Environmental Behavior of 2,4,6-Trichlorophenol in the Sediment-Overlying Water System with the Presence of Tubificid Worms
Abstract
1. Introduction
2. Materials and Methods
2.1. Experimental Materials
2.2. Simulation Experiment of TCP Environmental Behavior
2.2.1. Experimental Setup
2.2.2. Experimental Procedures
2.3. Analytical Methods
3. Results and Discussion
3.1. Migration and Degradation of TCP
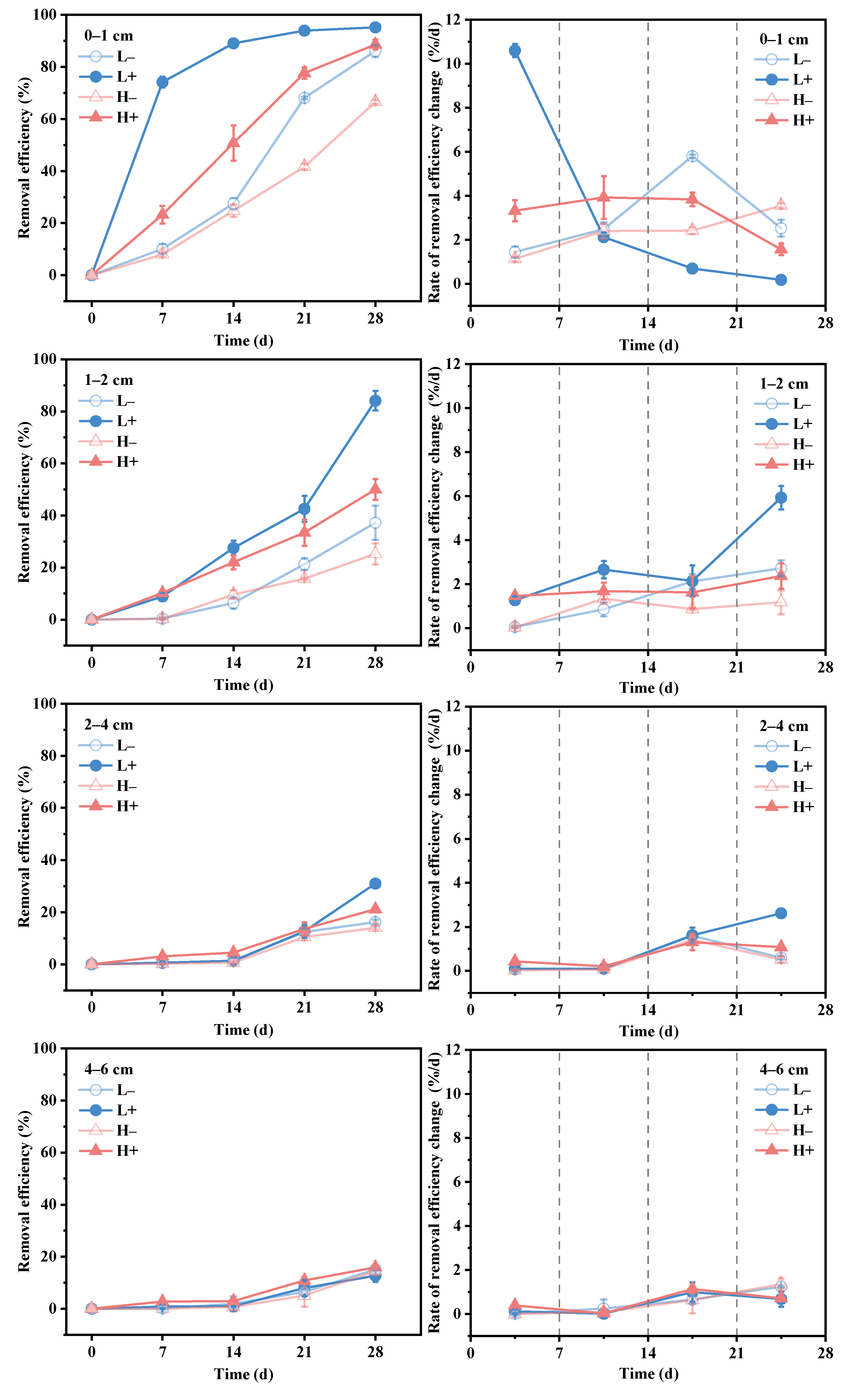
3.1.1. Changes in TCP Concentration in Sediments
3.1.2. Changes in Overlying Water TCP Concentration
3.1.3. Phase Distribution and Degradation Contribution of TCP
3.2. Changes in Physicochemical Properties of Overlying Water and Sediments
3.3. Characteristics of Bacterial Community Changes
3.3.1. Bacterial Community in the Overlying Water
3.3.2. Bacterial Community in Sediment
3.4. Degradation Mechanism of TCP in the Presence of Tubificid Worms
3.4.1. TCP Degradation Process
3.4.2. Key Processes and Mechanisms of Enhanced TCP Degradation
3.5. Environmental Implications
3.6. Study Limitations and Future Research Directions
4. Conclusions
Supplementary Materials
Author Contributions
Funding
Institutional Review Board Statement
Informed Consent Statement
Data Availability Statement
Conflicts of Interest
References
- Conn, K.E.; Spanjer, A.R.; Takesue, R.K. Refining PAH and PCB bioavailability predictions in industrial sediments using source-fingerprinting, particle size, and bulk carbon, puget sound, washington. Mar. Pollut. Bull. 2026, 222, 118634. [Google Scholar] [CrossRef]
- Tian, J.; Hua, X.; Jiang, X.; Dong, D.; Liang, D.; Guo, Z.; Zheng, N.; Huang, X. Effects of tubificid bioturbation on bioaccumulation of cu and zn released from sediment by aquatic organisms. Sci. Total Environ. 2020, 742, 140471. [Google Scholar] [CrossRef]
- Li, Q.; Zhang, C.; Shan, B. Stability of sedimentary organic matter: Insights from molecular and redox analyses. Environ. Sci. Ecotechnol. 2024, 22, 100470. [Google Scholar] [CrossRef] [PubMed]
- Booth, J.M.; Fusi, M.; Marasco, R.; Mbobo, T.; Daffonchio, D. Fiddler crab bioturbation determines consistent changes in bacterial communities across contrasting environmental conditions. Sci. Rep. 2019, 9, 3749. [Google Scholar] [CrossRef] [PubMed]
- Vermeiren, P.; Ikejima, K.; Uchida, Y.; Muñoz, C. Microplastic distribution among estuarine sedimentary habitats utilized by intertidal crabs. Sci. Total Environ. 2023, 866, 161400. [Google Scholar] [CrossRef]
- Zhang, S.; Solan, M.; Tarhan, L. Global distribution and environmental correlates of marine bioturbation. Curr. Biol. 2024, 34, 2580–2593. [Google Scholar] [CrossRef]
- Baxter, T.I.; Coombes, M.A.; Viles, H.A. The bioprotective properties of the blue mussel (Mytilus edulis) on intertidal rocky shore platforms. Mar. Geol. 2022, 445, 106734. [Google Scholar] [CrossRef]
