Source-Oriented Health Risk Assessment of Potentially Toxic Elements in the Water-Soil-Crop System Using Monte Carlo Simulation: A Case Study of the Laoguan River Basin, China
Abstract
1. Introduction
2. Materials and Methods
2.1. Study Area
2.2. Sample Collection and Analysis
2.3. Data Analysis
2.3.1. Ecological Risk Assessment Indices
2.3.2. Health Risk Assessment Model
2.3.3. Monte Carlo Simulation and Sensitivity Analysis
2.3.4. Source Apportionment
3. Results
3.1. Characteristics of PTE Concentrations
3.2. Ecological Risk Analysis
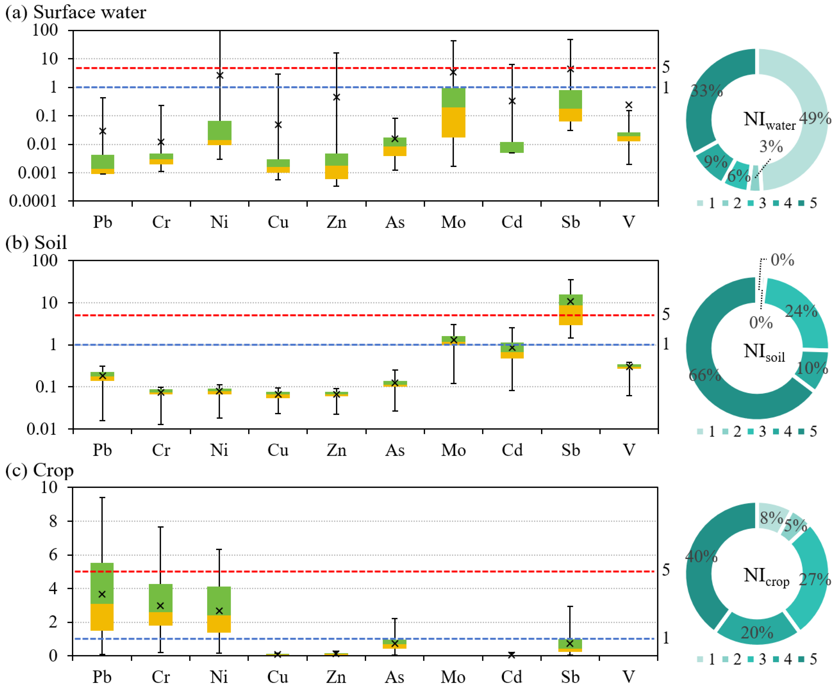
3.2.1. Pollution Analysis Based on the NI
3.2.2. Risk Analysis Based on PERI
3.3. Human Health Risk Analysis Based on Monte Carlo Simulation
3.4. Analysis of Pollution Sources Using PCA
3.5. Priority Control Factors for Soil Pollution
4. Conclusions
Supplementary Materials
Author Contributions
Funding
Institutional Review Board Statement
Informed Consent Statement
Data Availability Statement
Conflicts of Interest
References
- Senila, M. Metal and metalloid monitoring in water by passive sampling—A review. Rev. Anal. Chem. 2023, 42, 20230065. [Google Scholar] [CrossRef]
- Balali-Mood, M.; Naseri, K.; Tahergorabi, Z.; Khazdair, M.R.; Sadeghi, M. Toxic mechanisms of five heavy metals: Mercury, lead, chromium, cadmium, and arsenic. Front. Pharmacol. 2021, 12, 643972. [Google Scholar] [CrossRef]
- Senila, M.; Neag, E.; Cadar, O.; Kovacs, E.D.; Aschilean, I.; Kovacs, M.H. Simultaneous removal of heavy metals (Cu, Cd, Cr, Ni, Zn and Pb) from aqueous solutions using thermally treated Romanian zeolitic volcanic tuff. Molecules 2022, 27, 3938. [Google Scholar] [CrossRef]
- Ali, M.M.; Islam, S.; Islam, A.R.M.T.; Bhuyan, S.; Ahmed, A.S.; Rahman, Z.; Rahman, M. Toxic metal pollution and ecological risk assessment in water and sediment at ship breaking sites in the Bay of Bengal coast, Bangladesh. Mar. Pollut. Bull. 2022, 175, 113274. [Google Scholar] [CrossRef]
- Pavithra, K.G.; Kumar, P.S.; Jaikumar, V.; Vardhan, K.H.; SundarRajan, P. Microalgae for biofuel production and removal of heavy metals: A review. Environ. Chem. Lett. 2020, 18, 1905–1923. [Google Scholar] [CrossRef]
- Senila, M.; Cadar, O.; Senila, L.; Angyus, B.S. Simulated bioavailability of heavy metals (Cd, Cr, Cu, Pb, Zn) in contaminated soil amended with natural zeolite using diffusive gradients in thin-films (DGT) technique. Agriculture 2022, 12, 321. [Google Scholar] [CrossRef]
- Mukherjee, A.G.; Wanjari, U.R.; Renu, K.; Vellingiri, B.; Gopalakrishnan, A.V. Heavy metal and metalloid-induced reproductive toxicity. Environ. Toxicol. Pharmacol. 2022, 92, 103859. [Google Scholar] [CrossRef]
- Ghuge, S.A.; Nikalje, G.C.; Kadam, U.S.; Suprasanna, P.; Hong, J.C. Comprehensive mechanisms of heavy metal toxicity in plants, detoxification, and remediation. J. Hazard. Mater. 2023, 450, 131039. [Google Scholar] [CrossRef]
