Bioaccumulation of Arsenic, Cadmium, Chromium, Cobalt, Copper, and Zinc in Uroteuthis edulis from the East China Sea
Abstract
1. Introduction
2. Materials and Methods
2.1. Sample Collection
2.2. Sample Processing
2.3. Materials and Methods
2.3.1. Sample Collection
2.3.2. Tissue Pre-Treatment
2.3.3. Instrumental Detection of Trace Elements in Tissue Samples
2.3.4. Data Analysis
3. Results
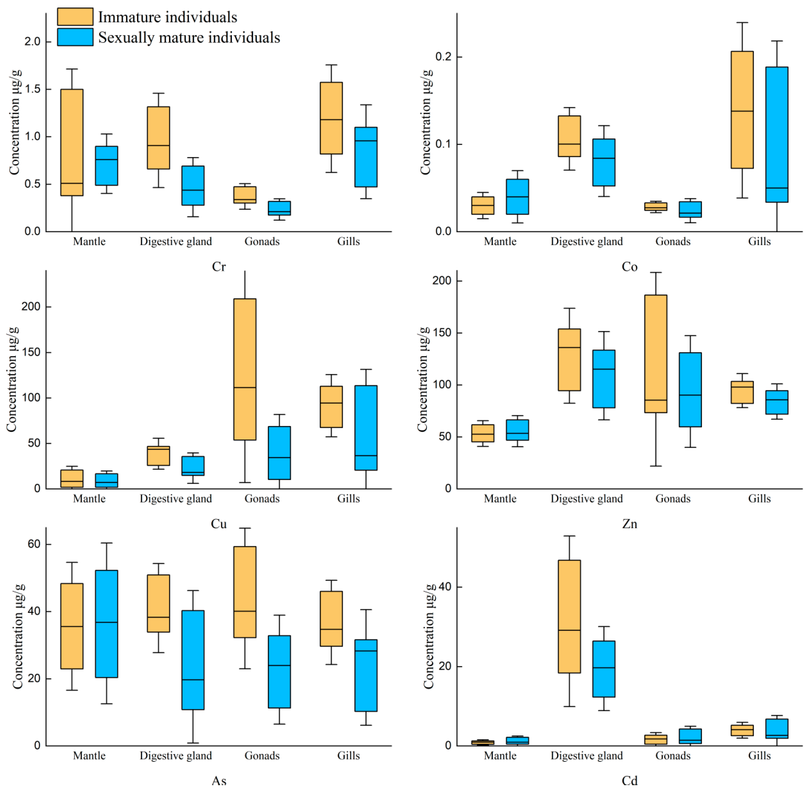
3.1. TEs Concentrations
3.2. Trace Elements Load Level in Each Tissue and Correlation of Trace Elements Distribution
3.3. Transfer Characteristics and Influencing Factors of Trace Elements in U. edulis
4. Discussion
4.1. Arsenic
4.2. Chromium
4.3. Cobalt
4.4. Copper
4.5. Cadmium
4.6. Zinc
4.7. Transfer Characteristics of TEs after Maturity
5. Conclusions
Author Contributions
Funding
Institutional Review Board Statement
Informed Consent Statement
Data Availability Statement
Acknowledgments
Conflicts of Interest
References
- Krishna, A.; Mohan, K.; Murthy, N. Assessment of Heavy Metal Contamination in Sediments using Multivariate Statistical Techniques in an Abandoned Mining Site: A Case Study from Kolar Gold Fields Area, Karnataka, India. Int. J. Earth Sci. Eng. 2011, 4, 1052–1058. Available online: https://www.researchgate.net/publication/233782312 (accessed on 2 April 2024).
