Water Quality Assessment and Decolourisation of Contaminated Ex-Mining Lake Water Using Bioreactor Dye-Eating Fungus (BioDeF) System: A Real Case Study
Abstract
1. Introduction
2. Materials and Methods
2.1. Description of the Study Site and Sampling Locations
2.2. Water Samples and Analysis
2.3. Water Quality Index
2.4. Water Treatment Using Bioreactor Dye-Eating Fungus (BioDeF)
3. Results
3.1. Water Quality Parameters
3.1.1. Physico-Chemical Characteristics
3.1.2. Heavy Metals Content
3.1.3. Microbiological Content
3.2. Water Quality Index Classification
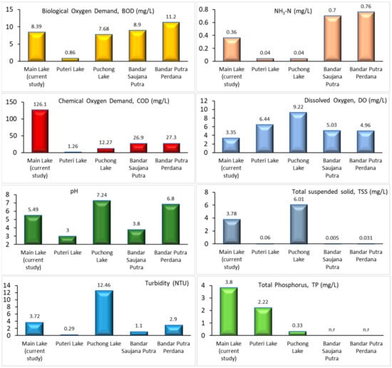
3.3. Comparison of Water Quality Parameters with the Literature
3.4. Potential Utilization of Bioreactor Dye-Eating Fungus (BioDeF)
4. Challenges, Current Perspectives, and Future Work
5. Conclusions
Author Contributions
Funding
Institutional Review Board Statement
Informed Consent Statement
Data Availability Statement
Acknowledgments
Conflicts of Interest
References
- Mustapha, K.M. Assessment of the Water Quality of Oyun Reservoir, Offa, Nigeria, Using Selected Physico-Chemical Parameters. Turk. J. Fish. Aquat. Sci. 2008, 8, 309–319. [Google Scholar]
- Akongyuure, D.N.; Alhassan, E.H. Variation of Water Quality Parameters and Correlation among Them and Fish Catch per Unit Effort of the Tono Reservoir in Northern Ghana. J. Freshw. Ecol. 2021, 36, 253–269. [Google Scholar] [CrossRef]
- Munavalli, G.R.; Mohan Kumar, M.S. Water Quality Parameter Estimation in a Distribution System under Dynamic State. Water Res. 2005, 39, 4287–4298. [Google Scholar] [CrossRef]
- Barzani Gasim, M.; Ikhwan Toriman, M.; Abd Rahim, S.; Sujaul Islam, M. Hydrology and Water Quality and Land-use Assessment of Tasik Chini’s Feeder Rivers, Pahang Malaysia. Geogr. Malays. J. Soc. Space 2006, 3, 1–16. [Google Scholar]
- Khatri, N.; Tyagi, S. Influences of Natural and Anthropogenic Factors on Surface and Groundwater Quality in Rural and Urban Areas. Front. Life Sci. 2015, 8, 23–39. [Google Scholar] [CrossRef]
- Haan, T.Y.; Wahab Mohammad, A.; Sajab, M.S.; Ramli, S.; Mohamad Mazuki, N.I. Potensi Teknologi Membran Untuk Rawatan Dan Penggunaan Semula Air Dari Tasik Lombong Lama. Sains Malays. 2018, 47, 2887–2897. [Google Scholar] [CrossRef]
- Koki, I.B.; Md Zain, S.; Low, K.H.; Azid, A.; Juahir, H.; Abdul Zali, M. View of Development of Water Quality Index of Ex-Mining Ponds in Malaysia. Available online: https://mjfas.utm.my/index.php/mjfas/article/view/1079/pdf (accessed on 28 December 2023).