- Zamora-Ledezma, C.; Negrete-Bolagay, D.; Figueroa, F.; Zamora-Ledezma, E.; Ni, M.; Alexis, F.; Guerrero, V.H. Heavy metal water pollution: A fresh look about hazards, novel and conventional remediation methods. Environ. Technol. Innov. 2021, 22, 101504. [Google Scholar] [CrossRef]
- Ju, Q.; Hu, Y.; Liu, Q.; Chai, H.; Chen, K.; Zhang, H.; Wu, Y. Source apportionment and ecological health risks assessment from major ions, metalloids and trace elements in multi-aquifer groundwater near the Sunan mine area, Eastern China. Sci. Total Environ. 2023, 860, 160454. [Google Scholar] [CrossRef]
- Li, H.; Yao, J.; Sunahara, G.; Min, N.; Li, C.; Duran, R. Quantifying ecological and human health risks of metal(loid)s pollution from non-ferrous metal mining and smelting activities in Southwest China. Sci. Total Environ. 2023, 873, 162364. [Google Scholar] [CrossRef]
- Zhong, X.; Chen, Z.; Ding, K.; Liu, W.-S.; Baker, A.J.; Fei, Y.-H.; He, H.; Wang, Y.; Jin, C.; Wang, S.; et al. Heavy metal contamination affects the core microbiome and assembly processes in metal mine soils across Eastern China. J. Hazard. Mater. 2023, 443, 130241. [Google Scholar] [CrossRef]
- Liu, H.; Qu, M.; Chen, J.; Guang, X.; Zhang, J.; Liu, M.; Kang, J.; Zhao, Y.; Huang, B. Heavy metal accumulation in areas affected by mining in China: Spatial patterns, risk assessment, and influencing factors. Sci. Total Environ. 2022, 825, 154004. [Google Scholar] [CrossRef]
- Yan, K.; Wei, M.; Li, F.; Wu, C.; Yi, S.; Tian, J.; Liu, Y.; Lu, H. Diffusion and enrichment of high-risk antibiotic resistance genes (ARGs) via the transmission chain (mulberry leave, guts and feces of silkworm, and soil) in an ecological restoration area of manganese mining, China: Role of heavy metals. Environ. Res. 2023, 225, 115616. [Google Scholar] [CrossRef]
- Xue, S.; Zhang, Y.; Jiang, J.; Li, F.; Chen, C.; Guo, X.; Chen, Q.; Zhu, F.; Chen, H.; Wu, Y. Effect of calcium ions on the interaction of alkaline minerals with dissolved organic matter: Implications for organic carbon sequestration in bauxite residue. Plant Soil 2024, 497, 79–91. [Google Scholar] [CrossRef]
- Hudson-Edwards, K. Tackling mine wastes. Science 2016, 352, 288–290. [Google Scholar] [CrossRef]
- Hadjipanagiotou, C.; Christou, A.; Zissimos, A.M.; Chatzitheodoridis, E.; Varnavas, S.P. Contamination of stream waters, sediments, and agricultural soil near an abandoned copper mine by potentially toxic elements and associated environmental and human health risks: A case study from Agrokipia, Cyprus. Environ. Sci. Pollut. Res. 2020, 27, 41279–41298. [Google Scholar] [CrossRef]
- Ding, D.; Kong, L.; Jiang, D.; Wei, J.; Cao, S.; Li, X.; Zheng, L.; Deng, S. Source apportionment and health risk assessment of chemicals of concern in soil, water and sediment at a large strontium slag pile area. J. Environ. Manag. 2022, 304, 114228. [Google Scholar] [CrossRef]
- Dong, S.; Li, L.; Chen, W.; Chen, Z.; Wang, Y.; Wang, S. Evaluation of heavy metal speciation distribution in soil and the accumulation characteristics in wild plants: A study on naturally aged abandoned farmland adjacent to tailings. Sci. Total Environ. 2024, 917, 170594. [Google Scholar] [CrossRef]
