Assessment of Heavy Metal Pollution in Mangrove Sediments of Liusha Bay, Leizhou Peninsula, China
Abstract
1. Introduction
2. Materials and Methods
2.1. Overview of the Study Area
2.2. Sample Collection and Measurement
2.3. Contamination and Risk Assessment
2.4. Multivariable Statistical Analysis
3. Results
3.1. Concentration Characteristics of Sediment Elements
3.1.1. Major Elements
3.1.2. Trace Elements
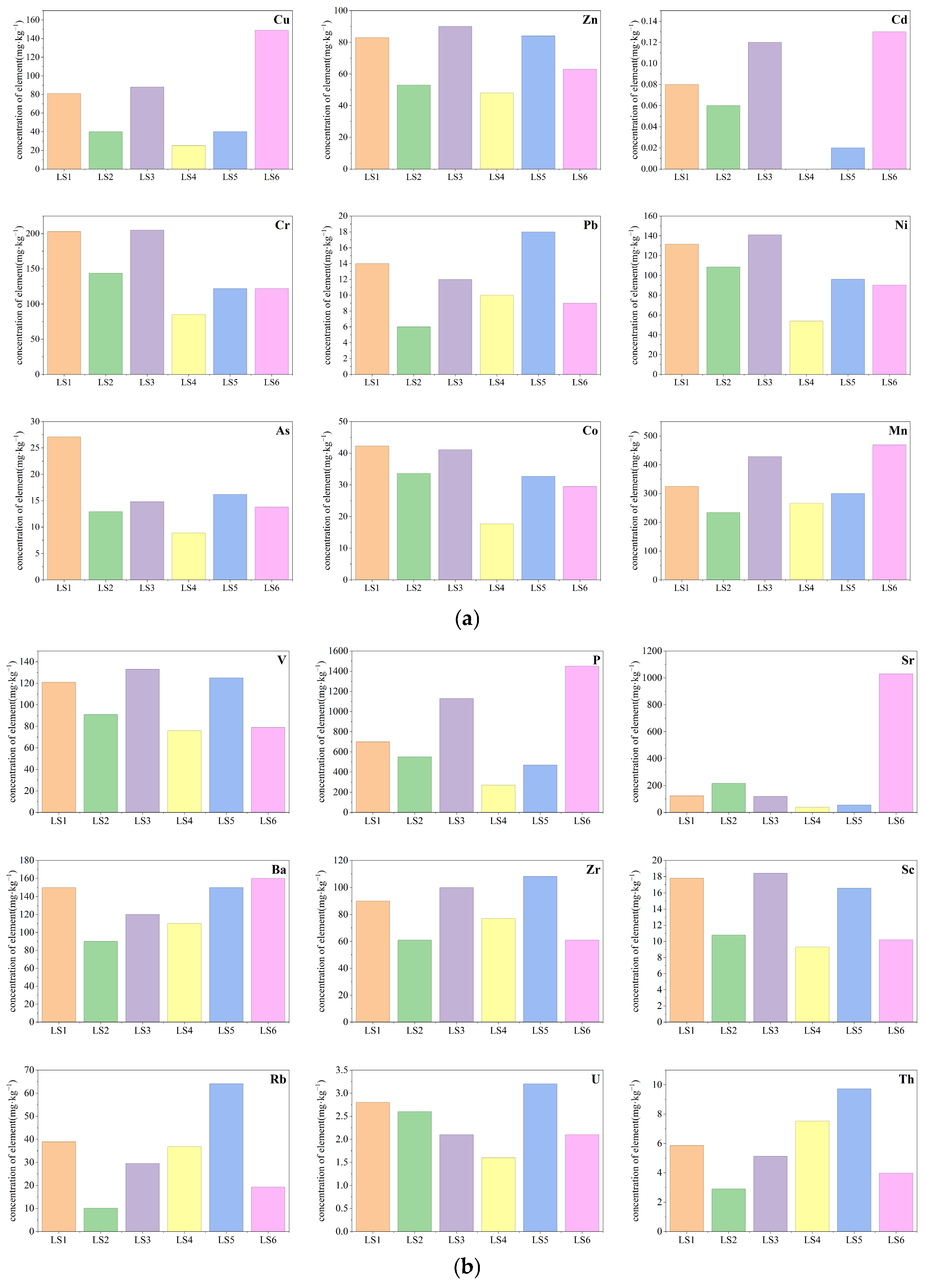
- High-concentration group (average concentration > 200 mg·kg−1). This group contained three elements: P, Mn, and Sr.
- Medium-high-concentration group (average concentration > 100 mg·kg−1). This group contained four elements: Cr, Ba, V, and Ni.
- Medium-concentration group (average concentration 70–83 mg·kg−1). This group contained three elements: Zr, Cu, and Zn. The concentrations of these three elements at most stations were below 100 mg·kg−1.
- Medium-low-concentration group (average concentration 32.8–33.1 mg·kg−1). This group contained two elements: Rb and Co, both with a concentration range of 10–65 mg·kg−1.
- Low-concentration group (average concentration 2.4–16 mg·kg−1). This group contained five elements. Among them, As, Sc, and Pb had an average concentration of 11–16 mg·kg−1 (concentration range 8–30 mg·kg−1); Th and U had an average concentration of 2.4–5.85 mg·kg−1 (concentration range 1–10 mg·kg−1).