- Sun, N.; Chen, Y.; Xu, S.; Zhang, Y.; Fu, Q.; Ma, L.; Wang, Q.; Chang, Y.; Man, Z. Remobilization and bioavailability of polycyclic aromatic hydrocarbons from estuarine sediments under the effects of Nereis diversicolor bioturbation. Environ. Pollut. 2018, 242, 931–937. [Google Scholar] [CrossRef] [PubMed]
- Hou, Y.; Li, B.; Feng, G.; Zhang, C.; He, J.; Li, H.; Zhu, J. Responses of bacterial communities and organic matter degradation in surface sediment to Macrobrachium nipponense bioturbation. Sci. Total Environ. 2021, 759, 143534. [Google Scholar] [CrossRef]
- Gautreau, E.; Volatier, L.; Nogaro, G.; Gouze, E.; Marmonier, P.; Mermillod Blondin, F. Interactions between microbial activity and bioturbation modes of benthic invertebrates determine nutrient releases from reservoir sediments. Freshw. Biol. 2023, 68, 245–259. [Google Scholar] [CrossRef]
- Sebteoui, K.; Milošević, D.; Stanković, J.; Baranov, V.; Jovanović, B.; Krause, S.; Csabai, Z. Beneath the surface: Decoding the impact of Chironomus riparius bioturbation on microplastic dispersion in sedimentary matrix. Sci. Total Environ. 2024, 919, 170844. [Google Scholar] [CrossRef] [PubMed]
- Maestre, Z.; Martinez-Madrid, M.; Rodriguez, P. Monitoring the sensitivity of the oligochaete Tubifex tubifex in laboratory cultures using three toxicants. Ecotoxicol. Environ. Saf. 2009, 72, 2083–2089. [Google Scholar] [CrossRef] [PubMed]
- Yang, J.; Zhang, Y.; Jan Van Groenigen, K.; Liao, Z.; Wang, D.; Yu, H.; Yan, X.; Zhu, L.; Zhao, J.; Liu, L.; et al. Enhancement of nitrogen removal by Tubifex tubifex in saturated vertical flow constructed wetlands under antibiotic stress. J. Environ. Manag. 2025, 394, 127598. [Google Scholar] [CrossRef] [PubMed]
- Chakraborty, A.; Saha, G.K.; Aditya, G. Macroinvertebrates as engineers for bioturbation in freshwater ecosystem. Environ. Sci. Pollut. Res. 2022, 29, 64447–64468. [Google Scholar] [CrossRef] [PubMed]
- Farrell, E.M.; Neumann, A.; Beermann, J.; Wrede, A. Raised water temperature enhances benthopelagic links via intensified bioturbation and benthos-mediated nutrient cycling. PeerJ 2024, 12, e17047. [Google Scholar] [CrossRef] [PubMed]
- Li, Y.; Hua, X.; Zheng, F.; Dong, D.; Liang, D.; Guo, Z. Effects of tubificid bioturbation on pore structures in sediment and the migration of sediment particles. Environ. Sci. Pollut. Res. 2016, 23, 8064–8075. [Google Scholar] [CrossRef] [PubMed]
- Cariou, M.; Francois, C.M.; Voisin, J.; Pigneret, M.; Hervant, F.; Volatier, L.; Mermillod-Blondin, F. Effects of bioturbation by tubificid worms on biogeochemical processes, bacterial community structure and diversity in heterotrophic wetland sediments. Sci. Total Environ. 2021, 795, 148842. [Google Scholar] [CrossRef] [PubMed]
- Palmer, J.; Bugnot, A.B.; Filippini, G.; Gribben, P.E.; Varkey, D.; Erickson, K.; Dafforn, K.A. The influence of bioturbator activity on sediment bacterial structure and function is moderated by environment. Mar. Environ. Res. 2024, 201, 106702. [Google Scholar] [CrossRef] [PubMed]