- Ashraf, M.A.; Maah, M.J.; Yusoff, I. Analysis of Physio-Chemical Parameters and Distribution of Heavy Metals in Soil and Water of Ex-Mining Area of Bestari Jaya, Peninsular Malaysia. Asian J. Chem. 2011, 23, 3493–3499. [Google Scholar]
- Gautam, R.K.; Sharma, S.K.; Mahiya, S.; Chattopadhyaya, M.C. CHAPTER 1: Contamination of Heavy Metals in Aquatic Media: Transport, Toxicity and Technologies for Remediation. In Heavy Metals in Water; Royal Society of Chemistry: Cambridge, UK, 2014; pp. 1–24. [Google Scholar]
- Tchounwou, P.B.; Yedjou, C.G.; Patlolla, A.K.; Sutton, D.J. Heavy Metal Toxicity and the Environment. In Molecular, Clinical and Environmental Toxicology; Springer: Basel, Switzerland, 2012; Volume 101, pp. 133–164. [Google Scholar]
- Briffa, J.; Sinagra, E.; Blundell, R. Heavy Metal Pollution in the Environment and Their Toxicological Effects on Humans. Heliyon 2020, 6, e04691. [Google Scholar] [CrossRef]
- Souza, A.M.; Salviano, A.M.; Melo, J.F.B.; Felix, W.P.; Belém, C.S.; Ramos, P.N. Seasonal Study of Concentration of Heavy Metals in Waters from Lower São Francisco River Basin, Brazil. Braz. J. Biol. 2016, 76, 967–974. [Google Scholar] [CrossRef]
- Latif, W.; Ciniglia, C.; Iovinella, M.; Shafiq, M.; Papa, S. Role of White Rot Fungi in Industrial Wastewater Treatment: A Review. Appl. Sci. 2023, 13, 8318. [Google Scholar] [CrossRef]
- Espinosa-Ortiz, E.J.; Shakya, M.; Jain, R.; Rene, E.R.; van Hullebusch, E.D.; Lens, P.N.L. Sorption of Zinc onto Elemental Selenium Nanoparticles Immobilized in Phanerochaete Chrysosporium Pellets. Environ. Sci. Pollut. Res. Int. 2016, 23, 21619–21630. [Google Scholar] [CrossRef]
- Stenholm, Å.; Hedeland, M.; Pettersson, C.E. Neomycin Removal Using the White Rot Fungus Trametes Versicolor. J. Environ. Sci. Health Part A Tox Hazard. Subst. Environ. Eng. 2022, 57, 436–447. [Google Scholar] [CrossRef] [PubMed]
- Si, J.; Cui, B.K.; Dai, Y.C. Decolorization of Chemically Different Dyes by White-Rot Fungi in Submerged Cultures. Ann. Microbiol. 2013, 63, 1099–1108. [Google Scholar] [CrossRef]
- Teerapatsakul, C.; Pothiratana, C.; Chitradon, L.; Thachepan, S. Biodegradation of Polycyclic Aromatic Hydrocarbons by a Thermotolerant White Rot Fungus Trametes Polyzona RYNF13. J. Gen. Appl. Microbiol. 2016, 62, 303–312. [Google Scholar] [CrossRef] [PubMed]
- Nguyen, L.N.; Hai, F.I.; Yang, S.; Kang, J.; Leusch, F.D.L.; Roddick, F.; Price, W.E.; Nghiem, L.D. Removal of Pharmaceuticals, Steroid Hormones, Phytoestrogens, UV-Filters, Industrial Chemicals and Pesticides by Trametes Versicolor: Role of Biosorption and Biodegradation. Int. Biodeterior. Biodegrad. 2014, 88, 169–175. [Google Scholar] [CrossRef]
- Magnoli, K.; Carranza, C.; Aluffi, M.; Magnoli, C.; Barberis, C. Fungal Biodegradation of Chlorinated Herbicides: An Overview with an Emphasis on 2,4-D in Argentina. Biodegradation 2023, 34, 199–214. [Google Scholar] [CrossRef]