- Lowest-concentration group. This group contained only Cd, with a concentration range of 0.02–0.13 mg·kg−1 and an average concentration of merely 0.08 mg·kg−1.
| (a) | |||||||||
| Station | Cu | Zn | Cd | Cr | Pb | Ni | As | Co | Mn |
| LS1 | 81 | 83 | 0.08 | 203 | 14 | 131.5 | 27.1 | 42.3 | 325 |
| LS2 | 40 | 53 | 0.06 | 144 | 6 | 108.5 | 12.9 | 33.6 | 234 |
| LS3 | 88 | 90 | 0.12 | 205 | 12 | 141 | 14.8 | 41.1 | 428 |
| LS4 | 25 | 48 | <0.02 | 85 | 10 | 54 | 8.9 | 17.7 | 266 |
| LS5 | 40 | 84 | 0.02 | 122 | 18 | 96.2 | 16.2 | 32.7 | 300 |
| LS6 | 149 | 63 | 0.13 | 122 | 9 | 90.3 | 13.8 | 29.5 | 469 |
| Mean | 71 | 70 | 0.08 | 147 | 11.5 | 103.6 | 15.6 | 32.8 | 337 |
| S.D. | 46 | 18 | 0.04 | 48 | 4 | 31.3 | 6.1 | 8.9 | 93 |
| MAX | 149 | 90 | 0.13 | 205 | 17.6 | 141 | 27.1 | 42.3 | 469 |
| Min | 25 | 48 | 0.02 | 85 | 6.2 | 54 | 8.9 | 17.7 | 234 |
| upper-crust element concentration [23] | 28 | 67 | 0.09 | 92 | 17 | 47 | 4.8 | 17.3 | 774 |
| (b) | |||||||||
| Station | V | P | Sr | Ba | Zr | Sc | Rb | U | Th |
| LS1 | 121 | 700 | 123 | 150 | 90 | 17.8 | 38.9 | 2.8 | 5.86 |
| LS2 | 91 | 550 | 216 | 90 | 61 | 10.8 | 10.1 | 2.6 | 2.9 |
| LS3 | 133 | 1130 | 119 | 120 | 100 | 18.4 | 29.5 | 2.1 | 5.13 |
| LS4 | 76 | 270 | 39 | 110 | 77 | 9.3 | 36.8 | 1.6 | 7.52 |
| LS5 | 125 | 470 | 55 | 150 | 108 | 16.6 | 64.1 | 3.2 | 9.73 |
| LS6 | 79 | 1450 | 1030 | 160 | 61 | 10.2 | 19.3 | 2.1 | 3.98 |
| Mean | 104 | 762 | 264 | 130 | 83 | 13.9 | 33.1 | 2.4 | 5.85 |
| S.D. | 25 | 444 | 381 | 28 | 20 | 4.2 | 18.7 | 0.6 | 2.47 |
| MAX | 133 | 1450 | 1030 | 160 | 108 | 18.4 | 64.1 | 3.2 | 9.73 |
| Min | 76 | 270 | 39 | 90 | 61 | 9.3 | 10.1 | 1.6 | 2.9 |
| upper-crust element concentration [23] | 97 | 655 | 320 | 628 | 193 | 14 | 84 | 2.7 | 10.5 |
3.1.3. Spatial Distribution Patterns of Typical Heavy Metals
3.2. Pollution Level and Ecological Risk Assessment
3.2.1. Geo-Accumulation Index (Igeo)
- Copper (Cu): Covered three levels, i.e., “uncontaminated”, “slightly”, and “moderately”, accounting for 50%, 16.7%, and 33.3% of the total stations, respectively. This indicates that Cu contamination existed in the study area, and 33.3% of the stations had reached the moderately contaminated level.
- Lead (Pb), Zinc (Zn), and Cadmium (Cd): All stations were at the “uncontaminated” level, indicating that the sediments were not contaminated by Pb, Zn, or Cd.
- Nickel (Ni), Chromium (Cr), and Cobalt (Co): All included two levels, “uncontaminated” and “slightly”. Among them, half of the stations were “uncontaminated” for Cr (with relatively low pollution levels), while 83.3% of the stations were “slightly” for Co and Ni (with relatively high pollution levels).
- Arsenic (As) had the most severe contamination, with 50% of the stations at the “slightly” level and 50% at the “moderately” level. Arsenic contamination existed in all stations, with equal proportions of light and moderate contamination.
3.2.2. Enrichment Factor (EF)
- Arsenic (As): The most severely polluted, with half of the stations at the “moderately” level and the remaining half at the “moderately/heavily” level;
- Copper (Cu): Half of the stations at the “moderately” level, one-third at the “slightly” level, and only Station LS6 at the “moderately/heavily” level;
- Nickel (Ni): All stations had EF values corresponding to the “moderately” level;
- Cobalt (Co): Consistent with the pollution characteristics of Cr, with one-third of the stations at the “slightly” level and the remaining two-thirds at the “moderately” level;
- Chromium (Cr): Consistent with the pollution characteristics of Co, with one-third of the stations at the “slightly” level and the remaining two-thirds at the “moderately” level;
- Zinc (Zn): Relatively less polluted among the eight heavy metals, with all stations having EF values corresponding to the “slightly” level;
- Cadmium (Cd): Relatively less polluted among the eight heavy metals, with one-third of the stations at the “uncontaminated” level, half at the “slightly” level, and one-sixth at the “moderately” level;
- Lead (Pb): The least polluted, with two-thirds of the stations at the “uncontaminated” level and the remaining one-third at the “slightly” level.