- Bai, Z.; Wu, F.; He, Y.; Han, Z. Pollution and risk assessment of heavy metals in Zuoxiguo antimony mining area, southwest China. Environ. Pollut. Bioavailab. 2023, 35, 2156397. [Google Scholar] [CrossRef]
- Sun, F.; Yu, G.; Han, X.; Chi, Z.; Lang, Y.; Liu, C. Risk assessment and binding mechanisms of potentially toxic metals in sediments from different water levels in a coastal wetland. J. Environ. Sci. 2023, 129, 202–212. [Google Scholar] [CrossRef] [PubMed]
- Cao, L.; Liu, J.; Dou, S.; Huang, W. Biomagnification of methylmercury in a marine food web in Laizhou Bay (North China) and associated potential risks to public health. Mar. Pollut. Bull. 2020, 150, 110762. [Google Scholar] [CrossRef] [PubMed]
- Wei, L.L.; Zhou, Q.; Xei, C.X.; Wang, J.; Li, J. Bioaccumulation and Biomagnification of Heavy Metals in Three Gorges Reservoir and Effect of Biological Factors. Huan Jing Ke Xue 2016, 37, 325–334. [Google Scholar] [CrossRef]
- Bi, B.S.; Yu, H.C.; Zhang, Y.; Tang, W. Content characteristics and ecological risk assessment of heavy metals in surface sediment of Dongfeng Xisha Reservoir, Shanghai, China. J. Shanghai Ocean Univ. 2020, 29, 709–719. [Google Scholar] [CrossRef]
- Aoshima, K. Itai-itai disease: Lessons from the investigations of environmental epidemiology conducted in the 1970′s, with special reference to the studies of the Toyama Institute of Health. Nippon. Eiseigaku Zasshi Jpn. J. Hyg. 2017, 72, 149–158. [Google Scholar] [CrossRef]
- Noda, M.; Yasuda, M.; Kitagawa, M. Iron as a possible aggravating factor for osteopathy in itai-itai disease, a disease associated with chronic cadmium intoxication. J. Bone Miner. Res. 1991, 6, 245–255. [Google Scholar] [CrossRef]
- Jarup, L. Hazards of heavy metal contamination. Br. Med. Bull. 2003, 68, 167–182. [Google Scholar] [CrossRef]
- Clemens, S.; Ma, J.F. Toxic Heavy Metal and Metalloid Accumulation in Crop Plants and Foods. Annu. Rev. Plant Biol. 2016, 67, 489–512. [Google Scholar] [CrossRef]
- Ning, X.R.; Liu, Z.L.; Shi, J.X. Assessment of primary productivity and potential fishery production in the Bohai, Yellow and East China Seas. Acta Oceanolog. Sin. 1995, 17, 72–84. [Google Scholar] [CrossRef]
- Liu, M.; Wang, J.; Yu, K.; Jiang, R.; Liu, X.; Wang, S.; Liu, X. Community structure and geographical distribution of bacterial on surface layer sediments in the East China Sea. Oceanol. Limnol. Sin. 2015, 46, 1119–1131. [Google Scholar] [CrossRef]
- Li, G.; Chen, X.J. Study on the relationship between catch of mackerel and environmental factors in the East China Sea in sum-mer. J. Mar. Sci. 2009, 27, 1–8. [Google Scholar] [CrossRef]
- Yang, X.H.; Jin, A.M. Heavy Metal Geochemistry of Surface Sediments in the Northern East China Sea. Bull. Sci. Technol. 2019, 35, 32–40. [Google Scholar]