- Wan Mohtar, W.H.M.; Wan-Mohtar, W.A.A.Q.I.; Zahuri, A.A.; Ibrahim, M.F.; Show, P.L.; Ilham, Z.; Jamaludin, A.A.; Abdul Patah, M.F.; Ahmad Usuldin, S.R.; Rowan, N. Role of Ascomycete and Basidiomycete Fungi in Meeting Established and Emerging Sustainability Opportunities: A Review. Bioengineered 2022, 13, 14903–14935. [Google Scholar] [CrossRef]
- Yaashikaa, P.R.; Kumar, P.S.; Saravanan, A.; Vo, D.V.N. Advances in Biosorbents for Removal of Environmental Pollutants: A Review on Pretreatment, Removal Mechanism and Future Outlook. J. Hazard. Mater. 2021, 420, 126596. [Google Scholar] [CrossRef]
- Dhankhar, R.; Hooda, A. Fungal Biosorption-an Alternative to Meet the Challenges of Heavy Metal Pollution in Aqueous Solutions. Environ. Technol. 2011, 32, 467–491. [Google Scholar] [CrossRef]
- Manan, S.; Ullah, M.W.; Ul-Islam, M.; Atta, O.M.; Yang, G. Synthesis and Applications of Fungal Mycelium-Based Advanced Functional Materials. J. Bioresour. Bioprod. 2021, 6, 1–10. [Google Scholar] [CrossRef]
- Usuldin, S.R.A.; Ilham, Z.; Jamaludin, A.A.; Ahmad, R.; Wan-Mohtar, W.A.A.Q.I. Enhancing Biomass-Exopolysaccharides Production of Lignosus Rhinocerus in a High-Scale Stirred-Tank Bioreactor and Its Potential Lipid as Bioenergy. Energies 2023, 16, 2330. [Google Scholar] [CrossRef]
- Okoro, H.K.; Pandey, S.; Ogunkunle, C.O.; Ngila, C.J.; Zvinowanda, C.; Jimoh, I.; Lawal, I.A.; Orosun, M.M.; Adeniyi, A.G. Nanomaterial-Based Biosorbents: Adsorbent for Efficient Removal of Selected Organic Pollutants from Industrial Wastewater. Emerg. Contam. 2022, 8, 46–58. [Google Scholar] [CrossRef]
- Legorreta-Castañeda, A.J.; Lucho-Constantino, C.A.; Beltrán-Hernández, R.I.; Coronel-Olivares, C.; Vázquez-Rodríguez, G.A. Biosorption of Water Pollutants by Fungal Pellets. Water 2020, 12, 1155. [Google Scholar] [CrossRef]
- National Hydraulic Research Institute of Malaysia (NAHRIM), Ministry of Natural Resources and Environment (NRE). National Lake Water Quality Criteria and Standards; National Hydraulic Research Institute of Malaysia (NAHRIM), Ministry of Natural Resources and Environment (NRE): Seri Kembangan, Malaysia, 2015. [Google Scholar]
- Standard-Kualiti-Air-Sungai-Kebangsaan-Dan-Indeks. Environmental Quality Report 2020; DOE-WQI, Department of Environment Malaysia: Putrajaya, Malaysia, 2020. [Google Scholar]
- Supramani, S.; Ahmad, R.; Ilham, Z.; Annuar, M.S.M.; Klaus, A.; Wan-Mohtar, W.A.A.Q.I. Optimisation of Biomass, Exopolysaccharide and Intracellular Polysaccharide Production from the Mycelium of an Identified Ganoderma Lucidum Strain QRS 5120 Using Response Surface Methodology. AIMS Microbiol. 2019, 5, 19. [Google Scholar] [CrossRef] [PubMed]
- Wan Mohtar, W.A.A.Q.I.; Latif, N.A.; Harvey, L.M.; McNeil, B. Production of Exopolysaccharide by Ganoderma Lucidum in a Repeated-Batch Fermentation. Biocatal. Agric. Biotechnol. 2016, 6, 91–101. [Google Scholar] [CrossRef]
- McCullough, C.D.; Lund, M.A. Bioremediation of Acidic and Metalliferous Drainage (AMD) through Organic Carbon Amendment by Municipal Sewage and Green Waste. J. Environ. Manag. 2011, 92, 2419–2426. [Google Scholar] [CrossRef]