3.2.3. Ecological Risk Assessment
3.3. Multivariable Statistical Analysis
3.3.1. Pearson Correlation Analysis Heatmap
3.3.2. Cluster Analysis (CA)
3.3.3. Principal Component Analysis (PCA)
- Principal Component 1 (PC1, variance contribution rate 47.521%) has high positive loadings on Zn, Sc, V, Fe, Al, Na, Zr, Co, Ti, Ni, Pb, Cr, As, Mg, K, S, U, and Rb;
- Principal Component 2 (PC2, variance contribution rate 29.437%) has high positive loadings on Cd, P, Cu, Ca, Sr, Mn, and Mg, and high negative loadings on Th, Rb, and K;
- Principal Component 3 (PC3, variance contribution rate 12.233%) has high positive loadings on Ba and Sr;
- Principal Component 4 (PC4, variance contribution rate 8.257%) has high positive loadings on U, S, and As.
| Variable | Load Factor | |||
|---|---|---|---|---|
| Factor 1 | Factor 2 | Factor 3 | Factor 4 | |
| Zn | 0.987 | 0.069 | 0.058 | −0.118 |
| Sc | 0.986 | −0.059 | −0.148 | −0.047 |
| V | 0.96 | −0.128 | −0.204 | −0.065 |
| Fe | 0.958 | 0.188 | −0.206 | −0.017 |
| Al | 0.944 | −0.272 | 0.093 | −0.123 |
| Na | 0.91 | 0.302 | −0.134 | −0.248 |
| Zr | 0.823 | −0.495 | 0.081 | −0.264 |
| Co | 0.82 | 0.386 | −0.338 | 0.244 |
| Ti | 0.784 | −0.052 | −0.207 | −0.578 |
| Ni | 0.772 | 0.427 | −0.451 | 0.114 |
| Pb | 0.77 | −0.473 | 0.425 | −0.053 |
| Cr | 0.757 | 0.41 | −0.478 | 0.06 |
| As | 0.725 | 0.155 | 0.005 | 0.528 |
| Mg | 0.661 | 0.614 | −0.033 | 0.238 |
| K | 0.649 | −0.616 | 0.398 | −0.127 |
| S | 0.623 | −0.13 | 0.363 | 0.646 |
| U | 0.594 | −0.219 | 0.084 | 0.677 |
| Rb | 0.533 | −0.705 | 0.464 | −0.055 |
| Ba | 0.477 | 0.235 | 0.823 | 0.124 |
| Th | 0.319 | −0.807 | 0.465 | −0.166 |
| Mn | 0.305 | 0.738 | 0.406 | −0.444 |
| Cd | 0.291 | 0.947 | −0.022 | −0.123 |
| P | 0.194 | 0.911 | 0.248 | −0.235 |
| Cu | 0.162 | 0.894 | 0.404 | −0.089 |
| Ca | −0.233 | 0.849 | 0.448 | 0.118 |
| Sr | −0.304 | 0.784 | 0.521 | 0.062 |
| Eigenvalue | 12.355 | 7.654 | 3.181 | 2.147 |
| Percentage of Variance (%) | 47.521 | 29.437 | 12.233 | 8.257 |
| Cumulative (%) | 47.521 | 76.958 | 89.191 | 97.448 |

3.4. Heavy Metal Speciation Characteristics
4. Discussion
4.1. Heavy Metal Pollution Comparison
4.1.1. Comparison with Sediments from Other Regions in Liusha Bay
| Location | Cu | Pb | Ni | As | Cr | Zn | Cd | Co | Survey Time | Reference |
|---|---|---|---|---|---|---|---|---|---|---|
| Liusha Bay mangrove sediments (n = 6) | 71 | 12 | 104 | 16 | 147 | 70 | 0.08 | 33 | 2024 | This study |
| Liusha Bay sediments (n = 14) | 10 | 62 | - | - | 23 | 87 | 0.5 | - | 2008 | [17] |
| Liusha Bay shellfish aquaculture area sediments (n = 3) | 17 | 24 | - | 10 | 23 | 72 | 0.19 | - | 2008~2009 | [30] |
| Liusha Bay seagrass bed area sediments | 3 | 2 | 7 | - | 14 | 17 | 0.03 | - | 2017~2018 | [13] |
| Liusha Bay adjacent sea area sediments (n = 2) | 7 | 13 | - | 5 | 30 | 25 | 0.03 | - | 2010 | [31] |
4.1.2. Comparison with Mangrove Sediments in the Leizhou Peninsula
| Location | Cu | Pb | Ni | As | Cr | Zn | Cd | Co | Survey Time | Reference |
|---|---|---|---|---|---|---|---|---|---|---|
| Liusha Bay mangrove sediments (n = 6) | 71 | 12 | 104 | 16 | 147 | 70 | 0.08 | 33 | 2024 | This study |
| Jinsha Bay (n = 8) | 12 | 9 | 7 | 4 | 26 | 26 | 0.06 | - | 2020 | [15] |
| Seaside Viewing Corridor, Xiashan (n = 8) | 12 | 10 | 8 | 4 | 31 | 46 | 0.13 | - | 2020 | [15] |
| Nansan Island (n = 5) | 28 | 19 | 8 | 7 | 22 | 68 | 0.03 | - | - | [37] |
| Donghai Island (n = 7) | 12 | 27 | 17 | 13 | 44 | 60 | 0.04 | - | 2017 | [38] |
| Gaoqiao (n = 5) | 17 | 38 | 16 | 59 | 81 | 0.14 | - | 2021 | [15] | |
| Jiuzhou river (n = 6) | 18 | 55 | 16 | 54 | 79 | 0.43 | - | 2021 | [15] | |
| Nanshan Town, Xuwen (n = 5) | 43 | 29 | 75 | 15 | 119 | 104 | 0.05 | - | 2017 | [39] |
| Leizhou Peninsula mangrove sediments (n = 52) | 14 | 21 | 16 | 10 | 37 | 51 | 0.06 | 7 | 2015~2016 | [40] |
4.1.3. Comparison with Mangrove Sediments from Other Regions in China
| Location | Cu | Pb | Ni | As | Cr | Zn | Cd | Co | Survey Time | Reference | |
|---|---|---|---|---|---|---|---|---|---|---|---|
