Poisoning Effects of Cerium Oxide (CeO2) on the Performance of Proton Exchange Membrane Fuel Cells (PEMFCs)
Abstract
:1. Introduction
2. Materials and Methods
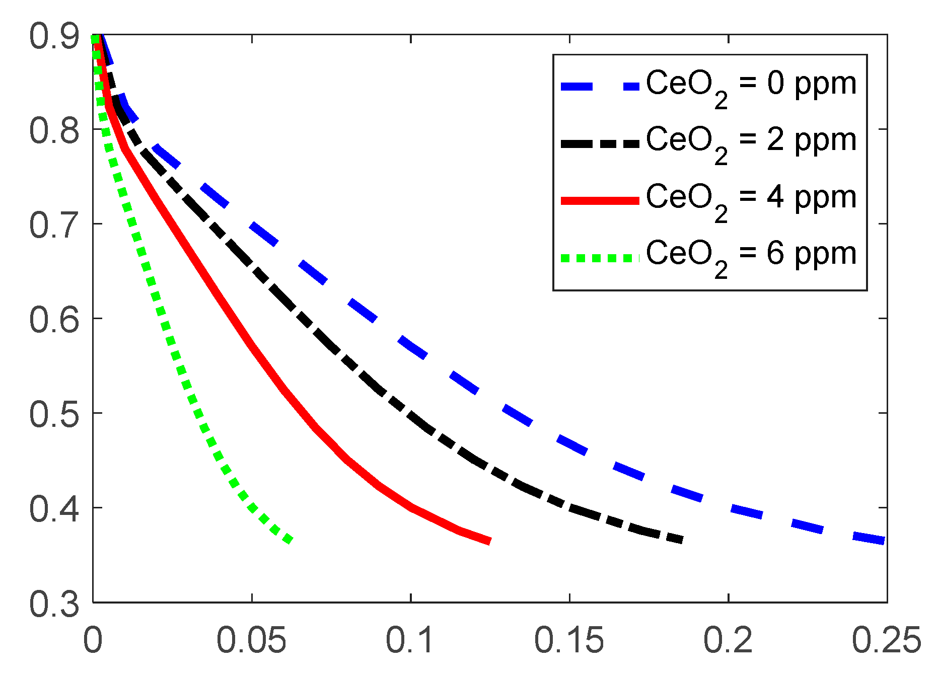
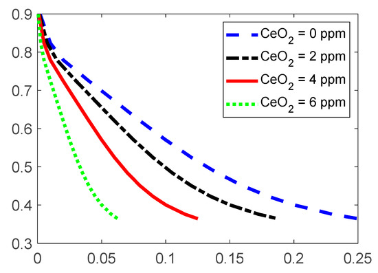
3. Results
4. Conclusions
Author Contributions
Funding
Data Availability Statement
Acknowledgments
Conflicts of Interest
References
- Zaman, S.; Huang, L.; Douka, A.I.; Yang, H.; You, B.; Xia, B.Y. Oxygen Reduction Electrocatalysts toward Practical Fuel Cells: Progress and Perspectives. Angew. Chem. 2021, 133, 17976–17996. [Google Scholar] [CrossRef]
- Pourrahmani, H.; Van Herle, J. Evaluation Criterion of Proton Exchange Membrane (ECPEM) fuel cells considering inserted porous media inside the gas flow channel. Appl. Therm. Eng. 2021, 203, 117952. [Google Scholar] [CrossRef]
- Sun, C.; Zhang, H. Review of the Development of First-Generation Redox Flow Batteries: Iron-Chromium System. ChemSusChem 2021, 15, e202101798. [Google Scholar] [CrossRef]
- Martis, R.; Al-Othman, A.; Alkasrawi, M.; Tawalbeh, M. Fuel cells for carbon capture and power generation: Simulation studies. Int. J. Hydrog. Energy 2020, 46, 6139–6149. [Google Scholar] [CrossRef]
- Gomez, Y.A.; Lindbergh, G.; Lagergren, C. Performance Recovery after Contamination with Nitrogen Dioxide in a PEM Fuel Cell. Molecules 2020, 25, 1115. [Google Scholar] [CrossRef] [Green Version]
- Yuan, Y.; Qu, Z.; Wang, W.; Ren, G.; Hu, B. Illustrative Case Study on the Performance and Optimization of Proton Exchange Membrane Fuel Cell. ChemEngineering 2019, 3, 23. [Google Scholar] [CrossRef] [Green Version]
- Awad, E.; Sabirova, T.; Tretyakova, N.; Alsalhy, Q.; Figoli, A.; Salih, I. A Mini-Review of Enhancing Ultrafiltration Membranes (UF) for Wastewater Treatment: Performance and Stability. ChemEngineering 2021, 5, 34. [Google Scholar] [CrossRef]
- Jia, R.; Dong, S.; Hasegawa, T.; Ye, J.; Dauskardt, R.H. Contamination and moisture absorption effects on the mechanical properties of catalyst coated membranes in PEM fuel cells. Int. J. Hydrog. Energy 2012, 37, 6790–6797. [Google Scholar] [CrossRef]
- Reimer, U.; Froning, D.; Nelissen, G.; Raymakers, L.F.J.M.; Zhang, S.; Beale, S.B.; Lehnert, W. An Engineering Toolbox for the Evaluation of Metallic Flow Field Plates. ChemEngineering 2019, 3, 85. [Google Scholar] [CrossRef] [Green Version]
- Osmieri, L. Transition Metal–Nitrogen–Carbon (M–N–C) Catalysts for Oxygen Reduction Reaction. Insights on Synthesis and Performance in Polymer Electrolyte Fuel Cells. ChemEngineering 2019, 3, 16. [Google Scholar] [CrossRef] [Green Version]
- Bilondi, A.M.; Abdollahzadeh, M.; Kermani, M.; Heidary, H.; Havaej, P. Numerical study of anode side CO contamination effects on PEM fuel cell performance; and mitigation methods. Energy Convers. Manag. 2018, 177, 519–534. [Google Scholar] [CrossRef]