- Huang, Y.F.; Ang, S.Y.; Lee, K.M.; Lee, T.S. Quality of Water Resources in Malaysia. In Research and Practices in Water Quality; InTech: London, UK, 2015. [Google Scholar]
- Safwan Miswan, M.; Maya Saphira Radin Mohamed, R.; Ali Saeed Al-Gheethi, A.; Hashim Mohd Kassim, A. Preliminary Assessment of Teknologi Lake Quality Status at Universiti Tun Hussein Onn Malaysia (UTHM) Campus in Parit Raja, Johor, Malaysia. IOP Conf. Ser. Mater. Sci. Eng. 2019, 601, 012013. [Google Scholar] [CrossRef]
- Wetzel, R.G. Limnology. Lake and River Ecosystems, 3rd ed.; Elsevier: London, UK, 2001; ISBN 9780127447605. [Google Scholar]
- Bhateria, R.; Jain, D. Water Quality Assessment of Lake Water: A Review. Sustain. Water Resour. Manag. 2016, 2, 161–173. [Google Scholar] [CrossRef]
- Sobhanardakani, S.; Tayebi, L.; Farmany, A. Toxic Metal (Pb, Hg and As) Contamination of Muscle, Gill and Liver Tissues of Otolithes Rubber, Pampus Argenteus, Parastromateus Niger, Scomberomorus Commerson and Onchorynchus Mykiss. World Appl. Sci. J. 2011, 14, 1453–1456. [Google Scholar]
- Sibal, L.N.; Espino, M.P.B. Heavy Metals in Lake Water: A Review on Occurrence and Analytical Determination. Int. J. Environ. Anal. Chem. 2018, 98, 536–554. [Google Scholar] [CrossRef]
- Suthar, S.; Nema, A.K.; Chabukdhara, M.; Gupta, S.K. Assessment of Metals in Water and Sediments of Hindon River, India: Impact of Industrial and Urban Discharges. J. Hazard. Mater. 2009, 171, 1088–1095. [Google Scholar] [CrossRef] [PubMed]
- Fakayode, S.O.; Walgama, C.; Fernand Narcisse, V.E.; Grant, C. Electrochemical and Colorimetric Nanosensors for Detection of Heavy Metal Ions: A Review. Sensors 2023, 23, 9080. [Google Scholar] [CrossRef] [PubMed]
- Sim, S.F.; Ling, T.Y.; Nyanti, L.; Gerunsin, N.; Wong, Y.E.; Kho, L.P. Assessment of Heavy Metals in Water, Sediment, and Fishes of a Large Tropical Hydroelectric Dam in Sarawak, Malaysia. J. Chem. 2016, 2016, 8923183. [Google Scholar] [CrossRef]
- Sulaiman, N.H.; Khalit, S.I.; Sharip, Z.; Samsudin, S.; Azid, A. Seasonal Variations of Water Quality and Heavy Metals in Two Ex-Mining Lake Using Chemometric Assessment Approach. Malays. J. Fundam. Appl. Sci. 2018, 14, 67–72. [Google Scholar]
- Ahmad, R. Water Quality Study of Paya Indah Wetlands. Master’s Thesis, Universiti Malaya, Kuala Lumpur, Malaysia, 2010. [Google Scholar]
- Akhtar, N.; Mannan, M.A.-u. Mycoremediation: Expunging Environmental Pollutants. Biotechnol. Rep. 2020, 26, e00452. [Google Scholar] [CrossRef]
- Binupriya, A.R.; Sathishkumar, M.; Swaminathan, K.; Jeong, E.S.; Yun, S.E.; Pattabi, S. Biosorption of Metal Ions from Aqueous Solution and Electroplating Industry Wastewater by Aspergillus Japonicus: Phytotoxicity Studies. Bull. Environ. Contam. Toxicol. 2006, 77, 219–227. [Google Scholar] [CrossRef] [PubMed]