| Liusha Bay mangrove sediments (n = 6) | 71 | 12 | 104 | 16 | 147 | 70 | 0.08 | 33 | 2024 | This study | |
| The Pearl River Delta region | Nansha, Guangzhou (n = 6) | 56 | 53 | 39 | - | 71 | 328 | 0.7 | - | 2021 | [43] |
| Haiou Island, Guangzhou (n = 6) | 92 | 90 | 70 | - | 113 | 306 | 1.6 | - | 2021 | [43] | |
| Qi’ao Island, Zhuhai (n = 6) | 78 | 50 | 45 | - | 84 | 333 | 0.6 | - | 2021 | [43] | |
| Futian, Shenzhen (n = 6) | 80 | 52 | 30 | - | 58 | 158 | 0.4 | - | 2021 | [43] | |
| Hainan Province | Dongzhaigang (n = 3) | 20 | 18 | 27 | 6 | 45 | 47 | 0.08 | 15 | 2009 | [44] |
| Qinglangang (n = 3) | 21 | 18 | 15 | 16 | 31 | 39 | 0.17 | 7 | 2009 | [44] | |
| Xinying Port (n = 3) | 11 | 11 | 16 | 11 | 44 | 31 | 0.03 | 11 | 2009 | [44] | |
| Bamen Bay (n = 6) | 24 | 11 | - | - | 61 | 54 | 1.11 | - | 2014 | [45] | |
| Lingshui (n = 16) | 8 | 9 | - | 7 | 16 | - | - | - | - | [46] | |
| Guangxi Zhuang Autonomous Region | Beihai (n = 30) | 9 | 21 | 7 | 15 | - | 27 | 0.22 | 2 | 2023 | [47] |
| Pearl Bay (n = 13) | 11 | 14 | 7 | 7 | 24 | 28 | 0.07 | - | 2021 | [48] | |
| Maowei Sea (n = 63) | 25 | 18 | 9 | 12 | 30 | 60 | 0.34 | - | 2012 | [49] | |
| Fujian Province | Jiulong River Estuary (n = 5) | 42 | 59 | 14 | - | - | 368 | 3.19 | - | 2003 | [50] |
| Zhangjiang Estuary (n = 6) | 36 | 70 | 18 | - | - | 160 | 0.36 | - | 2004 | [51] | |
| Chinese mangrove sediments (n = 97) | 23 | 76 | - | 8 | 18 | 86 | 0.21 | - | 2006~2007 | [52] | |
4.2. Sources of Heavy Metals
4.2.1. Element Group I (Corresponding to PC1, Variance Contribution Rate ~50%)
- Element Subgroup I1 (Ti, Fe, Na, Zn, V, Sc, Al, Zr): Ti, Al, Zr, and Sc are typical indicators of terrigenous detritus. For example, Zr is mainly hosted in heavy minerals (e.g., zircon) and forms detritus through transport and deposition; Al is widely present in clay minerals. These terrigenous elements accumulate in coastal sediments through geological processes such as weathering, erosion, transport, and deposition [49,50].
- Element Subgroup I2 (Mg, As, Cr, Ni, Co): Mg, Cr, and Ni are mainly derived from the erosion and release of magmatic rocks such as basalt and ultramafic rocks [53,54]. Heavy metal speciation analysis shows that Zn, Cr, As, and Ni are dominated by the residual fraction (accounting for over 70% each), indicating that these four elements are mainly hosted in geochemically stable terrigenous minerals.
4.2.2. Element Group III (Corresponding to PC2, Variance Contribution Rate ~30%)
- Element Subgroup III1 (Ca, Sr): Ca is a characteristic element of marine-derived sediments, representing calcareous biological deposition; Sr is a biophilic element, often enriched in biological shells and debris.
- Element Subgroup III2 (Cu, P, Mn, Cd): These elements, together with Ca and Sr, belong to the biological source group—Cu, P, and Mn are essential biological elements, while Cd is non-essential; all may originate from the enrichment and redeposition processes of calcareous organisms [57,58]. Pearson correlation analysis shows that Cu is significantly correlated with Ca, Cd, Mn, Sr, and P, further confirming the consistency of their sources. In heavy metal speciation analysis, the carbonate-bound fraction of Cu accounts for 9% and the organic-bound fraction accounts for 31% (both the highest among all heavy metals), also indicating its biological source characteristics.
- Element Subgroup III3 (Ba only): Ba also has biological source characteristics [58].
- Mangrove areas in northern Hainan Island also have biological deposition dominated by Ca and P [44]. Previous surveys on bivalves and benthic gastropods in Liusha Bay show significant Cd enrichment in these organisms, indicating Cd pollution in Liusha Bay [59]. Although there are few industrial enterprises around the study area, shipping and related operations are frequent—ship paints contain heavy metals such as Cu, Zn, Pb, and Cd; after paint peeling and release, these metals may be enriched by calcareous organisms and deposited, thereby causing pollution [9,42].
