Ameliorative Role of Vitamin C against Cypermethrin Induced Oxidative Stress and DNA Damage in Labeo rohita (Hamilton, 1822) Using Single Cell Gel Electrophoresis
Abstract
1. Introduction
2. Materials and Methods
2.1. Transport and Acclimatization of Labeo rohita
2.2. Experimental Toxicant—Cypermethrin
2.3. Experimental Design
- First group: Fish fed a 35% protein diet (Table S1) and not exposed to pesticide.
- Second group: Fish fed a 35% protein diet and exposed to CYP.
- Third group: Fish fed a 35% protein diet supplemented with vitamin C (100 mg/kg diet) and exposed to CYP.
- Fourth group: Fish fed a 35% protein diet supplemented with vitamin C (200 mg/kg diet) and exposed to CYP.
2.4. Reactive Oxygen Species (ROS)
2.5. Lipid Peroxidation Assay (LPO/TBARS)
2.6. DNA Damage
2.6.1. Single Cell Gel Electrophoresis (SCGE)/Comet Assay
2.6.2. Slide Preparation
2.6.3. Lysis
2.6.4. Neutral Electrophoresis
2.6.5. Analysis and Scoring of the Slides
2.7. Statistical Analysis
3. Results
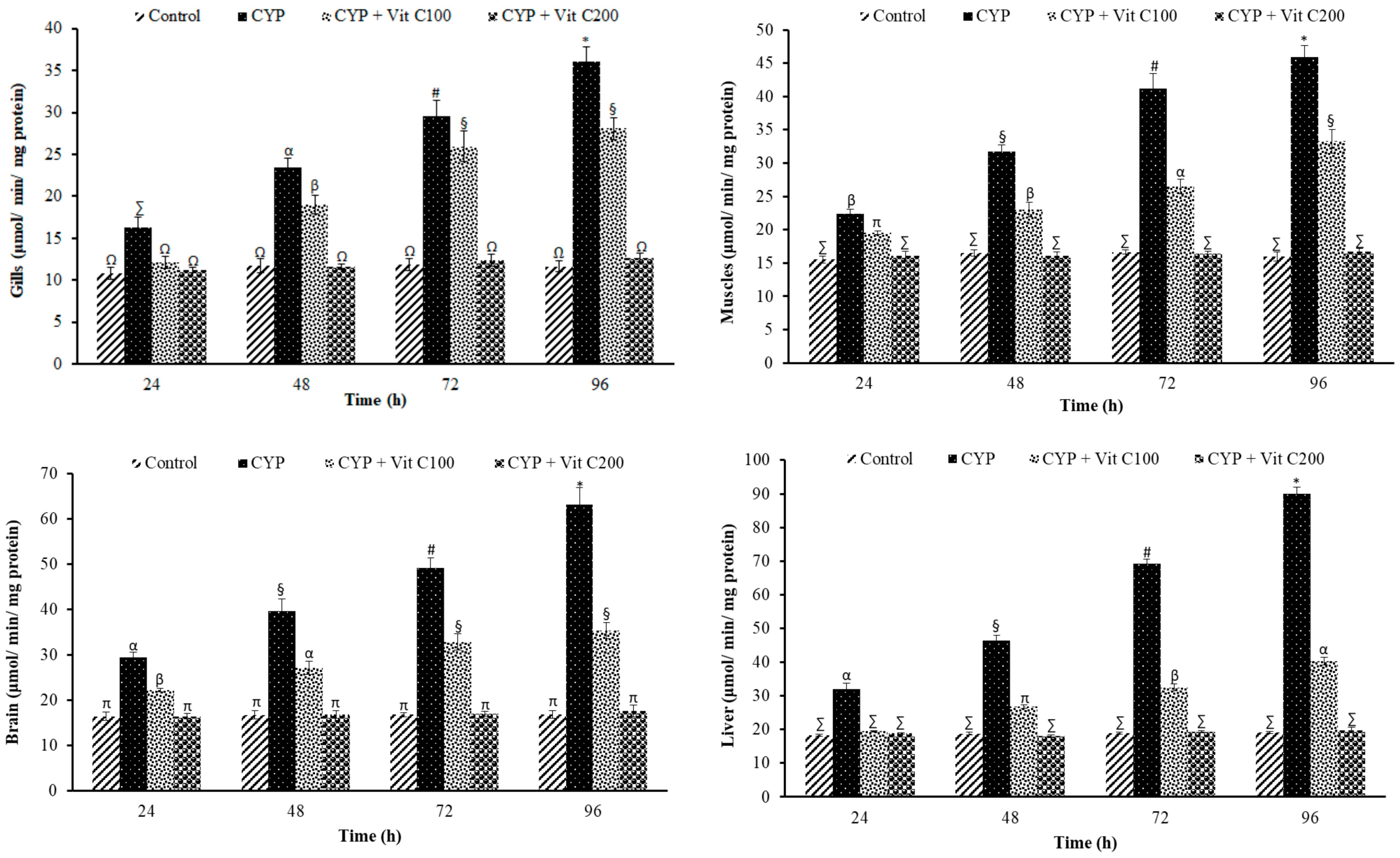
3.1. Reactive Oxygen Species
3.2. Lipid Peroxidation Assay (LPO/TBARS)
3.3. DNA Damage
4. Discussion
4.1. Reactive Oxygen Species
4.2. Lipid Peroxidation
4.3. DNA Damage Induction
4.4. Protective Role of Vitamin C
5. Conclusions
Supplementary Materials
Author Contributions
Funding
Institutional Review Board Statement
Informed Consent Statement
Data Availability Statement
Acknowledgments
Conflicts of Interest
References
- Ullah, S.; Ahmad, S.; Altaf, Y.; Dawar, F.U.; Anjum, S.I.; Baig, M.M.F.A.; Fahad, S.; Al-Misned, F.; Atique, U.; Guo, X. Bifenthrin induced toxicity in Ctenopharyngodon idella at an acute concentration: A multi-biomarkers based study. J. King Saud Univ.-Sci. 2022, 34, 101752. [Google Scholar] [CrossRef]
- Asita, A.O.; Makhalemele, R. Genotoxicity of Chlorpyrifos, Alpha-thrin, Efekto virikop and Springbok to onion root tip cells. Afr. J. Biotechnol. 2008, 7, 4244–4250. [Google Scholar]
