Effect of Aging on Physicochemical Properties and Size Distribution of PET Microplastic: Influence on Adsorption of Diclofenac and Toxicity Assessment
Abstract
1. Introduction
2. Materials and Methods
2.1. Materials
2.2. Procedures
2.3. Analysis and Characterization
2.4. Toxicity Bioassay
3. Results
3.1. FTIR Analysis
3.2. DSC Analysis
3.3. Surface Analysis
3.4. SEM Analysis
3.5. Particles Size Distribution
3.6. Influence of Key Parameters on Adsorption of DCF on Pristine and Aged MPs
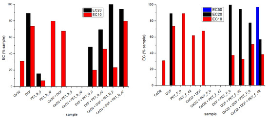
3.7. Aquatic Toxicity Assessment
4. Conclusions
Supplementary Materials
Author Contributions
Funding
Institutional Review Board Statement
Informed Consent Statement
Data Availability Statement
Conflicts of Interest
References
- Plastics Europe. Plastics—The Facts 2021: An Analysis of European Plastics Production, Demand and Waste Data, PlasticsEurope, 1–34. 2021. Available online: https://plasticseurope.org/knowledge-hub/plastics-the-facts-2021/ (accessed on 19 February 2023).
- Shanmugam, V.; Das, O.; Neisiany, R.E.; Babu, K.; Singh, S.; Hedenqvist, M.S.; Berto, F.; Ramakrishna, S. Polymer Recycling in Additive Manufacturing: An Opportunity for the Circular Economy. Mater. Circ. Econ. 2020, 2, 11. [Google Scholar] [CrossRef]
- Moura, D.S.; Pestana, C.J.; Moffat, C.F.; Hui, J.; Irvine, J.T.S.; Edwards, C.; Lawton, L.A. Adsorption of cyanotoxins on polypropylene and polyethylene terephthalate: Microplastics as vector of eight microcystin analogues. Environ. Pollut. 2022, 303, 119135. [Google Scholar] [CrossRef]
- Aguila-Torresa, P.; González, M.; Maldonado, J.E.; Miranda, R.; Zhang, L.; González-Stegmaierg, R.; Rojas, L.A.; Gaete, A. Associations between bacterial communities and microplastics from surface seawater of the Northern Patagonian area of Chile. Environ. Pollut. 2022, 306, 119313. [Google Scholar] [CrossRef] [PubMed]
- Wang, Y.; Zhou, B.; Chen, H.; Yuan, R.; Wang, F. Distribution, biological effects and biofilms of microplastics in freshwater systems—A review. Chemosphere 2022, 299, 134370. [Google Scholar] [CrossRef] [PubMed]
- Rosi, E.; Fork, M.; Hoellein, T.; Kelly, J.J.; Richmond, E. Inputs Occurrence and Effects of Pharmaceuticals and Microplastics in Freshwater Ecosystems. In Encyclopedia of Inland Waters, 2nd ed.; Mehner, T., Tockner, K., Eds.; Elsevier: Amsterdam, The Netherlands, 2022; Volume 2, pp. 471–481. [Google Scholar]
- Liu, G.; Zhu, Z.; Yang, Y.; Sun, Y.; Yu, F.; Ma, J. Sorption behavior and mechanism of hydrophilic organic chemicals to virgin and aged microplastics in freshwater and seawater. Environ. Pollut. 2019, 246, 26–33. [Google Scholar] [CrossRef] [PubMed]
- Müller, A.; Becker, R.; Dorgerloh, U.; Simon, F.G.; Braun, U. The effect of polymer aging on the uptake of fuel aromatics and ethers by microplastics. Environ. Pollut. 2018, 240, 639–646. [Google Scholar] [CrossRef]
- Norman, S.; Edge, A.; Edge, M. Photodegradation and Photooxidation of Polymers. In Fundamentals of Polymer Degradation and Stabilisation, 2nd ed.; Norman, S., Edge, A., Edge, M., Eds.; Elsevier Applied Science: Essex, UK, 1992; Volume 1, pp. 52–75. [Google Scholar]
- Gewert, B.; Plassmann, M.M.; MacLeod, M. Pathways for degradation of plastic polymers floating in the marine environment. Environ. Sci. Process. Impacts 2015, 17, 1513–1521. [Google Scholar] [CrossRef]
- Andrady, A.L.; Barnes, P.W.; Bornman, J.F.; Gouin, T.; Madronich, S.; White, C.C.; Zepp, R.G.; Jansen, M.A.K. Oxidation and fragmentation of plastics in a changing environment; from UV-radiation to biological degradation. Sci. Total Environ. 2022, 851, 158022. [Google Scholar] [CrossRef]