4.2.3. Element Group II (Including K, Rb, Pb, Th, S, U)
5. Conclusions
Author Contributions
Funding
Institutional Review Board Statement
Informed Consent Statement
Data Availability Statement
Conflicts of Interest
Appendix A


Appendix B




Appendix C








References
- Burnside, W. Lost mangrove diversity. Nat. Sustain. 2018, 1, 11. [Google Scholar] [CrossRef]
- Lovelock, C.E.; Bennion, V.; de Oliveira, M.; Hagger, V.; Hill, J.W.; Kwan, V.; Pearse, A.L.; Rossini, R.A.; Twomey, A.J. Mangrove ecology guiding the use of mangroves as nature-based solutions. J. Ecol. 2024, 112, 2510–2521. [Google Scholar] [CrossRef]
- Weis, J.S. More Reasons to Value Mangroves. BioScience 2016, 66, 97. [Google Scholar] [CrossRef][Green Version]
- Yan, Z.; Sun, X.; Xu, Y.; Zhang, Q.; Li, X. Accumulation and Tolerance of Mangroves to Heavy Metals: A Review. Curr. Pollut. Rep. 2017, 3, 302–317. [Google Scholar] [CrossRef]
- Hu, B.; Guo, P.; Wu, Y.; Deng, J.; Su, H.; Li, Y.; Nan, Y. Study of soil physicochemical properties and heavy metals of a mangrove restoration wetland. J. Clean. Prod. 2021, 291, 125965. [Google Scholar] [CrossRef]
- Sandilyan, S.; Kathiresan, K. Decline of mangroves—A threat of heavy metal poisoning in Asia. Ocean Coast. Manag. 2014, 102, 161–168. [Google Scholar] [CrossRef]
- Ur Rahman, S.; Han, J.-C.; Zhou, Y.; Ahmad, M.; Li, B.; Wang, Y.; Huang, Y.; Yasin, G.; Ansari, M.J.; Saeed, M.; et al. Adaptation and remediation strategies of mangroves against heavy metal contamination in global coastal ecosystems: A review. J. Clean. Prod. 2024, 441, 140868. [Google Scholar] [CrossRef]
- Wang, T.; Yang, C.; Wang, C.; Liao, Y.; Mkuye, R.; Deng, Y. Bacterial community profiling associated with pearl culture facilities of Liusha Bay, the largest marine pearl culture base on the western Guangdong coast, South China. Mar. Environ. Res. 2023, 189, 106063. [Google Scholar] [CrossRef]
- Yang, G.; Sun, X.; Song, Z. Trophic level and heavy metal pollution of Sardinella albella in Liusha Bay, Beibu Gulf of the South China Sea. Mar. Pollut. Bull. 2020, 156, 111204. [Google Scholar] [CrossRef]
- Guo, X.; Song, S.; Chen, L.; Zhang, C.; Ye, S.; Ding, Y.; Gou, R.; Huang, X.; Lv, S.; Saintilan, N.; et al. Ecological connectivity between mangroves and seagrasses increases sediment blue carbon storage. Estuar. Coast. Shelf Sci. 2025, 318, 109231. [Google Scholar] [CrossRef]
- Huang, S.; Hu, H.-N.; Shi, R.; Yang, X.; Yu, W.; Deng, W. Valuation of ecosystem services of seagrass bed in Liusha Bay of Guangdong Province. Wetl. Sci. Manag. 2023, 19, 33–37. [Google Scholar] [CrossRef]
- Li, Y. The Annual Changes of Epiphytes and Their Effects on the Physiological and Biochemical Characteristics of Halophila Ovalis at Liusha Bay. Master’s Thesis, Guangdong Ocean University, Zhanjiang, China, 2016. [Google Scholar]
- Zhang, L.; Ni, Z.; Cui, L.; Li, J.; He, J.; Jiang, Z.; Huang, X. Heavy metal accumulation and ecological risk on four seagrass species in South China. Mar. Pollut. Bull. 2021, 173, 113153. [Google Scholar] [CrossRef] [PubMed]
- Li, F.; Lin, J.-Q.; Liang, Y.-Y.; Gan, H.-Y.; Zeng, X.-Y.; Duan, Z.-P.; Liang, K.; Liu, X.; Huo, Z.-H.; Wu, C.-H. Coastal surface sediment quality assessment in Leizhou Peninsula (South China Sea) based on SEM–AVS analysis. Mar. Pollut. Bull. 2014, 84, 424–436. [Google Scholar] [CrossRef] [PubMed]
- Ma, X.; Song, Z.; Wang, Y.-P.; Wang, S.; Zhan, Z.-W.; He, D. Heavy metal dynamics in riverine mangrove systems: A case study on content, migration, and enrichment in surface sediments, pore water, and plants in Zhanjiang, China. Mar. Environ. Res. 2025, 203, 106832. [Google Scholar] [CrossRef]
- Li, X.; Sun, H.; Sun, X.; Zhang, Y.; Shi, Y.; Zhang, J. Temporal and spatial distribution of total organic carbon in Liusha Bay and the influence factors investigation. Mar. Sci. 2012, 36, 61–69. [Google Scholar]
- Zhang, J.; Liu, J.; Zhang, Y.; Chen, C.; Sun, S. Variation Features and Potential Ecological Assessment of Heavy Metals in Liusha Bay. Environ. Sci. Technol. 2011, 34, 5. [Google Scholar]
- Shen, Y.; Li, Z.; Huang, S.; Zhu, C.; Wu, Z.; Du, X. Analysis on the aquaculture structure and distribution in the Liusha Bay sea area. Chin. Fish. Econ. 2010, 28, 105–109. [Google Scholar]
- Tang, Q.; Wang, Y. Characteristics and distribution pattern of mangrove community in the Leizhou Peninsula. Ecol. Sci. 2021, 40, 23–32. [Google Scholar]
- ISO 11466; Soil Quality-Extraction of Trace Elements Soluble in Aqua Regia. International Organization for Standardization: Geneva, Switzerland, 1995.