- Aslam, M.W.; Meng, B.; Abdelhafiz, M.A.; Liu, J.; Feng, X. Unravelling the interactive effect of soil and atmospheric mercury influencing mercury distribution and accumulation in the soil-rice system. Sci. Total Environ. 2022, 803, 149967. [Google Scholar] [CrossRef]
- Hu, H.; Zheng, H.; Liu, F.; Ding, Z.; Wang, Z.; Peng, Y.; Zhang, D.; Zhang, Y.; Zheng, Y.; Ding, A. Heavy metal contamination assessment and source attribution in the vicinity of an iron slag pile in Hechi, China: Integrating multi-medium analysis. Environ. Res. 2024, 263, 120206. [Google Scholar] [CrossRef]
- Ma, L.; Xiao, T.; Ning, Z.; Liu, Y.; Chen, H.; Peng, J. Pollution and health risk assessment of toxic metal(loid)s in soils under different land use in sulphide mineralized areas. Sci. Total Environ. 2020, 724, 138176. [Google Scholar] [CrossRef]
- Shen, C.; Huang, S.; Wang, M.; Wu, J.; Su, J.; Lin, K.; Chen, X.; He, T.; Li, Y.; Sha, C.; et al. Source-oriented health risk assessment and priority control factor analysis of heavy metals in urban soil of Shanghai. J. Hazard. Mater. 2024, 480, 135859. [Google Scholar] [CrossRef]
- Ali-Taleshi, M.S.; Squizzato, S.; Bakhtiari, A.R.; Moeinaddini, M.; Masiol, M. Using a hybrid approach to apportion potential source locations contributing to excess cancer risk of PM2.5-bound PAHs during heating and non-heating periods in a megacity in the Middle East. Environ. Res. 2021, 201, 111617. [Google Scholar] [CrossRef]
- Zhou, Y.; Jiang, D.; Ding, D.; Wu, Y.; Wei, J.; Kong, L.; Long, T.; Fan, T.; Deng, S. Ecological-health risks assessment and source apportionment of heavy metals in agricultural soils around a super-sized lead-zinc smelter with a long production history in China. Environ. Pollut. 2022, 307, 119487. [Google Scholar] [CrossRef]
- Shivarajappa; Surinaidu, L.; Gupta, P.K.; Ahmed, S.; Hussain, M.; Nandan, M. Impact of urban wastewater reuse for irrigation on hydro-agro-ecological systems and human health risks: A case study from Musi River Basin, South India. HydroResearch 2023, 6, 122–129. [Google Scholar] [CrossRef]
- Li, L.; Zhang, Y.; Zhang, L.; Wu, B.; Gan, X. Spatial diffusion of potentially toxic elements in soils around non-ferrous metal mines. Environ. Res. 2024, 257, 119285. [Google Scholar] [CrossRef]
- Wei, Z.; Ji, Y.; Li, Y.; Fang, H.; Dong, D.; Yu, L. An analysis of multi-coal seam mining impacting aquifer water based on self-organizational maps. Water 2025, 17, 598. [Google Scholar] [CrossRef]
- Sadeghfam, S.; Abdi, M.; Khatibi, R.; Nadiri, A.A. An investigation into uncertainties within human health risk assessment to gain insight into plans to mitigate impacts of arsenic contamination. J. Clean. Prod. 2021, 311, 127667. [Google Scholar] [CrossRef]