- Fu, Y.Q.; Li, S.; Zhu, H.Y.; Jiang, R.; Yin, L.F. Biosorption of Copper (II) from Aqueous Solution by Mycelial Pellets of Rhizopus oryzae. Afr. J. Biotechnol. 2012, 11, 1403–1411. [Google Scholar] [CrossRef]
- Bayramoglu, G.; Yakup Arica, M. Amidoxime Functionalized Trametes Trogii Pellets for Removal of Uranium(VI) from Aqueous Medium. J. Radioanal. Nucl. Chem. 2016, 307, 373–384. [Google Scholar] [CrossRef]
- Bayramoglu, G.; Gursel, I.; Tunali, Y.; Arica, M.Y. Biosorption of Phenol and 2-Chlorophenol by Funalia Trogii Pellets. Bioresour. Technol. 2009, 100, 2685–2691. [Google Scholar] [CrossRef]
- Bosso, L.; Lacatena, F.; Cristinzio, G.; Cea, M.; Diez, M.C.; Rubilar, O. Biosorption of Pentachlorophenol by Anthracophyllum Discolor in the Form of Live Fungal Pellets. New Biotechnol. 2015, 32, 21–25. [Google Scholar] [CrossRef]
- Lu, T.; Zhang, Q.; Yao, S. Efficient Decolorization of Dye-Containing Wastewater Using Mycelial Pellets Formed of Marine-Derived Aspergillus Niger. Chin. J. Chem. Eng. 2017, 25, 330–337. [Google Scholar] [CrossRef]
- Kaushik, P.; Mishra, A.; Malik, A.; Pant, K.K. Biosorption of Textile Dye by Aspergillus Lentulus Pellets: Process Optimization and Cyclic Removal in Aerated Bioreactor. Water Air Soil. Pollut. 2014, 225, 1978. [Google Scholar] [CrossRef]
- Yesilada, O.; Yildirim, S.C.; Birhanli, E.; Apohan, E.; Asma, D.; Kuru, F. The Evaluation of Pre-Grown Mycelial Pellets in Decolorization of Textile Dyes during Repeated Batch Process. World J. Microbiol. Biotechnol. 2010, 26, 33–39. [Google Scholar] [CrossRef]
- Mir-Tutusaus, J.A.; Sarrà, M. Fungal Reactors: A Solution for the Removal of Pharmaceuticals in Urban and Hospital Wastewater. In Removal and Degradation of Pharmaceutically Active Compounds in Wastewater Treatment; Springer: Cham, Switzerland, 2021; Volume 108, pp. 145–162. [Google Scholar]
- D’enginyeria, E.; Hu, K. Developing and Scaling up a Trickle Bed Reactor for Degrading Pesticides from Agricultural Wastewater by Fungi; Universitat Autònoma de Barcelona: Bellaterra, Spain, 2021. [Google Scholar]
- Sodaneath, H.; Lee, J.I.; Yang, S.O.; Jung, H.; Ryu, H.W.; Cho, K.S. Decolorization of Textile Dyes in an Air-Lift Bioreactor Inoculated with Bjerkandera Adusta OBR105. J. Environ. Sci. Health Part A Tox Hazard. Subst. Environ. Eng. 2017, 52, 1099–1111. [Google Scholar] [CrossRef]
- Yang, S.-O.; Sodaneath, H.; Lee, J.-I.; Jung, H.; Choi, J.-H.; Ryu, H.W.; Cho, K.-S. Decolorization of Acid, Disperse and Reactive Dyes by Trametes Versicolor CBR43. J. Environ. Sci. Health Part A 2017, 52, 862–872. [Google Scholar] [CrossRef]
- Zhang, F.M.; Knapp, J.S.; Tapley, K.N. Decolourisation of Cotton Bleaching Effluent with Wood Rotting Fungus. Water Res. 1999, 33, 919–928. [Google Scholar] [CrossRef]
- Park, C.; Lee, M.; Lee, B.; Kim, S.W.; Chase, H.A.; Lee, J.; Kim, S. Biodegradation and Biosorption for Decolorization of Synthetic Dyes by Funalia Trogii. Biochem. Eng. J. 2007, 36, 59–65. [Google Scholar] [CrossRef]