- Gilbertson, W.W.; Solan, M.; Prosser, J.I. Differential effects of microorganism–invertebrate interactions on benthic nitrogen cycling. FEMS Microbiol. Ecol. 2012, 82, 11–22. [Google Scholar] [CrossRef] [PubMed]
- Tous Rius, A.; Denis, L.; Dauvin, J.; Spilmont, N. Macrobenthic diversity and sediment-water exchanges of oxygen and ammonium: Example of two subtidal communities of the Eastern English Channel. J. Sea Res. 2018, 136, 15–27. [Google Scholar] [CrossRef]
- Zada, A.; Qu, Y.; Ali, S.; Sun, N.; Lu, H.; Yan, R.; Zhang, X.; Jing, L. Improved visible-light activities for degrading pollutants on TiO2/g-C3N4 nanocomposites by decorating SPR Au nanoparticles and 2,4-dichlorophenol decomposition path. J. Hazard. Mater. 2018, 342, 715–723. [Google Scholar] [CrossRef] [PubMed]
- Yu, M.; Yang, J.; Chen, J.; Luo, H.; Ma, H.; Pu, S. Enhancement of 2,4,6-trichlorophenol degradation in groundwater via natural pyrite-activated percarbonate: Mechanistic insights and efficiency evaluation. J. Environ. Chem. Eng. 2025, 13, 116048. [Google Scholar] [CrossRef]
- Garba, Z.N.; Zhou, W.; Lawan, I.; Xiao, W.; Zhang, M.; Wang, L.; Chen, L.; Yuan, Z. An overview of chlorophenols as contaminants and their removal from wastewater by adsorption: A review. J. Environ. Manag. 2019, 241, 59–75. [Google Scholar] [CrossRef]
- Alkhuraiji, T.S.; Alkhuraiji, W.S. Detailed study of water radiolysis-based degradation of chloroorganic pollutants in aqueous solutions. J. Hazard. Mater. 2019, 368, 569–577. [Google Scholar] [CrossRef]
- Singh, S.; Garg, A. Performance of photo-catalytic oxidation for degradation of chlorophenols: Optimization of reaction parameters and quantification of transformed oxidized products. J. Hazard. Mater. 2019, 361, 73–84. [Google Scholar] [CrossRef]
- Czaplicka, M. Sources and transformations of chlorophenols in the natural environment. Sci. Total Environ. 2004, 322, 21–39. [Google Scholar] [CrossRef]
- Yadav, S.; Kumar, S.; Haritash, A.K. A comprehensive review of chlorophenols: Fate, toxicology and its treatment. J. Environ. Manag. 2023, 342, 118254. [Google Scholar] [CrossRef]
- Igbinosa, E.O.; Odjadjare, E.E.; Chigor, V.N.; Igbinosa, I.H.; Emoghene, A.O.; Ekhaise, F.O.; Igiehon, N.O.; Idemudia, O.G. Toxicological profile of chlorophenols and their derivatives in the environment: The public health perspective. Sci. World J. 2013, 2013, 460215. [Google Scholar] [CrossRef] [PubMed]
- Tang, Y.; Chen, J.; Xiao, Z.; Liu, Z.; Xu, L.; Qin, Q.; Wang, Y.; Xu, Y. Humin and biochar accelerated microbial reductive dechlorination of 2,4,6-trichlorophenol under weak electrical stimulation. Sci. World J. 2022, 439, 129671. [Google Scholar] [CrossRef] [PubMed]
- Da Cunha, A.S.; Dos, S.; Vianna, A., Jr.; Laurenti, E. Modeling and simulation of the enzymatic degradation of 2,4,6-trichlorophenol using soybean peroxidase. Braz. J. Chem. Eng. 2021, 38, 719–730. [Google Scholar] [CrossRef]
- Deng, Z.; Chen, H.; Wang, J.; Zhang, N.; Han, Z.; Xie, Y.; Zhang, X.; Fang, X.; Yu, H.; Zhang, D.; et al. Marine dehalogenator and its chaperones: Microbial duties and responses in 2,4,6-trichlorophenol dechlorination. Environ. Sci. Technol. 2023, 57, 11300–11312. [Google Scholar] [CrossRef]