- Cerejeira, M.; Viana, P.; Batista, S.; Pereira, T.; Silva, E.; Valério, M.; Silva, A.; Ferreira, M.; Silva-Fernandes, A. Pesticides in Portuguese surface and ground waters. Water Res. 2003, 37, 1055–1063. [Google Scholar] [CrossRef] [PubMed]
- Van Balen, E.C.; Wolansky, M.J.; Kosatsky, T. Increasing Use of Pyrethroids in Canadian Households: Should We Be Concerned? Can. J. Public Health 2012, 103, e404–e407. [Google Scholar] [CrossRef]
- Fetoui, H.; Gdoura, R. Synthetic pyrethroid increases lipid and protein oxidation and induces glutathione depletion in the cerebellum of adult rats: Ameliorative effect of vitamin C. Hum. Exp. Toxicol. 2012, 31, 1151–1160. [Google Scholar] [CrossRef]
- Spurlock, F.; Lee, M. Synthetic Pyrethroid Use Patterns, Properties, and Environmental Effects; American Chemical Society: Washington, DC, USA, 2008; pp. 3–25. [Google Scholar]
- Hassaan, M.A.; El Nemr, A. Pesticides pollution: Classifications, human health impact, extraction and treatment techniques. Egypt. J. Aquat. Res. 2020, 46, 207–220. [Google Scholar] [CrossRef]
- Khambay, B.P.S.; Jewess, P.J. Pyrethroids. In Comprehensive Molecular Insect Science; Gilbert, L.I., Iatrou, K., Gill, S.S., Eds.; Elsevier: Boston, MA, USA, 2005; pp. 1–29. [Google Scholar]
- Saha, S.; Kaviraj, A. Effects of cypermethrin on some biochemical parameters and its amelioration through dietary supplementation of ascorbic acid in freshwater catfish Heteropneustes fossilis. Chemosphere 2009, 74, 1254–1259. [Google Scholar] [CrossRef]
- Hodoșan, C.; Gîrd, C.E.; Ghica, M.V.; Dinu-Pîrvu, C.E.; Nistor, L.; Bărbuică, I.S.; Marin, Ș.C.; Mihalache, A.; Popa, L. Pyrethrins and Pyrethroids: A Comprehensive Review of Natural Occurring Compounds and Their Synthetic Derivatives. Plants 2023, 12, 4022. [Google Scholar] [CrossRef]
- Khan, B.A.; Abid Farid, A.F.; Nazrullah Khan, N.K.; Khalid Rasul, K.R.; Kaiser Perveen, K.P. Survey of pesticide use on fruits and vegetables in District Peshawar. Sarhad J. Agric. 2006, 22, 497–501. [Google Scholar]
- Carriquiriborde, P.; Díaz, J.; Mugni, H.; Bonetto, C.; Ronco, A.E. Impact of cypermethrin on stream fish populations under field-use in biotech-soybean production. Chemosphere 2007, 68, 613–621. [Google Scholar] [CrossRef]