- Zhuang, W.; Zhou, F. Distribution, source and pollution assessment of heavy metals in the surface sediments of the Yangtze River Estuary and its adjacent East China Sea. Mar. Pollut. Bull. 2021, 164, 112002. [Google Scholar] [CrossRef] [PubMed]
- Xu, F.; Hu, B.; Yuan, S.; Zhao, Y.; Dou, Y.; Jiang, Z.; Yin, X. Heavy metals in surface sediments of the continental shelf of the South Yellow Sea and East China Sea: Sources, distribution and contamination. CATENA 2018, 160, 194–200. [Google Scholar] [CrossRef]
- Li, N.; Fang, Z.; Chen, X.J. Study on microstructure and growth characteristics of Uroteuthis edulis statolith in East China Sea. South China Fish. Sci. 2020, 16, 21–31. [Google Scholar] [CrossRef]
- Yamaguchi, T.; Takayama, K.; Hirose, N.; Matsuyama, M. Relationship between empirical water temperature and spring characteristics of swordtip squid (Uroteuthis edulis) caught in the eastern Tsushima Strait. Mar. Biol. Res. 2020, 16, 93–102. [Google Scholar] [CrossRef]
- Yuan, Y.; Sun, T.; Wang, H.; Liu, Y.; Pan, Y.; Xie, Y.; Huang, H.; Fan, Z. Bioaccumulation and health risk assessment of heavy metals to bivalve species in Daya Bay (South China Sea): Consumption advisory. Mar. Pollut. Bull. 2019, 150, 110717. [Google Scholar] [CrossRef]
- Hao, Z.; Chen, L.; Wang, C.; Zou, X.; Zheng, F.; Feng, W.; Zhang, D.; Peng, L. Heavy metal distribution and bioaccumulation ability in marine organisms from coastal regions of Hainan and Zhoushan, China. Chemosphere 2019, 226, 340–350. [Google Scholar] [CrossRef]
- Wang, K.-Y.; Chang, K.-Y.; Liao, C.-H.; Lee, M.-A.; Lee, K.-T. Growth Strategies of the Swordtip Squid, Uroteuthis Edulis, in Response to Environmental Changes in the Southern East China Sea—A Cohort Analysis. Bull. Mar. Sci. 2013, 89, 677–698. [Google Scholar] [CrossRef]
- Alavian Petroody, S.S.; Hamidian, A.H.; Ashrafi, S.; Eagderi, S.; Khazaee, M. Study on age-related bioaccumulation of some heavy metals in the soft tissue of rock oyster (Saccostrea cucullata) from Laft Port–Qeshm Island, Iran. Iran. J. Fish. Sci. 2017, 16, 897–906. [Google Scholar] [CrossRef]
- Lin, D.; Zhu, K.; Qian, W.; Punt, A.E.; Chen, X. Fatty acid comparison of four sympatric loliginid squids in the northern South China Sea: Indication for their similar feeding strategy. PLoS ONE 2020, 15, e0234250. [Google Scholar] [CrossRef] [PubMed]
- Koyama, J.; Nanamori, N.; Segawa, S. Bioaccumulation of Waterborne and Dietary Cadmium by Oval Squid, Sepioteuthislessoniana, and its Distribution Among Organs. Mar. Pollut. Bull. 2000, 40, 961–967. [Google Scholar] [CrossRef]