- Li, X.; Wang, J.; Jin, H.; Cui, Y.; Zhong, H.; Zhou, T.; Yan, J. Complete genome sequence of Dehalobacter sp. strain CP, an organohalide-respiring anaerobe from a chlorophenol-dechlorinating consortium. Microbiol. Resour. Announc. 2025, 14, e0009225. [Google Scholar] [CrossRef]
- Lin, M.; Pan, C.; Qian, C.; Tang, F.; Zhao, S.; Guo, J.; Zhang, Y.; Song, J.; Rittmann, B.E. Core taxa, co-occurrence pattern, diversity, and metabolic pathways contributing to robust anaerobic biodegradation of chlorophenol. Environ. Res. 2024, 241, 117591. [Google Scholar] [CrossRef] [PubMed]
- Wang, F.; Zhou, Y.; Weng, X.; Wang, L.; Gao, S.; Zhao, Y.; Zhan, W.; Guo, Y.; Dai, Q. Oxygen vacancies engineering of Co3O4 to modulate the adjacent environment: Boosted singlet oxygen generation in peroxymonosulfate-mediated 2-chlorophenol degradation. Environ. Sci. Technol. 2025, 59, 20792–20804. [Google Scholar] [CrossRef] [PubMed]
- Yang, K.; Zhao, Y.; Ji, M.; Li, Z.; Zhai, S.; Zhou, X.; Wang, Q.; Wang, C.; Liang, B. Challenges and opportunities for the biodegradation of chlorophenols: Aerobic, anaerobic and bioelectrochemical processes. Water Res. 2021, 193, 116862. [Google Scholar] [CrossRef]
- Wang, Q.; Liang, E.; Liu, X.; Niu, J.; Wu, Y.; Zhao, Y. Bio-promoter-driven conversion of 4-chlorophenol into utilizable carbon source: Enhancing electron supply-consume and attenuating bio-toxicity. Water Res. 2025, 285, 124128. [Google Scholar] [CrossRef]
- Tong, Y.; Li, J.; Cheng, Q.; Gao, C.; Yang, Y.; Tian, S. Enhanced removal of sediment-associated total petroleum hydrocarbons under bioturbation by polychaete Perinereis aibuhitensis. J. Environ. Sci. Health Part A 2019, 54, 391–397. [Google Scholar] [CrossRef]
- Timmermann, K.; Banta, G.T.; Johnsen, A.R.; Andersen, O. Effects of the polychaetes Arenicola marina and Nereis diversicolor on microbial pyrene mineralization. Aquat. Microb. Ecol. 2008, 50, 197–207. [Google Scholar] [CrossRef][Green Version]
- McCall, P.L.; Fisher, J.B. Effects of tubificid oligochaetes on physical and chemical properties of Lake Erie sediments. In Aquatic Oligochaete Biology; Springer: Berlin/Heidelberg, Germany, 1980; pp. 253–254. [Google Scholar]
- Tomei, M.C.; Mosca Angelucci, D.; Ademollo, N.; Daugulis, A.J. Rapid and effective decontamination of chlorophenol-contaminated soil by sorption into commercial polymers: Concept demonstration and process modeling. J. Environ. Manag. 2015, 150, 81–91. [Google Scholar] [CrossRef]
- Schmidt, S.K.; Simkins, S.; Alexander, M. Models for the kinetics of biodegradation of organic compounds not supporting growth. Appl. Environ. Microbiol. 1985, 50, 323–331. [Google Scholar] [CrossRef] [PubMed]
- Gkika, I.S.; Kraak, M.H.S.; van Gestel, C.A.M.; ter Laak, T.L.; van Wezel, A.P.; Hardy, R.; Sadia, M.; Vonk, J.A. Bioturbation affects bioaccumulation: PFAS uptake from sediments by a rooting macrophyte and a benthic invertebrate. Environ. Sci. Technol. 2024, 58, 20607–20618. [Google Scholar] [CrossRef]