- Tananchai, C.; Tisgratog, R.; Grieco, J.P.; Chareonviriyaphap, T. Pyrethroid induced behavioral responses of Anopheles dirus, a vector of malaria in Thailand. J. Vector Ecol. 2012, 37, 187–196. [Google Scholar] [CrossRef] [PubMed]
- Nafees, M.; Jan, M.R.; Khan, H. Pesticide use in Swat Valley, Pakistan. Mt. Res. Dev. 2008, 28, 201–204. [Google Scholar] [CrossRef][Green Version]
- Athanassopoulou, F.; Pappas, I.; Bitchava, K. An overview of the treatments for parasitic disease in Mediterranean aquaculture. Options Méditerr. Ser. A 2009, 86, 65–83. [Google Scholar]
- Mergia, M.T.; Weldemariam, E.D.; Eklo, O.M.; Yimer, G.T. Pesticide residue levels in surface water, using a passive sampler and in the sediment along the littoral zone of Lake Ziway at selected sites. SN Appl. Sci. 2022, 4, 83. [Google Scholar] [CrossRef]
- Tucca, F.; Moya, H.; Barra, R. Ethylene vinyl acetate polymer as a tool for passive sampling monitoring of hydrophobic chemicals in the salmon farm industry. Mar. Pollut. Bull. 2014, 88, 174–179. [Google Scholar] [CrossRef]
- Kanyika-Mbewe, C.; Thole, B.; Makwinja, R.; Kaonga, C.C. Monitoring of carbaryl and cypermethrin concentrations in water and soil in Southern Malawi. Environ. Monit. Assess. 2020, 192, 595. [Google Scholar] [CrossRef]
- Wolfand, J.M.; Seller, C.; Bell, C.D.; Cho, Y.-M.; Oetjen, K.; Hogue, T.S.; Luthy, R.G. Occurrence of urban-use pesticides and management with enhanced stormwater control measures at the watershed scale. Environ. Sci. Technol. 2019, 53, 3634–3644. [Google Scholar] [CrossRef]
- Wongsa, J.; Liamchang, R.; Ngearnpat, N.; Issakul1, K. Cypermethrin insecticide residue, water quality and phytoplankton diversity in the lychee plantation catchment area. AIMS Environ. Sci. 2023, 10, 609–627. [Google Scholar] [CrossRef]
- EA UK. Cypermethrin: Sources, Pathways and Environmental Data; Environment Agency, Horizon House: Bristol, UK, 2019. Available online: https://www.gov.uk/search/all (accessed on 1 September 2024).