- Bhattacharya, S.; Das, A.; Mangai, G.; Vignesh, K.; Sangeetha, J. Mycoremediation of Congo Red Dye by Filamentous Fungi. Braz. J. Microbiol. 2011, 42, 1526. [Google Scholar] [CrossRef]
- Hanafiah, Z.M.; Wan Mohtar, W.H.M.; Hasan, H.A.; Jensen, H.S.; Klaus, A.; Sharil, S.; Wan-Mohtar, W.A.A.Q.I. Ability of Ganoderma Lucidum Mycelial Pellets to Remove Ammonia and Organic Matter from Domestic Wastewater. Int. J. Environ. Sci. Technol. 2022, 19, 7307–7320. [Google Scholar] [CrossRef]
- Mooralitharan, S.; Mohd Hanafiah, Z.; Abd Manan, T.S.B.; Muhammad-Sukki, F.; Wan-Mohtar, W.A.A.Q.I.; Wan Mohtar, W.H.M. Vital Conditions to Remove Pollutants from Synthetic Wastewater Using Malaysian Ganoderma Lucidum. Sustainability 2023, 15, 3819. [Google Scholar] [CrossRef]
- Dhiman, N.; Chaudhary, S.; Singh, A.; Chauhan, A.; Kumar, R. Sustainable Degradation of Pharmaceutical Waste Using Different Fungal Strains: Enzyme Induction, Kinetics and Isotherm Studies. Environ. Technol. Innov. 2022, 25, 102156. [Google Scholar] [CrossRef]
- Mir-Tutusaus, J.A.; Baccar, R.; Caminal, G.; Sarrà, M. Can White-Rot Fungi Be a Real Wastewater Treatment Alternative for Organic Micropollutants Removal? A Review. Water Res. 2018, 138, 137–151. [Google Scholar] [CrossRef] [PubMed]
- Mohd Hanafiah, Z.; Wan Mohtar, W.H.M.; Abu Hasan, H.; Jensen, H.S.; Klaus, A.; Wan-Mohtar, W.A.A.Q.I. Performance of Wild-Serbian Ganoderma Lucidum Mycelium in Treating Synthetic Sewage Loading Using Batch Bioreactor. Sci. Rep. 2019, 9, 16109. [Google Scholar] [CrossRef]
- Wan-Mohtar, W.A.A.Q.I.; Viegelmann, C.; Klaus, A.; Lim, S.A.H. Antifungal-Demelanizing Properties and RAW264.7 Macrophages Stimulation of Glucan Sulfate from the Mycelium of the Mushroom Ganoderma Lucidum. Food Sci. Biotechnol. 2017, 26, 159–165. [Google Scholar] [CrossRef] [PubMed]
- Valverde, M.E.; Hernández-Pérez, T.; Paredes-López, O. Edible Mushrooms: Improving Human Health and Promoting Quality Life. Int. J. Microbiol. 2015, 2015, 376387. [Google Scholar] [CrossRef] [PubMed]
- Karimi, S.; Mahboobi Soofiani, N.; Mahboubi, A.; Ferreira, J.A.; Lundh, T.; Kiessling, A.; Taherzadeh, M.J. Evaluation of Nutritional Composition of Pure Filamentous Fungal Biomass as a Novel Ingredient for Fish Feed. Fermentation 2021, 7, 152. [Google Scholar] [CrossRef]
- Pereira, J.C.V.; Serbent, M.P.; Skoronski, E. Application of Immobilized Mycelium-Based Pellets for the Removal of Organochlorine Compounds: A Review. Water Sci. Technol. 2021, 83, 1781–1796. [Google Scholar] [CrossRef]
- Deshmukh, R.; Khardenavis, A.A.; Purohit, H.J. Diverse Metabolic Capacities of Fungi for Bioremediation. Indian. J. Microbiol. 2016, 56, 247. [Google Scholar] [CrossRef]
- Alvarenga, N.; Birolli, W.G.; Seleghim, M.H.R.; Porto, A.L.M. Biodegradation of Methyl Parathion by Whole Cells of Marine-Derived Fungi Aspergillus Sydowii and Penicillium Decaturense. Chemosphere 2014, 117, 47–52. [Google Scholar] [CrossRef]