- Zhang, S.; Xu, D.; Tian, W.; Lu, Z.; Zhou, Y.; Chu, M.; Zhao, J.; Liu, B.; Cao, H.; Zhang, R.; et al. The effect of bioturbation on the release behavior of polycyclic aromatic hydrocarbons from sediments: A sediment–seawater microcosm experiment combined with a fugacity model. Environ. Pollut. 2024, 349, 123933. [Google Scholar] [CrossRef] [PubMed]
- Qin, G.; Lu, Z.; Gan, S.; Zhang, L.; Wu, J.; Sanders, C.J.; He, Z.; Yu, X.; Zhang, J.; Zhou, J.; et al. Fiddler crab bioturbation stimulates methane emissions in mangroves: Insights into microbial mechanisms. Soil Biol. Biochem. 2024, 194, 109445. [Google Scholar] [CrossRef]
- Dai, H.; Gao, J.; Wang, S.; Li, D.; Wang, Z. The key active degrader, metabolic pathway and microbial ecology of triclosan biodegradation in an anoxic/oxic system. Bioresour. Technol. 2020, 317, 124014. [Google Scholar] [CrossRef]
- Coenye, T.; Henry, D.; Speert, D.P.; Vandamme, P. Burkholderia phenoliruptrix sp. nov., To accommodate the 2,4,5-trichlorophenoxyacetic acid and halophenol-degrading strain AC1100. Syst. Appl. Microbiol. 2004, 27, 623–627. [Google Scholar] [CrossRef]
- Karns, J.S.; Kilbane, J.J.; Duttagupta, S.; Chakrabarty, A.M. Metabolism of halophenols by 2,4,5-trichlorophenoxyacetic acid-degrading Pseudomonas cepacia. Appl. Environ. Microbiol. 1983, 46, 1176–1181. [Google Scholar] [CrossRef] [PubMed]
- Tong, H.; Hu, M.; Li, F.; Chen, M.; Lv, Y. Burkholderiales participating in pentachlorophenol biodegradation in iron-reducing paddy soil as identified by stable isotope probing. Environ. Sci. Process. Impacts 2015, 17, 1282–1289. [Google Scholar] [CrossRef]
- Song, Y.; Jiang, C.; Liang, Z.; Wang, B.; Jiang, Y.; Yin, Y.; Zhu, H.; Qin, Y.; Cheng, R.; Liu, Z.; et al. Casimicrobium huifangae gen. nov., sp. nov., a ubiquitous “most-wanted” core bacterial taxon from municipal wastewater treatment plants. Appl. Environ. Microbiol. 2020, 86, e02209–e02219. [Google Scholar] [CrossRef]
- Li, X.; Yan, P.; Li, L.; Chen, Y.; Chen, Z. Activation of peroxymonosulfate by natural pyrite for effective degradation of 2,4,6-trichlorophenol in water: Efficiency, degradation mechanism and toxicity evaluation. Sep. Purif. Technol. 2023, 322, 124253. [Google Scholar] [CrossRef]
- Teng, W.; Xu, J.; Yu, J.; Cong, S.; Yan, X. Experimental and quantum chemical investigation on the mechanism of photocatalytic degradation of 2,4,6-trichlorophenol by Ag/TiO2 nanotube electrode. J. Electroanal. Chem. 2022, 921, 116662. [Google Scholar] [CrossRef]
- Wang, J.; Shiyi, L. Exploring 2,4,6-trichlorophenol degradation characteristics and functional metabolic gene abundance using sludge fermentation broth as the carbon source. Water 2023, 15, 4279. [Google Scholar] [CrossRef]