- Muller, G. Index of geoaccumulation in sediments of the Rhine river. GeoJournal 1969, 2, 108–118. [Google Scholar]
- Li, G.; Chen, R.; Li, Z.; Wu, X.; Xiang, K.; Wang, C.; Peng, Y. Ecological Risk and Human Health Assessment of Heavy Metals in Sediments of Datong Lake. Toxics 2025, 13, 560. [Google Scholar] [CrossRef]
- Hans Wedepohl, K. The composition of the continental crust. Geochim. Cosmochim. Acta 1995, 59, 1217–1232. [Google Scholar] [CrossRef]
- Ergin, M.; Saydam, C.; Baştürk, Ö.; Erdem, E.; Yörük, R. Heavy metal concentrations in surface sediments from the two coastal inlets (Golden Horn Estuary and İzmit Bay) of the northeastern Sea of Marmara. Chem. Geol. 1991, 91, 269–285. [Google Scholar] [CrossRef]
- Hakanson, L. An ecological risk index for aquatic pollution control.a sedimentological approach. Water Res. 1980, 14, 975–1001. [Google Scholar] [CrossRef]
- Wang, M.; Chen, Q.; Cui, J.; Yu, Z.; Wang, W.; Sun, Z.; Chen, Q. Distribution, ecological risk, and sediment-influencing mechanisms of heavy metals in surface sediments along the intertidal gradient in typical mangroves in Hainan, China. Mar. Pollut. Bull. 2024, 206, 116677. [Google Scholar] [CrossRef]
- Berman, J.J. Chapter 4—Understanding Your Data. In Data Simplification; Berman, J.J., Ed.; Morgan Kaufmann: Boston, MA, USA, 2016; pp. 135–187. [Google Scholar]
- Nielsen, F. Hierarchical Clustering. In Introduction to HPC with MPI for Data Science; Springer International Publishing: Cham, Switzerland, 2016; pp. 195–211. [Google Scholar]
- Kurita, T. Principal Component Analysis (PCA). In Computer Vision: A Reference Guide; Springer International Publishing: Cham, Switzerland, 2019; pp. 1–4. [Google Scholar]
- Wang, Z.; Ke, C.; Wang, X.; Li, L. Marine environmental quality assessment of shellfish culture in Liusha Bay. South China Fish. Sci. 2011, 7, 7. [Google Scholar] [CrossRef]
- Zhuang, Y. Study on Distribution Characteristic and Chemical Forms of Heavy Metals in Inshore Sediment of Leizhou Peninsula. Master’s Thesis, Guangdong Ocean University, Zhanjiang, China, 2011. [Google Scholar]
- Zhang, R.; Zhou, L.; Zhang, F.; Ding, Y.; Gao, J.; Chen, J.; Yan, H.; Shao, W. Heavy metal pollution and assessment in the tidal flat sediments of Haizhou Bay, China. Mar. Pollut. Bull. 2013, 74, 403–412. [Google Scholar] [CrossRef]
- Zhu, X.; Wang, S.; Chen, E. Study on soil geochemical reference value in Leizhou Peninsula. East China Geol. Huadong Dizhi 2021, 42, 429–437. [Google Scholar] [CrossRef]
- Mendiguchía, C.; Moreno, C.; Mánuel-Vez, M.P.; García-Vargas, M. Preliminary investigation on the enrichment of heavy metals in marine sediments originated from intensive aquaculture effluents. Aquaculture 2006, 254, 317–325. [Google Scholar] [CrossRef]
- Luo, Z.; Zhu, C.; Guo, Y.; Su, L.; Li, J.; Ou, Y. Distribution characteristics of C, N and P in Liusha Bay surface sediment and their pollution assessment. South China Fish. Sci. 2014, 10, 1–8. [Google Scholar]
- Su, J.; Zhu, C.; Li, J.; Li, T.; Chen, S.; Xie, X.; Zhang, B. Phytoplankton Community Characteristics in Different Seasons and Their Relationship with Aquaculture in Liusha Bay. Yuye Kexue Jinzhan 2018, 39, 11–23. [Google Scholar]
- Luo, S.; Li, Q.; Qiu, J.; Deng, S.; Li, Y.; Chen, B. Speciation characteristics, migration and transformation of heavy metals in mangrove soil-plant System in Nansan Island. Ecol. Environ. Sci. 2022, 31, 1409–1416. [Google Scholar] [CrossRef]
- Luo, S.; Wang, J.; Zhou, M.; Ye, J.; Ke, S.; Chen, D.; Lai, X. Spatial distribution and ecological risk assessment of heavy metals in the surface soils of mangrove wetland in Donghai Island, Zhanjiang. Ecol. Environ. Sci. 2018, 27, 9. [Google Scholar] [CrossRef]
- Luo, S.; Liang, Y.; Chen, B.; Lin, M.; Liang, J.; Qiu, J. Accumulation and Migration of Heavy Metals in Mangrove Sediments and Plants in the Nanshan Town, Xuwen. Trop. Geogr. 2019, 39, 10. [Google Scholar] [CrossRef]
- Chen, B.; Su, W.; Luo, S.; Mo, Y.; Liu, C. Distribution characteristics and source analysis of heavy metals in soils from mangrove forest in Leizhou Penisula. Mar. Environ. Sci. 2018, 37, 922–928. [Google Scholar]
- Tang, D.; Luo, S.; Deng, S.; Huang, R.; Chen, B.; Deng, Z. Heavy metal pollution status and deposition history of mangrove sediments in Zhanjiang Bay, China. Front. Mar. Sci. 2022, 9, 989584. [Google Scholar] [CrossRef]
- Tang, D.; Li, Q.; Li, Q. Research Progress on Source of Heavy Metals in Sediment of Mangrove Wetlands in Zhanjiang City. J. Anhui Agric. Sci. 2023, 51, 5–9. [Google Scholar] [CrossRef]
- Zhou, H.-Z.; Wang, J.-F.; Jiang, H.-M.; Cai, Z.-X.; Tang, G.-H.; Ding, S.; Liu, S.-T.; Xu, Z.-M. Distribution fractions and potential ecological risk assessment of heavy metals in mangrove sediments of the Greater Bay Area. Environ. Sci. Pollut. Res. 2023, 30, 45859–45871. [Google Scholar] [CrossRef]