- Ghasemzadeh, K.; Basile, A.; Iulianelli, A. Progress in Modeling of Silica-Based Membranes and Membrane Reactors for Hydrogen Production and Purification. ChemEngineering 2019, 3, 2. [Google Scholar] [CrossRef] [Green Version]
- Li, H.; Zhang, J.; Fatih, K.; Wang, Z.; Tang, Y.; Shi, Z.; Wu, S.; Song, D.; Zhang, J.; Jia, N.; et al. Polymer electrolyte membrane fuel cell contamination: Testing and diagnosis of toluene-induced cathode degradation. J. Power Source 2008, 185, 272–279. [Google Scholar] [CrossRef]
- Li, H.; Zhang, S.; Qian, W.; Yu, Y.; Yuan, X.-Z.; Wang, H.; Jiang, M.; Wessel, S.; Cheng, T.T. Impacts of operating conditions on the effects of chloride contamination on PEM fuel cell performance and durability. J. Power Source 2012, 218, 375–382. [Google Scholar] [CrossRef]
- Li, H.; Wang, H.; Qian, W.; Zhang, S.; Wessel, S.; Cheng, T.T.; Shen, J.; Wu, S. Chloride contamination effects on proton exchange membrane fuel cell performance and durability. J. Power Source 2011, 196, 6249–6255. [Google Scholar] [CrossRef]
- Li, H.; Gazzarri, J.; Tsay, K.; Wu, S.; Wang, H.; Zhang, J.; Wessel, S.; Abouatallah, R.; Joos, N.; Schrooten, J. PEM fuel cell cathode contamination in the presence of cobalt ion (Co2+). Electrochim. Acta 2010, 55, 5823–5830. [Google Scholar] [CrossRef] [Green Version]
- Zaman, S.; Su, Y.; Dong, C.; Qi, R.; Huang, L.; Qin, Y.; Huang, Y.; Li, F.; You, B.; Guo, W.; et al. Scalable Molten Salt Synthesis of Platinum Alloys Planted in Metal–Nitrogen–Graphene for Efficient Oxygen Reduction. Angew. Chem. 2021, 134, e202115835. [Google Scholar] [CrossRef]
- Li, H.; Tsay, K.; Wang, H.; Shen, J.; Wu, S.; Zhang, J.; Jia, N.; Wessel, S.; Abouatallah, R.; Joos, N.; et al. Durability of PEM fuel cell cathode in the presence of Fe3+ and Al3+. J. Power Source 2010, 195, 8089–8093. [Google Scholar] [CrossRef] [Green Version]
- Jia, R.; Han, B.; Levi, K.; Hasegawa, T.; Ye, J.; Dauskardt, R.H. Effect of cation contamination and hydrated pressure loading on the mechanical properties of proton exchange membranes. J. Power Source 2011, 196, 3803–3809. [Google Scholar] [CrossRef]
- Mukundan, R.; Borup, R.L. Visualising Liquid Water in PEM Fuel Cells Using Neutron Imaging. Fuel Cells 2009, 9, 499–505. [Google Scholar] [CrossRef]
- Minard, K.R.; Viswanathan, V.V.; Majors, P.D.; Wang, L.-Q.; Rieke, P.C. Magnetic resonance imaging (MRI) of PEM dehydration and gas manifold flooding during continuous fuel cell operation. J. Power Source 2006, 161, 856–863. [Google Scholar] [CrossRef]