- Lischka, A.; Lacoue-Labarthe, T.; Hoving, H.; JavidPour, J.; Pannell, J.; Merten, V.; Churlaud, C.; Bustamante, P. High cadmium and mercury concentrations in the tissues of the orange-back flying squid, Sthenoteuthis pteropus, from the tropical Eastern Atlantic. Ecotoxicol. Environ. Saf. 2018, 163, 323–330. [Google Scholar] [CrossRef] [PubMed]
- Zhang, L.; Shi, Z.; Jiang, Z.; Zhang, J.; Wang, F.; Huang, X. Distribution and bioaccumulation of heavy metals in marine organisms in east and west Guangdong coastal regions, South China. Mar. Pollut. Bull. 2015, 101, 930–937. [Google Scholar] [CrossRef] [PubMed]
- Ridame, C.; Le Moal, M.; Guieu, C.; Ternon, E.; Biegala, I.C.; L‘Helguen, S.; Pujo-Pay, M. Nutrient control of N2 fixation in the oligotrophic Mediterranean Sea and the impact of Saharan dust events. Biogeosciences 2011, 8, 2773–2783. [Google Scholar] [CrossRef]
- Vilches, F.O.; Bobinac, M.A.; Labudía, A.C.; Viola, M.N.P.; Marcovecchio, J.E.; Cappozzo, H.L.; Panebianco, M.V. Metals concentration and bioaccumulation in the marine-coastal trophic web from Buenos Aires province southern coast, Argentina. Chem. Ecol. 2019, 35, 501–523. [Google Scholar] [CrossRef]
- Tanaka, M.; Yamaguchi, Y.; Harada, Y.; Tsuchiya, K.; Takaku, Y. As, Cd and Hg in the organs of Todarodes pacificus, Sepia longipes and Sepia madokai in the East China Sea. Ecotoxicol. Environ. Saf. 2017, 145, 103–110. [Google Scholar] [CrossRef]
- Lischka, A.; Braid, H.; Cherel, Y.; Bolstad, K.; Lacoue-Labarthe, T.; Bustamante, P. Influence of sexual dimorphism on stable isotopes and trace element concentrations in the greater hooked squid Moroteuthopsis ingens from New Zealand waters. Mar. Environ. Res. 2020, 159, 104976. [Google Scholar] [CrossRef]
- Le Pabic, C.; Caplat, C.; Lehodey, J.-P.; Milinkovitch, T.; Koueta, N.; Cosson, R.P.; Bustamante, P. Trace metal concentrations in post-hatching cuttlefish Sepia officinalis and consequences of dissolved zinc exposure. Aquat. Toxicol. 2015, 159, 23–35. [Google Scholar] [CrossRef] [PubMed]
- Shalini, R.; Jeyasekaran, G.; Shakila, R.J.; Sundhar, S.; Arisekar, U.; Jawahar, P.; Aanand, S.; Sivaraman, B.; Malini, A.H.; Surya, T. Dietary intake of trace elements from commercially important fish and shellfish of Thoothukudi along the southeast coast of India and implications for human health risk assessment. Mar. Pollut. Bull. 2021, 173 Pt A, 113020. [Google Scholar] [CrossRef]
- Bustamante, P.; Cherel, Y.; Caurant, F.; Miramand, P. Cadmium, copper and zinc in octopuses from Kerguelen Islands, Southern Indian Ocean. Polar Biol. 1998, 19, 264–271. [Google Scholar] [CrossRef]
- Roldán-Wong, N.T.; Kidd, K.A.; Marmolejo-Rodríguez, A.J.; Ceballos-Vázquez, B.P.; Shumilin, E.; Arellano-Martínez, M. Bioaccumulation and biomagnification of potentially toxic elements in the octopus Octopus hubbsorum from the Gulf of California. Mar. Pollut. Bull. 2018, 129, 458–468. [Google Scholar] [CrossRef] [PubMed]