- Spennati, F.; La China, S.; Siracusa, G.; Di Gregorio, S.; Bardi, A.; Tigini, V.; Mori, G.; Gabriel, D.; Munz, G. Tannery Wastewater Recalcitrant Compounds Foster the Selection of Fungi in Non-Sterile Conditions: A Pilot Scale Long-Term Test. Int. J. Environ. Res. Public. Health 2021, 18, 6348. [Google Scholar] [CrossRef]
- Anastasi, A.; Spina, F.; Prigione, V.; Tigini, V.; Giansanti, P.; Varese, G.C. Scale-up of a Bioprocess for Textile Wastewater Treatment Using Bjerkandera Adusta. Bioresour. Technol. 2010, 101, 3067–3075. [Google Scholar] [CrossRef]






| Parameters | Unit | Class | ||||
|---|---|---|---|---|---|---|
| I | II | III | IV | V | ||
| pH | - | >7 | 6–7 | 5–6 | <5 | >5 |
| DO | mg/L | >7 | 5–7 | 3–5 | 1–3 | <1 |
| BOD | mg/L | <1 | 1–3 | 3–6 | 6–12 | >12 |
| COD | mg/L | <10 | 10–25 | 25–50 | 50–100 | >100 |
| SS | mg/L | <25 | 25–50 | 50–150 | 150–300 | >300 |
| NH3–N | mg/L | <0.1 | 0.1–0.3 | 0.3–0.9 | 0.9–2.7 | >2.7 |
| WQI | - | >92.7 | 76.5–92.7 | 51.9–76.5 | 31–51.9 | <31 |
| Percentage of WQI (%) | Water Quality Status |
|---|---|
| 80–100 | Clean water |
| 60–79 | Slightly polluted water |
| 0–59 | Polluted water |
| Parameters | Mean ± SD | NLWQS | |
|---|---|---|---|
| Category A | Category B | ||
| Temperature (°C) | 29.17 ± 0.2 | 28 | 28 |
| pH | 5.49 ± 0.1 | 6.5–8.5 | 6.5–8.5 |
| Colour (TCU) | 874.67 ± 3.7 | 100–200 | 150–300 |
| EC (µS/cm) | 55.08 ± 9.1 | 1000 | 1000 |
| Salinity (ppt) | 0.04 ± 0.002 | nvd | nvd |
| DO (mg/L) | 3.35 ± 0.5 | 6.3–7.8 | 5.5–8.7 |
| DO (%) | 40.48 ± 5.9 | 80–100 | 70–110 |
| TSS (mg/L) | 3.78 ± 1.1 | <100 | 100–500 |
| Turbidity (NTU) | 3.72 ± 0.3 | 40 | 40–170 |
| Transparency (m) | 0.30 ± 0.02 | >0.6 | >0.6 |
| Oil and Grease (mg/L) | <1 | 1.5 | 1.5 |
| BOD5 (mg/L) | 8.39 ± 0.1 | 3 | 6 |
| COD (mg/L) | 126.1 ± 1.3 | 10 | 25 |
| NH3–N (mg/L) | 0.36 ± 0.03 | 0.1 | 0.3 |
| NO3–N (mg/L) | 6.00 ± 1.0 | 7 | 7 |
| TP (mg/L) | 3.80 ± 0.4 | 0.01 | 0.035 |
| Elements | Mean ± SD (mg/L) | NLWQS | |
|---|---|---|---|
| Category A (mg/L) | Category B (mg/L) | ||
| Arsenic (As) | 0.0022 ± 0.0001 | 0.05 | 0.10 |
| Cadmium (Cd) | 0.0001 ± 0.0001 | 0.002 | 0.002 |
| Lead (Pb) | 0.0054 ± 0.0008 | 0.05 | 0.05 |
| Nickel (Ni) | 0.0024 ± 0.0004 | 0.02 | 0.02 |
| Iron (Fe) | 3.2422 ± 0.2533 | 1.00 | 1.00 |
| Magnesium (Mg) | 1.8178 ± 0.0967 | 150 | 150 |
| Manganese (Mn) | 0.0673 ± 0.0020 | 0.10 | 0.10 |
| Copper (Cu) | 0.0452 ± 0.0043 | 0.02 | 0.02 |
| Zinc (Zn) | 0.0928 ± 0.0210 | 3.00 | 3.00 |
| Chromium (Cr) | 0.0083 ± 0.0014 | 0.05 | 0.05 |
| Sulfur (S) | 0.3880 ± 0.1667 | 0.05 | 0.05 |
| Microbiological | Unit | Water Sample | NLWQS | |
|---|---|---|---|---|
| Category A | Category B | |||
| Chlorophyll-a | µg/L | 16.7 | 10 | 15 |
| Clostridium perfringens | Count/mL | <1 | nd | nd |
| Total Coliform | Count/100 mL | 176 | 5000 | 5000 |
| Total E. coli | Count/100 mL | <1 | 100 | 600 |
| Giardia lamblia | Absent/present | Absent | nd | nd |
| Leptospira interrogans | Absent/present | Absent | nd | nd |
| Cryptosporidium sp. | Absent/present | Absent | nd | nd |
| Enterococci | Count/100 mL | <1 | 33 | 230 |