- Nafees, M.; Jan, M.R. Residues of cypermethrin and endosulfan in soils of Swat valley. Soil Environ. 2009, 28, 113–118. [Google Scholar]
- Javaid, Z.; Ghazala; Ibrahim, M.; Mahmood, A.; Bajwa, A.A. Pesticide Contamination of Potable Water and Its Correlation with Water Quality in Different Regions of Punjab, Pakistan. Water 2023, 15, 543. [Google Scholar] [CrossRef]
- Lakra, W.S.; Nagpure, N.S. Genotoxicological studies in fishes: A review. Indian J. Anim. Sci. 2009, 79, 93–97. [Google Scholar]
- Kumar, R.; Nagpure, N.; Kushwaha, B.; Srivastava, S.K.; Lakra, W. Investigation of the genotoxicity of malathion to freshwater teleost fish Channa punctatus (Bloch) using the micronucleus test and comet assay. Arch. Environ. Contam. Toxicol. 2010, 58, 123–130. [Google Scholar] [CrossRef] [PubMed]
- Ullah, S. A Multi-Scale Study on the Hostile Effects of Pollution on Humans and Fish: From Behavior, Physiology, Biochemistry, to Toxicology; Nanjing University: Nanjing, China, 2019. [Google Scholar]
- Pandey, A.K.; Nagpure, N.; Trivedi, S.P.; Kumar, R.; Kushwaha, B. Profenofos induced DNA damage in freshwater fish, Channa punctatus (Bloch) using alkaline single cell gel electrophoresis. Mutat. Res./Genet. Toxicol. Environ. Mutagen. 2011, 726, 209–214. [Google Scholar] [CrossRef] [PubMed]
- Nagarajan, N.; Devi, V.; Devi, C.; Kumaraguru, A. Genotoxicity assessment of mercuric chloride in the marine fish Therapon jaruba. Environ. Asia 2009, 2, 50–54. [Google Scholar]
- Bony, S.; Gillet, C.; Bouchez, A.; Margoum, C.; Devaux, A. Genotoxic pressure of vineyard pesticides in fish: Field and mesocosm surveys. Aquat. Toxicol. 2008, 89, 197–203. [Google Scholar] [CrossRef]
- Pandey, S.; Nagpure, N.; Kumar, R.; Sharma, S.; Srivastava, S.K.; Verma, M.S. Genotoxicity evaluation of acute doses of endosulfan to freshwater teleost Channa punctatus (Bloch) by alkaline single-cell gel electrophoresis. Ecotoxicol. Environ. Saf. 2006, 65, 56–61. [Google Scholar] [CrossRef]
- Jiang, N.; Naz, S.; Ma, Y.; Ullah, Q.; Khan, M.Z.; Wang, J.; Lu, X.; Luosang, D.-Z.; Tabassum, S.; Chatha, A.M.M. An overview of comet assay application for detecting DNA damage in aquatic animals. Agriculture 2023, 13, 623. [Google Scholar] [CrossRef]
- Walsh, K.D.; Kato, T.A. Alkaline comet assay to detect DNA damage. In Chromosome Analysis: Methods and Protocols; Springer: Berlin/Heidelberg, Germany, 2022; pp. 65–72. [Google Scholar]
- Pandey, A.K.; Trivedi, S.P. Genotoxicity assessment of DNA damage by single cell gel electrophoresis (SCGE)/comet assay in fish. Natl. Acad. Sci. Lett. 2009, 32, 257–261. [Google Scholar]
- Ullah, S.; Li, Z.; Arifeen, M.Z.U.; Khan, S.U.; Fahad, S. Multiple biomarkers based appraisal of deltamethrin induced toxicity in silver carp (Hypophthalmichthys molitrix). Chemosphere 2019, 214, 519–533. [Google Scholar] [CrossRef]
- Wright, J.R.; Colby, H.D.; Miles, P.R. Cytosolic factors which affect microsomal lipid peroxidation in lung and liver. Arch. Biochem. Biophys. 1981, 206, 296–304. [Google Scholar] [CrossRef]
- Singh, N.P.; McCoy, M.T.; Tice, R.R.; Schneider, E.L. A simple technique for quantitation of low levels of DNA damage in individual cells. Exp. Cell Res. 1988, 175, 184–191. [Google Scholar] [CrossRef] [PubMed]
