4576683A/en (accessed on 18 September 2022).
- Huang, H.J.; Chien, I.-L. Choice of suitable entrainer in heteroazeotropic batch distillation system for acetic acid dehydration. Chin. J. Chem. Eng. 2008, 39, 503–517. [Google Scholar] [CrossRef]
- Li, X.; Tang, C.; Guan, G. Mechanism of NMA as entrainer in separating acetic acid from water with extractive distillation. Chin. J. Chem. Eng. 2007, 58, 141–144. [Google Scholar]
- Raeva, V.M.; Gromova, O.V. Separation of water—formic acid—acetic acid mixtures in the presence of sulfolane. Fine Chem. Technol. 2019, 14, 24–32. [Google Scholar] [CrossRef]
- Lebedeva, N.D. Heat of Combustion of a Series of Monocarboxylic Acids. Russ. J. Phys. Chem. 1964, 38, 1435–1437. [Google Scholar]
- Sokolov, N.M.; Sevryugova, N.N.; Zhavoronkov, N.M. Liquid-vapor phase equilibrium in the systems acrylonitrile + water and acrolein + water at various pressures. Theor. Found. Chem. Eng. 1969, 3, 128–135. [Google Scholar]
- Aldrich Chemical Company Inc. Catalog Handbook of Fine Chemicals; Milwaukee Wis: Milwaukee, WI, USA, 1990. [Google Scholar]
- Weast, R.C.; Grasselli, J.G. CRC Handbook of Data on Organic Compounds; CRC Press: Boca Raton, FL, USA, 1989. [Google Scholar]
- Lee, F.-M. Use of Organic Sulfones as the Extractive Distillation Solvent for Aromatic Recovery. Ind. Eng. Chem. Process Des. Dev. 1986, 25, 949–957. [Google Scholar] [CrossRef]
- Rivenq, F. Vapor-liquid data for the system water-propionic acid. Bull. Soc. Chim. Fr. 1961, 1392–1395. Available online: http://pure-oai.bham.ac.uk/ws/files/18560974/Roman_Ramirez_et_al_Vapour_liquid_equilibrium_Fluid_Phase_Equilibria_2015.pdf14.10.2022 (accessed on 18 September 2022).
- Ogorodnikov, S.K.; Lesteva, T.M.; Kogan, V.B. Azeotropic Mixtures (in Russian); Chemistry: Moscow, Russia, 1971; p. 848. [Google Scholar]
- Tochigi, K.; Takahara, H.; Shiga, Y.; Kawase, Y. Isobaric vapor–liquid equilibria for water + propylene glycol monomethyl ether (PGME), water + propyleneglycol monomethyl ether acetate (PGMEA), and PGME + PGMEA at reduced pressures. Fluid Phase Equilib. 2007, 260, 65–69. [Google Scholar] [CrossRef]
- Lecat, M. L’Azeotropisme. Monograph; Brussel: Maurice Lamerti, 1918. [Google Scholar]
- Zharikov, L.K.; Krylova, K.S.; Kopylevich, G.M.; Tikhonova, N.K.; Oparina, G.K.; Serafimov, L.A. Phase equilibria in water-aniline, water-cyclohexanol, ethanol-aniline, ethanol-cyclohexanol systems. Zhournal Prikladnoi Khimii 1975, 48, 1249–1250. [Google Scholar]
- Marinichev, A.N.; Susarev, M.P. Concentration ranges of ternary hetero-azeotropes. Russ. J. Phys. Chem. 1969, 43, 631–634. [Google Scholar]
- Zhao, Q.; Li, X.; Zhong, X. Phase Equilibrium of Ternary System of VAc-TBA-Water. Huaxue Gongcheng 1992, 20, 61–65. [Google Scholar]
- Kato, M.; Konishi, H.; Hirata, M.J. New apparatus for isobaric dew and bubble point method methanol + water, ethyl acetate + ethanol, water + 1-butanol, and ethyl acetate + water systems. J. Chem. Eng. Data 1970, 15, 435–439. [Google Scholar] [CrossRef]
- Lin, Y.-F.; Tu, C.-H. Isobaric vapor-liquid equilibria for the binary and ternary mixtures of 2-propanol, water, and 1,3-propanediol at p = 101.3 kPa: Effect of the 1,3-propanediol addition. Fluid Phase Equilib. 2014, 368, 104–111. [Google Scholar] [CrossRef]
- Budantseva, L.S.; Lesteva, T.M.; Nemtsov, M.S. Liquid–liquid equilibria in methanol–water–paraffin hydrocarbons C7, C8 systems. Russ. J. Phys. Chem. 1976, 50, 1344–1345. [Google Scholar]
- Senol, A.; Cehreli, S.; Ozmen, D. Phase Equilibria for the Ternary Liquid Systems of (Water + Tetrahydrofurfuryl Alcohol + Cyclic Solvent) at 298.2 K. J. Chem. Eng. Data 2005, 50, 688–691. [Google Scholar] [CrossRef]
- Glover, S.T. Liquid-liquid extraction: Removal of acetone and acetaldehyde from vinyl acetate with water in packed column. Transac. Inst. Chem. Eng. 1946, 24, 54–55. [Google Scholar]
- Stephenson, R.M.; Stuart, J.J. Mutual binary solubilities: Water-alcohols and water-esters. J. Chem. Eng. Data 1986, 31, 56–57. [Google Scholar] [CrossRef]
- Misikov, G.; Toikka, M.; Samarov, A.; Toikka, A. Phase equilibria liquid-liquid for ternary systems n-amyl alcohol-water-(acetic acid, n-amyl acetate), n-amyl acetate-water-acetic acid at 293.15 K, 303.15 K, 313.15 K and 323.15 K. Fluid Phase Equilib. 2022, 552, 113265. [Google Scholar] [CrossRef]
- Mayevskiy, M.; Frolkova, A.; Frolkova, A. Separation and Purification of Methyl Isobutyl Ketone from Acetone + Isopropanol + Water + Methyl Isobutyl Ketone + Methyl Isobutyl Carbinol + Diisobutyl Ketone Mixture. ACS Omega 2020, 5, 25365–25370. [Google Scholar] [CrossRef]
- Anokhina, E.A.; Shleynikova, E.L.; Timoshenko, A.V. Energy efficiency of complexes with partially coupled thermally and material flows for extractive distillation of methyl acetate—Chloroform mixture. Fine Chem. Technol. 2013, 8, 18–25. (In Russian) [Google Scholar]
Publisher’s Note: MDPI stays neutral with regard to jurisdictional claims in published maps and institutional affiliations. |
© 2022 by the authors. Licensee MDPI, Basel, Switzerland. This article is an open access article distributed under the terms and conditions of the Creative Commons Attribution (CC BY) license (https://creativecommons.org/licenses/by/4.0/).