- Ajala, M.; Ben Ameur, W.; Annabi, A. First evidence of the utility of cephalopods for biomonitoring program in the field: Case of Sepia officinalis south west of Mediterranean Sea (Gulf of Gabes, Tunisia). Environ. Sci. Pollut. Res. 2022, 29, 28675–28687. [Google Scholar] [CrossRef] [PubMed]





| Element | Certified | Determined | Recovery% |
|---|---|---|---|
| As | 3.6 ± 0.6 | 3.35 ± 0.5 | 93.1 |
| Co | 0.047 ± 0.006 | 0.043 ± 0.12 | 91.5 |
| Cu | 1.34 ± 0.18 | 1.24 ± 0.09 | 92.5 |
| Cd | 1.06 ± 0.10 | 1.00 ± 0.03 | 94.3 |
| Cr | 0.28 ± 0.07 | 0.28 ± 0.1 | 99.9 |
| Zn | 75 ± 3 | 68 ± 4 | 90.7 |
| Elements | Correlations |
|---|---|
| Cr | - |
| Co | +D and Gi **b |
| Cu | +M and Go *c +M and Gi ***b +D and Gi ***b +Go and Gi *c |
| Zn | +D and Gi ***b |
| As | +M and D ***b +M and Go **b +M and Gi ***b +D and Go **b +D and Gi ***b +Go and Gi **b |
| Cd | +M and Gi ***b |
| Groups | Tissues | Cr | Co | Cu | Zn | As | Cd |
|---|---|---|---|---|---|---|---|
| Mature | mantle | 0.51 (0.38~1.50) | 0.03 (0.02~0.04) | 20.82 (8.25~27.16) | 52.69 (45.31~61.78) | 35.58 (22.95~48.34) | 0.93 (0.40~1.29) |
| Immature | 0.76 (0.49~0.90) | 0.04 (0.02~0.06) | 16.58 (7.13~33.87) | 53.41 (46.86~66.46) | 36.83 (20.39~52.29) | 0.93 (0.47~2.17) | |
| Z | −0.371 | −0.591 | −0.644 | −0.124 | −0.237 | −0.241 | |
| p | 0.725 | 0.569 | 0.534 | 0.915 | 0.827 | 0.825 | |
| Mature | digestive gland | 0.91 (0.67~1.32) | 0.1 (0.09~0.13) | 209.08 (111.48~297.3) | 136.03 (94.54~153.90) | 38.31 (33.9~50.95) | 29.13 (18.40~46.77) |
| Immature | 0.44 (0.28~0.69) | 0.08 (0.05~0.11) | 68.67 (34.36~258.41) | 115.15 (77.97~133.51) | 19.67 (10.8~40.3) | 19.72 (12.31~26.43) | |
| Z | −3.199 | −2.326 | −2.102 | −1.749 | −2.904 | −2.045 | |
| p | 0.001 | 0.019 | 0.036 | 0.083 | 0.003 | 0.049 | |
| Mature | gonads | 0.34 (0.30~0.47) | 0.03 (0.02~0.03) | 46.69 (43.59~88.75) | 85.46 (73.35~186.43) | 40.12 (32.28~59.37) | 1.76 (0.46~2.73) |
| Immature | 0.21 (0.18~0.32) | 0.02 (0.02~0.03) | 35.55 (18.03~71.71) | 90.34 (59.69~131.06) | 23.95 (11.32~32.85) | 1.45 (0.64~4.25) | |
| Z | −2.700 | −1.102 | −2.069 | −1.115 | −3.413 | −0.084 | |
| p | 0.006 | 0.283 | 0.047 | 0.285 | 0.000 | 0.948 | |
| Mature | gills | 1.18 (0.82~1.57) | 0.14 (0.07~0.21) | 112.88 (94.30~123.70) | 97.98 (82.32~103.36) | 34.73(29.69~46.02) | 4.1 (2.58~5.21) |
| Immature | 0.96 (0.47~1.10) | 0.05 (0.03~0.19) | 113.64 (36.51~149.25) | 85.69 (71.97~94.47) | 28.26 (10.28~31.61) | 2.66 (1.92~6.76) | |
| Z | −0.976 | −2.320 | −0.973 | −1.550 | −2.451 | −0.541 | |