| Cyanobacteria | Cells/mL | 3230 | 15,000 | 15,000 |
| Water Quality Index (WQI) | WQI | WQI quality status: Polluted water | ||||||
| SIDO | SIBOD | SICOD | SIAN | SISS | SIpH | |||
| Main Lake | 35.64 | 67.25 | 9.18 | 68.29 | 95.23 | 74.06 | 56.45 | |
| Class | III | IV | V | III | I | III | III | |
| Parameters | December 2006–February 2007 [42] | March 2022 (Current) |
|---|---|---|
| pH | 4.60 ± 0.2 | 5.49 ± 0.1 |
| DO (mg/L) | 2.99 ± 1.0 | 3.35 ± 0.5 |
| BOD (mg/L) | 5.60 ± 2.7 | 8.39 ± 0.1 |
| COD (mg/L) | 97.70 ± 4.8 | 126.1 ± 1.3 |
| TSS (mg/L) | 45.70 ± 57.4 | 3.78 ± 1.1 |
| NH3–N (mg/) | 0.50 ± 0.29 | 0.36 ± 0.03 |
| Fe (mg/L) | 4.28 | 3.2422 ± 0.2533 |
| Mn (mg/L) | 0.045 | 0.0673 ± 0.0020 |
| WQI value (class) | 52.9 (III) | 56.45 (III) |
Disclaimer/Publisher’s Note: The statements, opinions and data contained in all publications are solely those of the individual author(s) and contributor(s) and not of MDPI and/or the editor(s). MDPI and/or the editor(s) disclaim responsibility for any injury to people or property resulting from any ideas, methods, instructions or products referred to in the content. |
© 2024 by the authors. Licensee MDPI, Basel, Switzerland. This article is an open access article distributed under the terms and conditions of the Creative Commons Attribution (CC BY) license (https://creativecommons.org/licenses/by/4.0/).
Share and Cite
Hanafiah, Z.M.; Azmi, A.R.; Wan-Mohtar, W.A.A.Q.I.; Olivito, F.; Golemme, G.; Ilham, Z.; Jamaludin, A.A.; Razali, N.; Halim-Lim, S.A.; Wan Mohtar, W.H.M. Water Quality Assessment and Decolourisation of Contaminated Ex-Mining Lake Water Using Bioreactor Dye-Eating Fungus (BioDeF) System: A Real Case Study. Toxics 2024, 12, 60. https://doi.org/10.3390/toxics12010060
Hanafiah ZM, Azmi AR, Wan-Mohtar WAAQI, Olivito F, Golemme G, Ilham Z, Jamaludin AA, Razali N, Halim-Lim SA, Wan Mohtar WHM. Water Quality Assessment and Decolourisation of Contaminated Ex-Mining Lake Water Using Bioreactor Dye-Eating Fungus (BioDeF) System: A Real Case Study. Toxics. 2024; 12(1):60. https://doi.org/10.3390/toxics12010060
Chicago/Turabian StyleHanafiah, Zarimah Mohd, Ammar Radzi Azmi, Wan Abd Al Qadr Imad Wan-Mohtar, Fabrizio Olivito, Giovanni Golemme, Zul Ilham, Adi Ainurzaman Jamaludin, Nadzmin Razali, Sarina Abdul Halim-Lim, and Wan Hanna Melini Wan Mohtar. 2024. "Water Quality Assessment and Decolourisation of Contaminated Ex-Mining Lake Water Using Bioreactor Dye-Eating Fungus (BioDeF) System: A Real Case Study" Toxics 12, no. 1: 60. https://doi.org/10.3390/toxics12010060
APA StyleHanafiah, Z. M., Azmi, A. R., Wan-Mohtar, W. A. A. Q. I., Olivito, F., Golemme, G., Ilham, Z., Jamaludin, A. A., Razali, N., Halim-Lim, S. A., & Wan Mohtar, W. H. M. (2024). Water Quality Assessment and Decolourisation of Contaminated Ex-Mining Lake Water Using Bioreactor Dye-Eating Fungus (BioDeF) System: A Real Case Study. Toxics, 12(1), 60. https://doi.org/10.3390/toxics12010060