- Ayejoto, D.A.; Agbasi, J.C.; Egbueri, J.C.; Abba, S. Evaluation of oral and dermal health risk exposures of contaminants in groundwater resources for nine age groups in two densely populated districts, Nigeria. Heliyon 2023, 9, e15483. [Google Scholar] [CrossRef]
- Singh, G.; Singh, J.; Wani, O.A.; Egbueri, J.C.; Agbasi, J.C. Assessment of groundwater suitability for sustainable irrigation: A comprehensive study using indexical, statistical, and machine learning approaches. Groundw. Sustain. Dev. 2024, 24, 101059. [Google Scholar] [CrossRef]
- Yuan, B.; Cao, H.; Du, P.; Ren, J.; Chen, J.; Zhang, H.; Zhang, Y.; Luo, H. Source-oriented probabilistic health risk assessment of soil potentially toxic elements in a typical mining city. J. Hazard. Mater. 2023, 443, 130222. [Google Scholar] [CrossRef]
- Du, J.; Jia, C.; Ding, Y.; Yang, X.; Feng, K.; Wei, M. Advancing wetland groundwater pollution zoning: A novel integration of Monte Carlo health risk modeling and machine learning. J. Hazard. Mater. 2025, 494, 138412. [Google Scholar] [CrossRef]
- Sibuar, A.A.; Zulkafflee, N.S.; Selamat, J.; Ismail, M.R.; Lee, S.Y.; Razis, A.F.A. Quantitative analysis and human health risk assessment of heavy metals in paddy plants collected from Perak, Malaysia. Int. J. Environ. Res. Public Health 2022, 19, 731. [Google Scholar] [CrossRef]
- Zerizghi, T.; Guo, Q.; Tian, L.; Wei, R.; Zhao, C. An integrated approach to quantify ecological and human health risks of soil heavy metal contamination around coal mining area. Sci. Total Environ. 2022, 814, 152653. [Google Scholar] [CrossRef]
- Wu, C.; Huang, F.; Wei, L.; Yi, S.; Wu, Y.; Huang, Z.; Yi, M.; Li, F. Do the residual metals in multiple environmental media surrounding mines pose ecological and health risks? A case of an abandoned mining area in central south China. Environ. Res. 2024, 257, 119279. [Google Scholar] [CrossRef]
- Kowalska, J.; Mazurek, R.; Gąsiorek, M.; Setlak, M.; Zaleski, T.; Waroszewski, J. Soil pollution indices conditioned by medieval metallurgical activity–A case study from Krakow (Poland). Environ. Pollut. 2016, 218, 1023–1036. [Google Scholar] [CrossRef]
- Kowalska, J.B.; Mazurek, R.; Gąsiorek, M.; Zaleski, T. Pollution indices as useful tools for the comprehensive evaluation of the degree of soil contamination–A review. Environ. Geochem. Health 2018, 40, 2395–2420. [Google Scholar] [CrossRef]
- Rezapour, S.; Moghaddam, S.S.; Nouri, A.; Aqdam, K.K. Urbanization influences the distribution, enrichment, and ecological health risk of heavy metals in croplands. Sci. Rep. 2022, 12, 3868. [Google Scholar] [CrossRef]
- Panghal, V.; Singh, A.; Kumar, R.; Kumari, G.; Kumar, P.; Kumar, S. Soil heavy metals contamination and ecological risk assessment in Rohtak urban area, Haryana (India). Environ. Earth Sci. 2021, 80, 1–20. [Google Scholar] [CrossRef]
- Hakanson, L. An ecological risk index for aquatic pollution control: A sedimentological approach. Water Res. 1980, 14, 975–1001. [Google Scholar] [CrossRef]