| p | 0.345 | 0.020 | 0.345 | 0.127 | 0.013 | 0.606 |
| Species | Tissues | Cr | Co | Cu | Zn | As | Cd | Location | Reference |
|---|---|---|---|---|---|---|---|---|---|
| Uroteuthis edulis | Mantle | 1.11 ± 1.18 | 0.05 ± 0.05 | 37.01 ± 72.74 | 58.45 ± 19.05 | 36.99 ± 20.78 | 2.51 ± 5.54 | East China Sea | This paper |
| Digestive gland | 0.89 ± 0.7 | 0.12 ± 0.17 | 295.78 ± 677.7 | 142.81 ± 154.21 | 43.37 ± 65.12 | 35.7 ± 59.63 | |||
| Gonads | 0.34 ± 0.21 | 0.03 ± 0.01 | 64.28 ± 56.77 | 120.8 ± 86.83 | 31.81 ± 17.57 | 2.98 ± 3.46 | |||
| Gills | 1.44 ± 1.42 | 0.15 ± 0.13 | 109.91 ± 55.04 | 89.07 ± 21.28 | 28.78 ± 12.75 | 4.44 ± 3.00 | |||
| Todarodes pacificus | Digestive gland | - | - | 858 | 160 | 27 | 80.3 | [29] | |
| Sepia longipes | Digestive gland | - | - | 48 | 320 | 113 | 34.3 | ||
| Sepia madokai | Digestive gland | 0.60 | - | 1870 | 480 | 99 | 110.8 | ||
| Ommastrephes pteropus | Digestive gland | 1.75 ± 2.13 | 19.9 ± 15.4 | 152.00 ± 206.0 | 187.00 ± 111.00 | 18.30 ± 11.70 | 748.00 ± 279.00 | Eastern Tropical Atlantic | [25] |
| Moroteuthopsis ingens | Mantle (male) | 0.13 ± 0.06 | 0.07 ± 0.04 | 11.79 ± 7.46 | 69.16 ± 15.05 | 12.48 ± 2.58 | 0.99 ± 0.75 | Chatham Rise | [30] |
| Digestive gland (male) | 0.12 ± 0.03 | 0.17 ± 0.11 | 28.38 ± 34.92 | 42.65 ± 12.25 | 12.59 ± 2.03 | 116.00 ± 267.00 | |||
| Mantle (female) | 0.15 ± 0.13 | 0.06 ± 0.02 | 8.37 ± 4.05 | 66.88 ± 12.30 | 13.66 ± 3.40 | 0.57 ± 0.51 | |||
| Digestive gland (female) | 0.11 ± 0.03 | 0.15 ± 0.13 | 29.84 ± 63.76 | 44.55 ± 26.80 | 11.10 ± 1.71 | 52.90 ± 103 | |||
| Nototodarus gouldi | Mantle | 0.26 ± 0.13 | 0.50 ± 0.65 | 25.4 ± 18.3 | 64.2 ± 8.89 | 29.9 ± 17.7 | 0.81 ± 0.51 | New Zealand waters | [30] |
| Digestive gland | 5.00 | 1.99 ± 1.31 | 1185 ± 1008 | 351 ± 307 | 29.4 ± 14.3 | 194 ± 214 | |||
| Nototodarus sloanii | Mantle | 0.32 ± 0.36 | 0.36 ± 0.56 | 23.3 ± 18 | 55.4 ± 11.8 | 11.9 ± 9.54 | 0.65 ± 0.46 | ||
| Digestive gland | 0.35 ± 0.26 | 0.89 ± 0.87 | 352 ± 581 | 77.7 ± 68.6 | 11.3 ± 5.08 | 89.3 ± 86.3 | |||
| Gonatus fabricii | Mantle (male) | 0.28 | 0.03 | 18.80 | 54.00 | 26.30 | - | Disko Island | [30] |
| Digestive gland (male) | 0.12 | 0.12 | 138.00 | 56.50 | 10.25 | 31.79 | |||
| Mantle (female) | 0.32 | 0.04 | 26.30 | 90.60 | 22.31 | - | |||
| Digestive gland (female) | 0.10 | 0.17 | 124.00 | 74.00 | 10.18 | 31.57 | |||
| Mantle (young) | 0.99 | 0.06 | 11.50 | 91.70 | 6.06 | - | |||
| Digestive gland (young) | 1.68 | 0.29 | 14.10 | 136.00 | 6.68 | 41.60 | |||
| Uroteuthis sibogae | Mantle | - | - | - | - | 1.10 ± 0.43 | 0.187 ± 0.30 | Manaar Bay | [32] |
| Digestive gland | - | - | - | - | 2.66 ± 1.56 | 7.33 ± 9.00 | |||
| Gills | - | - | - | - | 2.02 ± 0.80 | 0.754 ± 0.80 | |||