- Mauel, A.; Pötzschner, B.; Meides, N.; Siegel, R.; Strohriegl, P.; Senker, J. Quantification of photooxidative defects in weathered microplastics using 13C multi CP NMR spectroscopy. RSC Adv. 2022, 12, 10875–10885. [Google Scholar] [CrossRef]
- Mattsson, K.; Björkroth, F.; Karlsson, T.; Hassellöv, M. Nanofragmentation of Expanded Polystyrene Under Simulated Environmental Weathering (Thermooxidative Degradation and Hydrodynamic Turbulence). Front. Mar. Sci. 2021, 7, 578178. [Google Scholar] [CrossRef]
- Cheng, F.; Zhang, T.; Liu, Y.; Zhang, Y.; Qu, J. Non-Negligible Effects of UV Irradiation on Transformation and Environmental Risks of Microplastics in the Water Environment. J. Xenobiot. 2021, 12, 1–12. [Google Scholar] [CrossRef]
- Tourinho, P.S.; Koci, V.; Loureiro, S.; van Gestel, C.A.M. Partitioning of chemical contaminants to microplastics: Sorption mechanisms, environmental distribution and effects on toxicity and bioaccumulation. Environ. Pollut. 2019, 252, 1246–1256. [Google Scholar] [CrossRef]
- McNeill, I.C.; Bounekhel, M. Thermal-degradation studies of terephthalate polyesters 1. Poly(alkylene terephthalates). Polym. Degrad. Stab. 1991, 42, 187–204. [Google Scholar] [CrossRef]
- Montaudo, G.; Puglisi, C.; Samperi, F. Primary thermal-degradation mechanisms of PET and PBT. Polym. Degrad. Stab. 1993, 42, 13–28. [Google Scholar] [CrossRef]
- Awaja, F.; Pavel, D. Recycling of PET. Eur. Polym. J. 2005, 41, 1453–1477. [Google Scholar] [CrossRef]
- Monteiro, C.A.; Macêdo, E.N.; Nascimento, M.H.R.; Freitas, C.A.O.; Junior, J.A.B. Fuzzy Method for in Control Acetaldehyde Generation in Resin Pet in the Process of Packaging Pre-Forms of Plastic Injection. Int. J. Adv. Sci. Res 2018, 7, 237. [Google Scholar] [CrossRef]
- Turnbull, L.; Liggat, J.J.; MacDonald, W.A. Thermal Degradation Chemistry of Poly(Ethylene Naphthalate)—A Study by Thermal Volatilisation Analysis. Polym. Degrad. Stab. 2013, 98, 2244–2258. [Google Scholar] [CrossRef]
- Costigan, E.; Collins, A.; Hatinoglu, M.D.; Bhagat, K.; MacRae, J.; Perreault, F.; Apul, O. Adsorption of organic pollutants by microplastics: Overview of a dissonant literature. J. Hazard. Mater. Adv. 2022, 6, 100091. [Google Scholar] [CrossRef]
- Li, J.; Huang, X.; Hou, Z.; Ding, T. Sorption of diclofenac by polystyrene microplastics: Kinetics, isotherms and particle size effects. Chemosphere 2022, 290, 133311. [Google Scholar] [CrossRef]
- Liu, G.; Liao, S.; Zhu, D.; Hua, Y.; Zhou, W. Innovative photocatalytic degradation of polyethylene film with boron-doped cryptomelane under UV and visible light irradiation. Chem. Eng. J. 2012, 213, 286–294. [Google Scholar] [CrossRef]
- Lv, Y.; Huang, Y.; Kong, M.; Yang, Q.; Li, G. Multivariate correlation analysis of outdoor weathering behavior of polypropylene under diverse climate scenarios. Polym. Test. 2017, 64, 65–76. [Google Scholar] [CrossRef]
- Shang, J.; Chai, M.; Zhu, Y. Solid-phase photocatalytic degradation of polystyrene plastic with TiO2 as photocatalyst. J. Solid State Chem. 2003, 174, 104–110. [Google Scholar] [CrossRef]
- Sathishkumar, P.; Meena, R.A.A.; Palanisami, T.; Ashokkumar, V.; Palvannan, T.; Gu, F.L. Occurrence, interactive effects and ecological risk of diclofenac in environmental compartments and biota-a review. Sci. Total Environ. 2020, 698, 134057. [Google Scholar] [CrossRef]
- EU Directive 2013/39/EU of the European Parliament and of the Council amending Directives 2000/60/EC and 2008/105/EC as regards priority substances in the field of water policy. Off. J. Eur. Commun. 2013, 226, 1–17.