- Wang, J. Study on the Elements Geochemistry Characteristics of Sediments in Mangrove Areas in Northern Hainan Island. Master’s Thesis, Hainan Normal University, Haikou, China, 2011. [Google Scholar]
- Fu, X. Research on the Characteristicsof Bioavailable form and the Occurrence State of Heavy Metals in the Sedimentsof Mangrove Wetland in Bamenwan Areas, Hainan Island. Master’s Thesis, Hainan Normal University, Haikou, China, 2017. [Google Scholar]
- Fu, K.; Long, J.; Chen, Z.; Ding, W.; Huang, Z. Spatial Distribution and Pollution Characteristics of Heavy Metals in Surface Sediments of Lingshui, Xinying Mangrove and Seagrass Wetlands. Guangxi Sci. 2023, 30, 277–290. [Google Scholar] [CrossRef]
- Qin, W. Enrichment Effects, Driving Processes and Main Tolerance Mechanisms of Heavy Metal in Mangrove Forests: Case Study of Xiaoguansha Mangrove Areas in the Beihai City, Guangxi Province of China. Master’s Thesis, Guangxi University, Nanning, China, 2024. [Google Scholar]
- Zhang, X.; Yang, Y.; Yan, K.; Pang, G. Distribution and evaluation of heavy metals in sediments of Zhenzhu Bay mangrove wetland in Guangxi. Geol. Surv. China 2022, 9, 104–110. [Google Scholar] [CrossRef]
- Geng, J.; Huang, L.; Wu, Z.; Zhu, Z.; Chang, T.; Wu, W.; Xiong, L. The distribution of heavy metals in surface sediments of the mangrove of Maowei Gulf. Ecol. Sci. 2015, 34, 38–43. [Google Scholar]
- Liu, J. Studies on Environmental Geochemistry of Heavy Metals in Mangrove Wetland Sediments of Fujian Province. Ph.D. Thesis, Xiamen University, Xiamen, China, 2006. [Google Scholar]
- Li, L. Heavy Metals in the Mangrove Wetland of China. Master’s Thesis, Xiamen University, Xiamen, China, 2009. [Google Scholar]
- Gopalakrishnan, G.; Wang, S.; Mo, L.; Zou, J.; Zhou, Y. Distribution determination, risk assessment, and source identification of heavy metals in mangrove wetland sediments from Qi’ao Island, South China. Reg. Stud. Mar. Sci. 2020, 33, 100961. [Google Scholar] [CrossRef]
- Chen, Y.; Weng, L.; Ma, J.; Wu, X.; Li, Y. Review on the last ten years of research on source identification of heavy metal pollution in soils. J. Agro-Environ. Sci. 2019, 38, 2219–2238. [Google Scholar]
- Zhao, K.W.; Bao, K.S.; Yan, Y.; Neupane, B.; Gao, C.J. Spatial distribution of potentially harmful trace elements and ecological risk assessment in Zhanjiang mangrove wetland, South China. Mar. Pollut. Bull. 2022, 182, 13. [Google Scholar] [CrossRef] [PubMed]
- Han, Z.; Zhao, Z.; Yuan, J.; Li, P.; Wang, J. Analysis of correlation features of heavy metal elements distribution and its pollution sources in surface sediments from the mangrove wetlands of northern Hainan island. J. Hainan Norm. Univ. (Nat. Sci.) 2013, 26, 66–70. [Google Scholar]
- Cai, L. Analysis of the source of heavy metal contamination in surface sediments of Quanzhou Bay based on principal component analysis (PCA). J. Oceanogr. Taiwan Strait 2010, 29, 325–331. [Google Scholar] [CrossRef]
- Paithankar, J.G.; Saini, S.; Dwivedi, S.; Sharma, A.; Chowdhuri, D.K. Heavy metal associated health hazards: An interplay of oxidative stress and signal transduction. Chemosphere 2021, 262, 15. [Google Scholar] [CrossRef]
- Remick, K.A.; Helmann, J.D. Chapter One—The elements of life: A biocentric tour of the periodic table. In Advances in Microbial Physiology; Poole, R.K., Kelly, D.J., Eds.; Academic Press: Salt Lake City, UT, USA, 2023; Volume 82, pp. 1–127. [Google Scholar]
- Xu, Z.; Zhu, A.; Cai, W.; Zhang, J.; Ye, J. Enrichment of heavy metals in the seagrass bed of Liusha Bay. Acta Ecol. Sin. 2011, 31, 7244–7250. [Google Scholar]
- Haldar, S.K. Chapter 1—Introduction. In Platinum-Nickel-Chromium Deposits; Haldar, S.K., Ed.; Elsevier: Amsterdam, The Netherlands, 2017; pp. 1–35. [Google Scholar]
- Howari, F.; Salman, A.; Goodell, P. Chapter 1—Introduction. In Uranium Geology of the Middle East and North Africa; Howari, F., Salman, A., Goodell, P., Eds.; Elsevier: Amsterdam, The Netherlands, 2022; pp. 1–26. [Google Scholar]
- Zhao, Y.Y. Some geochemical patterns of shelf sediments of the China seas. Sci. Geol. Sin. 1983, 18, 307–314. [Google Scholar]
- Deng, L.; Zhang, H.; Lao, D.; Shen, S. Contamination and potential ecological risk assessment of heavy metals in surface sediments of Futian Mangrove Nature Reserve. Mar. Environ. Sci. 2014, 33, 7. [Google Scholar]
- Ding, S.; Zhang, Q.; Dong, J.; Chen, Z.; Chen, S. Microbial community structure and its relationship to heavy metals in Shenzhen and Hong Kong mangrove sediments. Chin. J. Ecol. 2018, 37, 13. [Google Scholar]
- Gan, J. Analysis of heavy metal distribution and ecological Risk in mangrove sediments. J. Green Sci. Technol. 2021, 23, 3. [Google Scholar] [CrossRef]
- Wan, R. Distribution Characteristics and Source Analysis of Heavy Metals in Mangrove Wetland Surface Sediments in Jiulong River Estuary. Master’s Thesis, Huaqiao University, Xiamen, China, 2020. [Google Scholar]