- Marsolek, M.D.; Kirisits, M.J.; Rittmann, B.E. Biodegradation of 2,4,5-trichlorophenol by aerobic microbial communities: Biorecalcitrance, inhibition, and adaptation. Biodegradation 2007, 18, 351–358. [Google Scholar] [CrossRef] [PubMed]
- Lagauzère, S.; Motelica-Heino, M.; Viollier, E.; Stora, G.; Bonzom, J.M. Remobilisation of uranium from contaminated freshwater sediments by bioturbation. Biogeosciences 2014, 11, 3381–3396. [Google Scholar] [CrossRef]
- Zhang, L.; Gu, X.; Fan, C.; Shang, J.; Shen, Q.; Wang, Z.; Shen, J. Impact of different benthic animals on phosphorus dynamics across the sediment-water interface. J. Environ. Sci. 2010, 22, 1674–1682. [Google Scholar] [CrossRef]
- Pischedda, L.; Militon, C.; Gilbert, F.; Cuny, P. Characterization of specificity of bacterial community structure within the burrow environment of the marine polychaete Hediste (Nereis) diversicolor. Res. Microbiol. 2011, 162, 1033–1042. [Google Scholar] [CrossRef]
- Quintana, C.O.; Hansen, T.; Delefosse, M.; Banta, G.; Kristensen, E. Burrow ventilation and associated porewater irrigation by the polychaete Marenzelleria viridis. J. Exp. Mar. Biol. Ecol. 2011, 397, 179–187. [Google Scholar] [CrossRef]
- He, Y.; Men, B.; Yang, X.; Li, Y.; Xu, H.; Wang, D. Relationship between heavy metals and dissolved organic matter released from sediment by bioturbation/bioirrigation. J. Environ. Sci. 2019, 75, 216–223. [Google Scholar] [CrossRef]
- Gilbert, F.; Stora, G.; Desrosiers, G.; Deflandre, B.; Bertrand, J.; Poggiale, J.; Gagné, J. Alteration and release of aliphatic compounds by the polychaete Nereis virens (SARS) experimentally fed with hydrocarbons. J. Exp. Mar. Biol. Ecol. 2001, 256, 199–213. [Google Scholar] [CrossRef] [PubMed][Green Version]
- Olaniran, A.O.; Igbinosa, E.O. Chlorophenols and other related derivatives of environmental concern: Properties, distribution and microbial degradation processes. Chemosphere 2011, 83, 1297–1306. [Google Scholar] [CrossRef] [PubMed]
- Arora, P.K.; Bae, H. Bacterial degradation of chlorophenols and their derivatives. Microb. Cell Fact. 2014, 13, 31. [Google Scholar] [CrossRef]
- Mermillod-Blondin, F.; Nogaro, G.; Vallier, F.; Gibert, J. Laboratory study highlights the key influences of stormwater sediment thickness and bioturbation by tubificid worms on dynamics of nutrients and pollutants in stormwater retention systems. Chemosphere 2008, 72, 213–223. [Google Scholar] [CrossRef] [PubMed]
- Ukalska-Jaruga, A.; Bejger, R.; Smreczak, B.; Podlasiński, M. Sorption of organic contaminants by stable organic matter fraction in soil. Molecules 2023, 28, 429. [Google Scholar] [CrossRef]
- Ridall, A.; Maciute, A.; Nascimento, F.J.A.; Bonaglia, S.; Ingels, J. Microplastic-induced shifts in bioturbation and oxygen penetration depth in subtidal sediments. Mar. Pollut. Bull. 2024, 209, 117074. [Google Scholar] [CrossRef]
- Yan, W.; Chen, M.; Liu, L.; Wu, T.; Zhang, Y.; Wang, H.; Xing, X.; Fan, K. Mechanism of phosphorus mobility in sediments with larval (Propsilocerus akamusi) bioturbation. Environ. Sci. Pollut. Res. 2020, 27, 7538–7548. [Google Scholar] [CrossRef]