- Gago, A.; Ansar, S.; Saruhan, B.; Schulz, U.; Lettenmeier, P.; Cañas, N.A.; Gazdzicki, P.; Morawietz, T.; Hiesgen, R.; Arnold, J.; et al. Protective coatings on stainless steel bipolar plates for proton exchange membrane (PEM) electrolysers. J. Power Source 2016, 307, 815–825. [Google Scholar] [CrossRef] [Green Version]
- Siracusano, S.; Baglio, V.; Grigoriev, S.; Merlo, L.; Fateev, V.; Arico’, A.S. The influence of iridium chemical oxidation state on the performance and durability of oxygen evolution catalysts in PEM electrolysis. J. Power Source 2017, 366, 105–114. [Google Scholar] [CrossRef]
- Sun, C.; Zhang, H. Investigation of Nafion series membranes on the performance of iron-chromium redox flow battery. Int. J. Energy Res. 2019, 43, 8739–8752. [Google Scholar] [CrossRef]
- Gruger, A.; Régis, A.; Schmatko, T.; Colomban, P. Nanostructure of Nafion® membranes at different states of hydration: An IR and Raman study. Vib. Spectrosc. 2001, 26, 215–225. [Google Scholar] [CrossRef]
- Baker, A.; Mukundan, R.; Spernjak, D.; Judge, E.; Advani, S.; Prasad, A.K.; Borup, R.L. Cerium Migration during PEM Fuel Cell Accelerated Stress Testing. J. Electrochem. Soc. 2016, 163, F1023–F1031. [Google Scholar] [CrossRef]
- Baker, A.M.; Dumont, J.H.; Mukundan, R.; Advani, S.; Prasad, A.K.; Spernjak, D.; Borup, R.L. The Effects of Cerium Migration on PEM Fuel Cell Performance. ECS Trans. 2017, 80, 643–650. [Google Scholar] [CrossRef]





Publisher’s Note: MDPI stays neutral with regard to jurisdictional claims in published maps and institutional affiliations. |
© 2022 by the authors. Licensee MDPI, Basel, Switzerland. This article is an open access article distributed under the terms and conditions of the Creative Commons Attribution (CC BY) license (https://creativecommons.org/licenses/by/4.0/).
Share and Cite
Pourrahmani, H.; Matian, M.; Van herle, J. Poisoning Effects of Cerium Oxide (CeO2) on the Performance of Proton Exchange Membrane Fuel Cells (PEMFCs). ChemEngineering 2022, 6, 36. https://doi.org/10.3390/chemengineering6030036
Pourrahmani H, Matian M, Van herle J. Poisoning Effects of Cerium Oxide (CeO2) on the Performance of Proton Exchange Membrane Fuel Cells (PEMFCs). ChemEngineering. 2022; 6(3):36. https://doi.org/10.3390/chemengineering6030036
Chicago/Turabian StylePourrahmani, Hossein, Mardit Matian, and Jan Van herle. 2022. "Poisoning Effects of Cerium Oxide (CeO2) on the Performance of Proton Exchange Membrane Fuel Cells (PEMFCs)" ChemEngineering 6, no. 3: 36. https://doi.org/10.3390/chemengineering6030036
APA StylePourrahmani, H., Matian, M., & Van herle, J. (2022). Poisoning Effects of Cerium Oxide (CeO2) on the Performance of Proton Exchange Membrane Fuel Cells (PEMFCs). ChemEngineering, 6(3), 36. https://doi.org/10.3390/chemengineering6030036