| Sepia pharaonis | Mantle | - | - | - | - | 9.19 ± 10.6 | 0.055 ± 0.03 | ||
| Digestive gland | - | - | - | - | 8.02 ± 6.61 | 69.9 ± 30.8 | |||
| Gills | - | - | - | - | 7.17 ± 4.93 | 0.295 ± 0.19 | |||
| Octopus hubbsorum | Mantle | <0.12 | <0.15 | 25 | 58 | 37 | <0.13 | Santa Rosalia | [34] |
| Digestive gland | 0.24 | 50 | 3296 | 877 | 43 | 76.00 | |||
| Gills | 0.28 | 2.20 | 136 | 87 | 33 | 0.70 | |||
| Mantle | <0.12 | <0.15 | 20 | 64 | 65 | <0.13 | La Paz | ||
| Digestive gland | 0.49 | 6.00 | 2104 | 802 | 46 | 53.00 | |||
| Gills | 0.24 | 0.2 | 130 | 80 | 47 | 0.40 | |||
| Sepia officinalis | Mantle | - | - | 0.115 ± 0.03 | 15.409 ± 3.9 | - | 0.153 ± 0.019 | Gabes Bay, Gilbert Island | [35] |
| Digestive gland | - | - | 3.538 ± 0.7 | 2.7 ± 0.5 | - | 0.043 ± 0.02 | |||
| Gonads | - | - | 0.732 ± 0.2 | 10.724 ± 1.9 | - | 0.101 ± 0.04 | |||
| Gills | - | - | 3.041 ± 0.7 | 1.04 ± 0.2 | - | 0.032 ± 0.01 | |||
| Mantle | - | - | 0.45 ± 0.03 | 20.814 ± 7.6 | - | 0.185 ± 0.06 | Gabes Bay, Gargour | ||
| Digestive gland | - | - | 12.144 ± 2.4 | 4.397 ± 1.1 | - | - | |||
| Gonads | - | - | 0.82 ± 0.5 | 27.048 ± 7.3 | - | 0.272 ± 0.04 | |||
| Gills | - | - | 2.06 ± 0.63 | 1.646 ± 0.4 | - | 0.091 ± 0.02 |
Disclaimer/Publisher’s Note: The statements, opinions and data contained in all publications are solely those of the individual author(s) and contributor(s) and not of MDPI and/or the editor(s). MDPI and/or the editor(s) disclaim responsibility for any injury to people or property resulting from any ideas, methods, instructions or products referred to in the content. |
© 2024 by the authors. Licensee MDPI, Basel, Switzerland. This article is an open access article distributed under the terms and conditions of the Creative Commons Attribution (CC BY) license (https://creativecommons.org/licenses/by/4.0/).
Share and Cite
Li, M.; Zhang, B.; Fang, Z. Bioaccumulation of Arsenic, Cadmium, Chromium, Cobalt, Copper, and Zinc in Uroteuthis edulis from the East China Sea. Toxics 2024, 12, 496. https://doi.org/10.3390/toxics12070496
Li M, Zhang B, Fang Z. Bioaccumulation of Arsenic, Cadmium, Chromium, Cobalt, Copper, and Zinc in Uroteuthis edulis from the East China Sea. Toxics. 2024; 12(7):496. https://doi.org/10.3390/toxics12070496
Chicago/Turabian StyleLi, Mengqi, Baihao Zhang, and Zhou Fang. 2024. "Bioaccumulation of Arsenic, Cadmium, Chromium, Cobalt, Copper, and Zinc in Uroteuthis edulis from the East China Sea" Toxics 12, no. 7: 496. https://doi.org/10.3390/toxics12070496
APA StyleLi, M., Zhang, B., & Fang, Z. (2024). Bioaccumulation of Arsenic, Cadmium, Chromium, Cobalt, Copper, and Zinc in Uroteuthis edulis from the East China Sea. Toxics, 12(7), 496. https://doi.org/10.3390/toxics12070496