- Choudhary, S.; Rao, N.S.; Chaudhary, M.; Das, R. Assessing sources of groundwater quality and health risks using graphical, multivariate, and index techniques from a part of Rajasthan, India. Groundw. Sustain. Dev. 2024, 27, 101356. [Google Scholar] [CrossRef]
- Dai, X.; Liang, J.; Shi, H.; Yan, T.; He, Z.; Li, L.; Hu, H. Health risk assessment of heavy metals based on source analysis and Monte Carlo in the downstream basin of the Zishui. Environ. Res. 2024, 245, 117975. [Google Scholar] [CrossRef]
- Hu, B.; Jia, X.; Hu, J.; Xu, D.; Xia, F.; Li, Y. Assessment of heavy metal pollution and health risks in the soil-plant-human system in the Yangtze River Delta, China. Int. J. Environ. Res. Public Health 2017, 14, 1042. [Google Scholar] [CrossRef]
- Kimberly, M.; Burmaster, D.E.; Edmund, A.C.C. Monte Carlo techniques for quantitative uncertainty analysis in public health risk assessments. Risk Anal. 1992, 12, 53–63. [Google Scholar] [CrossRef]
- Gao, Y.; Qian, H.; Zhou, Y.; Chen, J.; Wang, H.; Ren, W.; Qu, W. Cumulative health risk assessment of multiple chemicals in groundwater based on deterministic and Monte Carlo models in a large semiarid basin. J. Clean. Prod. 2022, 352, 131567. [Google Scholar] [CrossRef]
- Guan, Q.; Liu, Z.; Shao, W.; Tian, J.; Luo, H.; Ni, F.; Shan, Y. Probabilistic risk assessment of heavy metals in urban farmland soils of a typical oasis city in northwest China. Sci. Total Environ. 2022, 833, 155096. [Google Scholar] [CrossRef] [PubMed]
- Yang, S.; Zhao, J.; Chang, S.X.; Collins, C.; Xu, J.; Liu, X. Status assessment and probabilistic health risk modeling of metals accumulation in agricultural soils across China: A synthesis. Environ. Int. 2019, 128, 165–174. [Google Scholar] [CrossRef]
- Zhou, Y.C.; Ding, H.; Wang, Z.Y.; Li, M.; Zhang, J.; Li, X. Characterizing the changes in the source apportionment of metals in surface waters by an integrated approach. ACS EST Water 2023, 3, 2041–2052. [Google Scholar] [CrossRef]
- Soliman, N.F.; El Zokm, G.M.; Okbah, M.A. Risk assessment and chemical fractionation of selected elements in surface sediments from Lake Qarun, Egypt using modified BCR technique. Chemosphere 2017, 191, 262–271. [Google Scholar] [CrossRef]
- Gharbi, F.; Rejeb, S.; Ghorbal, M.H.; Morel, J.L. Plant response to copper toxicity as affected by plant species and soil type. J. Plant Nutr. 2005, 28, 379–392. [Google Scholar] [CrossRef]
- Xie, F.; Yu, M.; Yuan, Q.; Meng, Y.; Qie, Y.; Shang, Z.; Luan, F.; Zhang, D. Spatial distribution, pollution assessment, and source identification of heavy metals in the Yellow River. J. Hazard. Mater. 2022, 436, 129309. [Google Scholar] [CrossRef]
- Ferreira, B.L.; Miguel, E.D. Geochemistry and risk assessment of street dust in Luanda, Angola: A tropical urban environment. Atmos. Environ. 2005, 39, 4501–4512. [Google Scholar] [CrossRef]
- GB 15618-2018; Soil Environmental Quality Risk Control Standard for Soil Contamination of Agricultural Land. MEE (Ministry of Ecology and Environment): Beijing, China, 2018.