- Zhou, X. The Pollution of Heavy Metals and PAHs in Sediments of Nansha Mangrove Wetland. Master’s Thesis, Guangzhou University, Guangzhou, China, 2013. [Google Scholar]
- Zhu, Y.; Wu, C.; Ye, J.; Yu, Y. Content correlation of heavy metals in mangrove forest eco-system in Qi’ao Island, Zhuhai. Environ. Sci. Technol. 2009, 32, 4. [Google Scholar] [CrossRef]







| Pollution Indicators | Calculation Formula and Classification Level | |||||
|---|---|---|---|---|---|---|
| Geo-accumulation index (Igeo) [21,22] | ||||||
| Cn is the measured concentration of the target element in sediments; Bn is the environmental background value of the element, and the average upper-crust element concentration was selected in this study [23]. Igeo can be divided into six grades: | ||||||
| Igeo ≤ 0 | 0 < Igeo ≤ 1 | 1 < Igeo ≤ 2 | 2 < Igeo ≤ 3 | 3 < Igeo ≤ 4 | Igeo > 4 | |
| Uncontaminated | Slightly | Moderately | Moderately/Heavily | Heavily | Extremely | |
| Enrichment factor (EF) [22,24] | ||||||
| (Ci/Cr) sample and (Ci/Cr) background are the concentration ratios of the target element to the reference element in sediment samples and background values, respectively; the average upper-crust element concentration was used as the background value [23]; Ci is the concentration of target element i, and Cr is the concentration of the reference element. Al was selected as the reference element in this study due to its wide distribution in the earth’s surface, stable chemical properties, low volatility, and minimal interference from human activities. EF can be divided into six grades: | ||||||
| EF ≤ 1 | 1 < EF ≤ 2 | 2 < EF ≤ 5 | 5 < EF ≤ 20 | 20 < EF ≤ 40 | EF > 40 | |
| Uncontaminated | Slightly | Moderately | Moderately/Heavily | Heavily | Extremely | |
| Ecological risk assessment () [25,26] | ||||||
| is the toxicity coefficient of heavy metal i; is the concentration of element i in the sediments to be assessed; is the concentration of element i in background sediments, and the average upper-crust element concentration was selected as the background value in this study [23]. can be divided into five grades: | ||||||
| < 40 | 40 ≤ < 80 | 80 ≤ < 160 | 160 ≤ < 320 | > 320 | ||
| Low risk | Moderate risk | Considerable risk | High risk | Extremely high risk | ||
| Station | Ti | Al | Fe | Mg | Ca | Na | K | S |
|---|---|---|---|---|---|---|---|---|
| LS1 | 0.67 | 7.04 | 6.49 | 1.22 | 1.53 | 1.26 | 0.72 | 1.25 |
| LS2 | 0.49 | 4.36 | 5.04 | 0.54 | 1.82 | 0.65 | 0.25 | 0.69 |
| LS3 | 0.98 | 7.6 | 6.88 | 0.89 | 1.22 | 1.65 | 0.61 | 0.43 |
| LS4 | 0.57 | 4.58 | 4.02 | 0.27 | 0.12 | 0.43 | 0.62 | 0.09 |
| LS5 | 0.73 | 8.21 | 5.98 | 0.52 | 0.38 | 1.07 | 0.93 | 1.52 |
| LS6 | 0.52 | 4.66 | 4.96 | 0.84 | 6.63 | 0.87 | 0.4 | 0.75 |
| Mean | 0.66 | 6.08 | 5.56 | 0.71 | 1.95 | 0.99 | 0.59 | 0.79 |
| S.D. | 0.18 | 1.73 | 1.08 | 0.34 | 2.39 | 0.44 | 0.24 | 0.52 |
| MAX | 0.98 | 8.21 | 6.88 | 1.22 | 6.63 | 1.65 | 0.93 | 1.52 |
| Min | 0.49 | 4.36 | 4.02 | 0.27 | 0.12 | 0.43 | 0.25 | 0.09 |
| upper-crust element concentration [22] | 0.38 | 8.15 | 3.92 | 1.5 | 2.57 | 2.43 | 2.32 | 0.062 |
Disclaimer/Publisher’s Note: The statements, opinions and data contained in all publications are solely those of the individual author(s) and contributor(s) and not of MDPI and/or the editor(s). MDPI and/or the editor(s) disclaim responsibility for any injury to people or property resulting from any ideas, methods, instructions or products referred to in the content. |
© 2025 by the authors. Licensee MDPI, Basel, Switzerland. This article is an open access article distributed under the terms and conditions of the Creative Commons Attribution (CC BY) license (https://creativecommons.org/licenses/by/4.0/).
Share and Cite
Yang, X.; Huang, H.; Hu, P.; Luan, H.; Song, B.; Zheng, Z.; Zhang, C.; Yan, R.; Li, K. Assessment of Heavy Metal Pollution in Mangrove Sediments of Liusha Bay, Leizhou Peninsula, China. Toxics 2025, 13, 961. https://doi.org/10.3390/toxics13110961
Yang X, Huang H, Hu P, Luan H, Song B, Zheng Z, Zhang C, Yan R, Li K. Assessment of Heavy Metal Pollution in Mangrove Sediments of Liusha Bay, Leizhou Peninsula, China. Toxics. 2025; 13(11):961. https://doi.org/10.3390/toxics13110961
Chicago/Turabian StyleYang, Xianhui, Huamei Huang, Ping Hu, Hong Luan, Bei Song, Zhaoyong Zheng, Cuiping Zhang, Ran Yan, and Kang Li. 2025. "Assessment of Heavy Metal Pollution in Mangrove Sediments of Liusha Bay, Leizhou Peninsula, China" Toxics 13, no. 11: 961. https://doi.org/10.3390/toxics13110961
APA StyleYang, X., Huang, H., Hu, P., Luan, H., Song, B., Zheng, Z., Zhang, C., Yan, R., & Li, K. (2025). Assessment of Heavy Metal Pollution in Mangrove Sediments of Liusha Bay, Leizhou Peninsula, China. Toxics, 13(11), 961. https://doi.org/10.3390/toxics13110961