- Lee, R.F.; Steinert, S. Use of the single cell gel electrophoresis/comet assay for detecting DNA damage in aquatic (marine and freshwater) animals. Mutat. Res./Rev. Mutat. Res. 2003, 544, 43–64. [Google Scholar] [CrossRef] [PubMed]
- Sahoo, J.; Nanda, S.; Panigrahi, D. Toxicity of cypermethrin on fingerlings of rohu: Labeo rohita (ham). Int. J. Fish. Aquat. Stud. 2017, 5, 145–148. [Google Scholar]
- Singh, S.K.; Singh, S.K.; Yadav, R.P. Toxicological and Biochemical Alterations of Cypermethrin (Synthetic Pyrethroids) Against Freshwater Teleost Fish Colisa fasciatus at Different Season. World J. Zool. 2010, 5, 25–32. [Google Scholar]
- Wu, Z.; Jankowski, V.; Jankowski, J. Irreversible post-translational modifications–Emerging cardiovascular risk factors. Mol. Asp. Med. 2022, 86, 101010. [Google Scholar] [CrossRef]
- Zheng, H.; Xu, Y.; Liehn, E.A.; Rusu, M. Vitamin C as Scavenger of Reactive Oxygen Species during Healing after Myocardial Infarction. Int. J. Mol. Sci. 2024, 25, 3114. [Google Scholar] [CrossRef]
- Saxena, R.; Garg, P.; Jain, D. In vitro anti-oxidant effect of vitamin E on oxidative stress induced due to pesticides in rat erythrocytes. Toxicol. Int. 2011, 18, 73. [Google Scholar]
- Galal, M.K.; Khalaf, A.A.A.; Ogaly, H.A.; Ibrahim, M.A. Vitamin E attenuates neurotoxicity induced by deltamethrin in rats. BMC Complement. Altern. Med. 2014, 14, 458. [Google Scholar] [CrossRef]
- Pishkari, N.; Habibi-Rezaei, M.; Taghavi, F.; Amanlou, M.; Sheibani, N.; Saso, L.; Moosavi-Movahedi, A. The correlation between ROS generation and LPO process as the function of methylparaben concentrations during hemoglobin fructation. J. Iran. Chem. Soc. 2020, 17, 1249–1255. [Google Scholar] [CrossRef]
- Bibi, N.; Zuberi, A.; Naeem, M.; Ullah, I.; Sarwar, H.; Atika, B. Evaluation of acute toxicity of Karate and its sub-lethal effects on protein and acetylcholinestrase activity in Cyprinus carpio. Int. J. Agric. Biol. 2014, 16, 731–737. [Google Scholar]
- Adeyemia, J.A.; Atereb, T.G.; Deatonc, L.E. Oxidative damage and changes in Glutathione S-transferase activity in juvenile African catfish, Clarias gariepinus exposed to cypermethrin and chlorpyrifos. Biokemistri 2013, 25, 113–117. [Google Scholar]
- El-Beltagi, H.S.; Mohamed, H.I. Reactive oxygen species, lipid peroxidation and antioxidative defense mechanism. Not. Bot. Horti Agrobot. Cluj-Napoca 2013, 41, 44–57. [Google Scholar] [CrossRef]
- Ullah, R.; Zuberi, A.; Ullah, S.; Ullah, I.; Dawar, F.U. Cypermethrin induced behavioral and biochemical changes in mahseer, Tor putitora. J. Toxicol. Sci. 2014, 39, 829–836. [Google Scholar] [CrossRef] [PubMed]
- Kaur, M.; Atif, F.; Ansari, R.A.; Ahmad, F.; Raisuddin, S. The interactive effect of elevated temperature on deltamethrin-induced biochemical stress responses in Channa punctata Bloch. Chem.-Biol. Interact. 2011, 193, 216–224. [Google Scholar] [CrossRef]
- Ali, D.; Gend Kumar, P.; Kumar, S.; Ahmed, M. Evaluation of genotoxic and oxidative stress response to dimethoate in freshwater fish Channa punctatus (Bloch). Chem. Speciat. Bioavailab. 2014, 26, 111–118. [Google Scholar] [CrossRef]
- Ullah, S.; Hasan, Z.; Dhama, K. Toxic effects of endosulfan on behaviour, protein contents and antioxidant enzyme system in gills, brain, liver and muscle tissues of rohu, Labeo rohita. Int. J. Pharmacol. 2016, 12, 1–10. [Google Scholar] [CrossRef]