- GB 3838-2002; Environmental Quality Standards for Surface Water. MEE (Ministry of Ecology and Environment): Beijing, China, 2002.
- GB 15199-94; Tolerance Limit of Copper in Foods. NHC (National Health Commission): Beijing, China, 1994.
- GB 16106-91; Tolerance Limit of Zine in Foods. NHC (National Health Commission): Beijing, China, 1991.
- GB 2762-2022; National Standard for Food Safety–Limits of Contaminants in Foods. NHC (National Health Commission): Beijing, China, 2022.
- Nie, X.L.; Wang, M.J.; Liu, Y.; Li, T.L.; Du, K.J. Surveillance on the contents of nickel in commercial vegetables and health risk evaluation in Shaanxi province. Chin. J. Health Lab. Tec. 2016, 26, 1065–1068. [Google Scholar]
- Wang, N.; Wang, A.; Kong, L.; He, M. Calculation and application of Sb toxicity coefficient for potential ecological risk assessment. Sci. Total Environ. 2018, 610–611, 167–174. [Google Scholar] [CrossRef] [PubMed]
- Xi, X.H.; Hou, Q.Y.; Yang, Z.F.; Ye, J.Y.; Yu, T.; Xia, X.Q.; Cheng, H.X.; Zhou, G.H.; Yao, L. Big data based studies of the variation features of Chinese soil’s background value versus reference value: A paper written on the occasion of Soil Geochemical Parameters of China’s publication. Geophys. Geochem. Explor. 2021, 45, 1095–1108. [Google Scholar]
- Xu, Z.Q.; Ni, S.J.; Tuo, X.G.; Zhang, C.J. Calculation of heavy metals’ toxicity coefficient in the evaluation of potential ecological risk index (in Chinese). Environ. Sci. Technol. 2008, 31, 112–115. [Google Scholar]
- Zhang, K.; Chang, S.; Tu, X.; Wang, E.; Yu, Y.; Liu, J.; Wang, L.; Fu, Q. Heavy metals in centralized drinking water sources of the Yangtze River: A comprehensive study from a basin-wide perspective. J. Hazard. Mater. 2024, 469, 133983. [Google Scholar] [CrossRef]
- Zhang, L.; Song, B.; Huang, F.-Y.; Xiao, N.-C.; Dun, M.-J. Characteristics of Antimony migration and transformation and pollution evaluation in a soil-crop system around a Tin mine in Hunan Province. Environ. Sci. 2022, 43, 1558–1566. [Google Scholar]







| Media | Item | Pb | Cr | Ni | Cu | Zn | As | Mo | Cd | Sb | V |
|---|---|---|---|---|---|---|---|---|---|---|---|
| Surface water (μg L−1) | Mean | 2.86 | 1.22 | 51.52 | 48.34 | 918.12 | 1.57 | 235.05 | 3.21 | 21.91 | 1.20 |
| Max | 42.10 | 23.50 | 2950.00 | 2910.00 | 31,300.00 | 7.99 | 3040.00 | 63.70 | 239.00 | 7.40 | |
| Min | 0.09 | 0.11 | 0.06 | 0.56 | 0.67 | 0.12 | 0.12 | 0.05 | 0.15 | 0.10 | |
| SD 1 | 8.17 | 3.92 | 355.39 | 350.05 | 4214.48 | 1.83 | 610.58 | 11.35 | 51.66 | 1.34 | |
| Skewness | 3.50 | 5.03 | 8.21 | 8.27 | 6.08 | 1.99 | 3.30 | 3.95 | 2.75 | 3.55 | |
| CV 2 (%) | 286 | 320 | 690 | 724 | 459 | 117 | 260 | 353 | 236 | 112 | |
| Soils (mg kg−1) | Mean | 21.79 | 14.87 | 7.85 | 6.53 | 16.58 | 3.70 | 0.73 | 0.26 | 9.62 | 22.87 |
| Max | 37.42 | 19.85 | 11.41 | 9.27 | 22.60 | 7.43 | 1.75 | 0.76 | 31.89 | 30.06 | |