- Zhu, Q.; Aller, R.C.; Fan, Y. Two-dimensional pH distributions and dynamics in bioturbated marine sediments. Geochim. Geochim. Cosmochim. Acta 2006, 70, 4933–4949. [Google Scholar] [CrossRef]
- Riemann, F.; Schrage, M. Carbon dioxide as an attractant for the free-living marine nematode. Mar. Biol. 1988, 98, 81–85. [Google Scholar] [CrossRef]
- Svensson, J.M.; Enrich-Prast, A.; Leonardson, L. Nitrification and denitrification in a eutrophic lake sediment bioturbated by oligochaetes. Aquat. Microb. Ecol. 2001, 23, 177–186. [Google Scholar] [CrossRef]
- Yang, J.; Wan, Y.; Cao, Z.; Zhang, M.; Zheng, F.; Leng, X.; Zhao, D.; An, S. Enhanced organic matter decomposition in sediment by Tubifex tubifex and its pathway. J. Environ. Manag. 2020, 275, 111281. [Google Scholar] [CrossRef]
- Shen, H.; Jiang, G.; Wan, X.; Li, H.; Qiao, Y.; Thrush, S.; He, P. Response of the microbial community to bioturbation by benthic macrofauna on intertidal flats. J. Exp. Mar. Biol. Ecol. 2017, 488, 44–51. [Google Scholar] [CrossRef]
- Wang, J.; Sun, Z. Exploring the effects of carbon source level on the degradation of 2,4,6-trichlorophenol in the co-metabolism process. J. Hazard. Mater. 2020, 392, 122293. [Google Scholar] [CrossRef] [PubMed]








Disclaimer/Publisher’s Note: The statements, opinions and data contained in all publications are solely those of the individual author(s) and contributor(s) and not of MDPI and/or the editor(s). MDPI and/or the editor(s) disclaim responsibility for any injury to people or property resulting from any ideas, methods, instructions or products referred to in the content. |
© 2026 by the authors. Licensee MDPI, Basel, Switzerland. This article is an open access article distributed under the terms and conditions of the Creative Commons Attribution (CC BY) license.
Share and Cite
Zhang, L.; Dong, D.; Fu, X.; Zhao, Y.; Bao, M.; Hua, X.; Liang, D.; Liu, H. Environmental Behavior of 2,4,6-Trichlorophenol in the Sediment-Overlying Water System with the Presence of Tubificid Worms. Toxics 2026, 14, 314. https://doi.org/10.3390/toxics14040314
Zhang L, Dong D, Fu X, Zhao Y, Bao M, Hua X, Liang D, Liu H. Environmental Behavior of 2,4,6-Trichlorophenol in the Sediment-Overlying Water System with the Presence of Tubificid Worms. Toxics. 2026; 14(4):314. https://doi.org/10.3390/toxics14040314
Chicago/Turabian StyleZhang, Leyuan, Deming Dong, Xinyan Fu, Yu Zhao, Meihan Bao, Xiuyi Hua, Dapeng Liang, and Haiyang Liu. 2026. "Environmental Behavior of 2,4,6-Trichlorophenol in the Sediment-Overlying Water System with the Presence of Tubificid Worms" Toxics 14, no. 4: 314. https://doi.org/10.3390/toxics14040314
APA StyleZhang, L., Dong, D., Fu, X., Zhao, Y., Bao, M., Hua, X., Liang, D., & Liu, H. (2026). Environmental Behavior of 2,4,6-Trichlorophenol in the Sediment-Overlying Water System with the Presence of Tubificid Worms. Toxics, 14(4), 314. https://doi.org/10.3390/toxics14040314