- Ullah, S.; Li, Z.; Hasan, Z.; Khan, S.U.; Fahad, S. Malathion induced oxidative stress leads to histopathological and biochemical toxicity in the liver of rohu (Labeo rohita, Hamilton) at acute concentration. Ecotoxicol. Environ. Saf. 2018, 161, 270–280. [Google Scholar] [CrossRef]
- Kumaravel, T.; Jha, A.N. Reliable comet assay measurements for detecting DNA damage induced by ionising radiation and chemicals. Mutat. Res./Genet. Toxicol. Environ. Mutagen. 2006, 605, 7–16. [Google Scholar] [CrossRef]
- Kilemade, M.; Hartl, M.; Sheehan, D.; Mothersill, C.; Van Pelt, F.; O’Halloran, J.; O’Brien, N. Genotoxicity of field-collected inter-tidal sediments from Cork harbor, Ireland, to juvenile turbot (Scophthalmus maximus L.) as measured by the comet assay. Environ. Mol. Mutagen. 2004, 44, 56–64. [Google Scholar] [CrossRef]
- Cortés-Gutiérrez, E.I.; López-Fernández, C.; Fernández, J.L.; Dávila-Rodríguez, M.I.; Johnston, S.D.; Gosálvez, J. Interpreting sperm DNA damage in a diverse range of mammalian sperm by means of the two-tailed comet assay. Front. Genet. 2014, 5, 404. [Google Scholar]
- Paravani, E.V.; Simoniello, M.F.; Poletta, G.L.; Casco, V.H. Cypermethrin induction of DNA damage and oxidative stress in zebrafish gill cells. Ecotoxicol. Environ. Saf. 2019, 173, 1–7. [Google Scholar] [CrossRef] [PubMed]
- Farombi, E.; Adelowo, O.; Ajimoko, Y. Biomarkers of oxidative stress and heavy metal levels as indicators of environmental pollution in African cat fish (Clarias gariepinus) from Nigeria Ogun River. Int. J. Environ. Res. Public Health 2007, 4, 158–165. [Google Scholar] [CrossRef] [PubMed]
- Toyoizumi, T.; Deguchi, Y.; Masuda, S.; Kinae, N. Genotoxicity and estrogenic activity of 3, 3′-dinitrobisphenol A in goldfish. Biosci. Biotechnol. Biochem. 2008, 72, 2118–2123. [Google Scholar] [CrossRef] [PubMed]
- Scalon, M.C.S.; Rechenmacher, C.; Siebel, A.M.; Kayser, M.L.; Rodrigues, M.T.; Maluf, S.W.; Rodrigues, M.A.S.; Silva, L.B.d. Evaluation of Sinos River water genotoxicity using the comet assay in fish. Braz. J. Biol. 2010, 70, 1217–1222. [Google Scholar] [CrossRef] [PubMed][Green Version]
- Ahmed, M.K.; Habibullah-Al-Mamun, M.; Hossain, M.A.; Arif, M.; Parvin, E.; Akter, M.S.; Khan, M.S.; Islam, M.M. Assessing the genotoxic potentials of arsenic in tilapia (Oreochromis mossambicus) using alkaline comet assay and micronucleus test. Chemosphere 2011, 84, 143–149. [Google Scholar] [CrossRef] [PubMed]
- Kumar, A.; Kesari, V.P.; Khan, P.K. Fish micronucleus assay to assess genotoxic potential of arsenic at its guideline exposure in aquatic environment. Biometals 2013, 26, 337–346. [Google Scholar] [CrossRef]
- Kousar, S.; Javed, M. Diagnosis of metals induced DNA damage in fish using comet assay. Pak. Vet. J. 2015, 35, 168–172. [Google Scholar]
- Santos, Í.M.S.; da Rocha Tomé, A.; Saldanha, G.B.; Ferreira, P.M.P.; Militão, G.C.G.; De Freitas, R.M. Oxidative stress in the hippocampus during experimental seizures can be ameliorated with the antioxidant ascorbic acid. Oxidative Med. Cell. Longev. 2009, 2, 214. [Google Scholar] [CrossRef]
- Valko, M.; Izakovic, M.; Mazur, M.; Rhodes, C.J.; Telser, J. Role of oxygen radicals in DNA damage and cancer incidence. Mol. Cell. Biochem. 2004, 266, 37–56. [Google Scholar] [CrossRef]