| Min | 1.91 | 2.58 | 1.78 | 2.30 | 5.67 | 0.80 | 0.07 | 0.03 | 1.32 | 4.83 | |
| SD | 7.99 | 3.34 | 1.82 | 1.50 | 3.37 | 1.26 | 0.36 | 0.16 | 8.08 | 4.70 | |
| Skewness | −0.03 | −1.12 | −0.67 | −0.48 | −0.83 | 1.28 | 0.70 | 1.34 | 1.03 | −1.44 | |
| CV (%) | 37 | 22 | 23 | 23 | 20 | 34 | 49 | 63 | 84 | 21 | |
| Crops (mg kg−1) | Mean | 1.10 | 1.49 | 0.80 | 0.69 | 2.32 | 0.37 | 0.00 | 0.01 | 0.74 | 1.88 |
| Max | 2.82 | 3.83 | 1.90 | 1.62 | 5.49 | 1.10 | 0.02 | 0.04 | 2.92 | 4.57 | |
| Min | 0.03 | 0.09 | 0.05 | 0.04 | 0.15 | 0.02 | 0.00 | 0.00 | 0.03 | 0.15 | |
| SD | 0.76 | 0.95 | 0.51 | 0.39 | 1.29 | 0.22 | 0.00 | 0.01 | 0.78 | 1.14 | |
| Skewness | 0.55 | 0.64 | 0.47 | 0.30 | 0.26 | 0.80 | 5.43 | 1.37 | 1.51 | 0.48 | |
| CV (%) | 69 | 64 | 63 | 57 | 56 | 61 | 527 | 121 | 105 | 61 |
Disclaimer/Publisher’s Note: The statements, opinions and data contained in all publications are solely those of the individual author(s) and contributor(s) and not of MDPI and/or the editor(s). MDPI and/or the editor(s) disclaim responsibility for any injury to people or property resulting from any ideas, methods, instructions or products referred to in the content. |
© 2025 by the authors. Licensee MDPI, Basel, Switzerland. This article is an open access article distributed under the terms and conditions of the Creative Commons Attribution (CC BY) license (https://creativecommons.org/licenses/by/4.0/).
Share and Cite
Jia, X.; Fu, H.; Ding, D.; Ren, X.; Zhao, P.; Chen, X.; Luo, X.; Guo, B.; Xu, H.; Sheng, Z.; et al. Source-Oriented Health Risk Assessment of Potentially Toxic Elements in the Water-Soil-Crop System Using Monte Carlo Simulation: A Case Study of the Laoguan River Basin, China. Toxics 2025, 13, 952. https://doi.org/10.3390/toxics13110952
Jia X, Fu H, Ding D, Ren X, Zhao P, Chen X, Luo X, Guo B, Xu H, Sheng Z, et al. Source-Oriented Health Risk Assessment of Potentially Toxic Elements in the Water-Soil-Crop System Using Monte Carlo Simulation: A Case Study of the Laoguan River Basin, China. Toxics. 2025; 13(11):952. https://doi.org/10.3390/toxics13110952
Chicago/Turabian StyleJia, Xiaolin, Hui Fu, Ding Ding, Xi Ren, Pei Zhao, Xidong Chen, Xiaonan Luo, Baojian Guo, Hongbin Xu, Zhiwei Sheng, and et al. 2025. "Source-Oriented Health Risk Assessment of Potentially Toxic Elements in the Water-Soil-Crop System Using Monte Carlo Simulation: A Case Study of the Laoguan River Basin, China" Toxics 13, no. 11: 952. https://doi.org/10.3390/toxics13110952
APA StyleJia, X., Fu, H., Ding, D., Ren, X., Zhao, P., Chen, X., Luo, X., Guo, B., Xu, H., Sheng, Z., & Huang, H. (2025). Source-Oriented Health Risk Assessment of Potentially Toxic Elements in the Water-Soil-Crop System Using Monte Carlo Simulation: A Case Study of the Laoguan River Basin, China. Toxics, 13(11), 952. https://doi.org/10.3390/toxics13110952