- Boyacioglu, M.; Sekkin, S.; Kum, C.; Korkmaz, D.; Kiral, F.; Yalinkilinc, H.S.; Ak, M.O.; Akar, F. The protective effects of vitamin C on the DNA damage, antioxidant defenses and aorta histopathology in chronic hyperhomocysteinemia induced rats. Exp. Toxicol. Pathol. 2014, 66, 407–413. [Google Scholar] [CrossRef]
- Sram, R.J.; Binkova, B.; Rossner, P.J.M.R.F., Jr. Vitamin C for DNA damage prevention. Mutat. Res./Fundam. Mol. Mech. Mutagen. 2012, 733, 39–49. [Google Scholar] [CrossRef] [PubMed]
- Valgimigli, L. Lipid Peroxidation and Antioxidant Protection. Biomolecules 2023, 13, 1291. [Google Scholar] [CrossRef] [PubMed]
- Aguilera, A.; Berdun, F.; Bartoli, C.; Steelheart, C.; Alegre, M.; Bayir, H.; Tyurina, Y.Y.; Kagan, V.E.; Salerno, G.; Pagnussat, G. C-ferroptosis is an iron-dependent form of regulated cell death in cyanobacteria. J. Cell Biol. 2021, 221, e201911005. [Google Scholar] [CrossRef] [PubMed]
- Kaźmierczak-Barańska, J.; Boguszewska, K.; Adamus-Grabicka, A.; Karwowski, B.T. Two faces of vitamin C—Antioxidative and pro-oxidative agent. Nutrients 2020, 12, 1501. [Google Scholar] [CrossRef]
- Ghazanfar, M.; Shahid, S.; Qureshi, I.Z. Vitamin C attenuates biochemical and genotoxic damage in common carp (Cyprinus carpio) upon joint exposure to combined toxic doses of fipronil and buprofezin insecticides. Aquat. Toxicol. 2018, 196, 43–52. [Google Scholar] [CrossRef]









Disclaimer/Publisher’s Note: The statements, opinions and data contained in all publications are solely those of the individual author(s) and contributor(s) and not of MDPI and/or the editor(s). MDPI and/or the editor(s) disclaim responsibility for any injury to people or property resulting from any ideas, methods, instructions or products referred to in the content. |
© 2024 by the authors. Licensee MDPI, Basel, Switzerland. This article is an open access article distributed under the terms and conditions of the Creative Commons Attribution (CC BY) license (https://creativecommons.org/licenses/by/4.0/).
Share and Cite
Ullah, S.; Zuberi, A.; Ullah, I.; Azzam, M.M. Ameliorative Role of Vitamin C against Cypermethrin Induced Oxidative Stress and DNA Damage in Labeo rohita (Hamilton, 1822) Using Single Cell Gel Electrophoresis. Toxics 2024, 12, 664. https://doi.org/10.3390/toxics12090664
Ullah S, Zuberi A, Ullah I, Azzam MM. Ameliorative Role of Vitamin C against Cypermethrin Induced Oxidative Stress and DNA Damage in Labeo rohita (Hamilton, 1822) Using Single Cell Gel Electrophoresis. Toxics. 2024; 12(9):664. https://doi.org/10.3390/toxics12090664
Chicago/Turabian StyleUllah, Sana, Amina Zuberi, Imdad Ullah, and Mahmoud M. Azzam. 2024. "Ameliorative Role of Vitamin C against Cypermethrin Induced Oxidative Stress and DNA Damage in Labeo rohita (Hamilton, 1822) Using Single Cell Gel Electrophoresis" Toxics 12, no. 9: 664. https://doi.org/10.3390/toxics12090664
APA StyleUllah, S., Zuberi, A., Ullah, I., & Azzam, M. M. (2024). Ameliorative Role of Vitamin C against Cypermethrin Induced Oxidative Stress and DNA Damage in Labeo rohita (Hamilton, 1822) Using Single Cell Gel Electrophoresis. Toxics, 12(9), 664. https://doi.org/10.3390/toxics12090664