- Araújo, C.V.M.; Moreno-Garrido, I. Toxicity Bioassays on Benthic Diatoms. In Handbook of Marine Microalgae; Academic Press: Cambridge, MA, USA, 2015; pp. 539–546. [Google Scholar]
- Palma, P.; Penha, A.M.; Novais, M.H.; Fialho, S.; Lima, A.; Catarino, A.; Mourinha, C.; Alvarenga, P.; Iakunin, M.; Rodrigues, G.; et al. Integrative toolbox to assess the quality of freshwater sediments contaminated with potentially toxic metals. Environ. Res. 2023, 21715, 114798. [Google Scholar] [CrossRef]
- Li, J.J.; Yue, Y.X.; Jiang, J.F.; Shi, S.J.; Wu, H.X.; Zhao, Y.H.; Che, F.F. Assessment of toxic mechanisms and mode of action to three different levels of species for 14 antibiotics based on interspecies correlation, excess toxicity, and QSAR. Chemosphere 2023, 317, 137795. [Google Scholar] [CrossRef]
- Kovacic, M.; Papac, J.; Kusic, H.; Karamanis, P.; Loncaric Bozic, A. Investigation of TiO2-SnS2 photocatalytic performance for the degradation of polar and non-polar pharmaceutical pollutants. Chem. Eng. J. 2020, 382, 122826. [Google Scholar] [CrossRef]
- Djebara, M.; Stoquert, J.P.; Abdesselam, M.; Muller, D.; Chami, A.C. FTIR analysis of polyethylene terephthalate irradiated by MeV He+. Nucl. Instrum. Methods Phys. Res. Sect. B Beam Interact. Mater. At. 2012, 274, 70–77. [Google Scholar] [CrossRef]
- Philip, M.; Al-Azzawi, F. Effects of Natural and Artificial Weathering on the Physical Properties of Recycled Poly(ethylene terephthalate). J. Polym. Environ. 2018, 26, 3139–3148. [Google Scholar] [CrossRef]
- Ajji, A.; Guevremont, J.; Cole, K.C.; Dumoulin, M.M. Orientation and Structure of Drawn Poly(ethylene terephhalate). Polymer 1996, 37, 3707–3714. [Google Scholar] [CrossRef]
- Al-Azzawi, F. Degradation Studies on Recycled Polyethylene Terephthalate. Ph.D. Thesis, London Metropolitan University, London, UK, 2015. [Google Scholar]
- Sanga, T.; Wallis, C.J.; Hill, G.; Britovsek, G.J.P. Polyethylene terephthalate degradation under natural and accelerated weathering conditions. Eur. Polym. J. 2020, 136, 109873. [Google Scholar] [CrossRef]
- Botelho, G.; Queirós, A.; Liberal, S.; Gijsman, P. Studies on thermal and thermo-oxidative degradation of poly(ethylene terephthalate) and poly(butylene terephthalate). Polym. Degrad. Stab. 2001, 74, 39–48. [Google Scholar] [CrossRef]
- Ashwinder, C.; Malini, S.; Ritu, G.; Arun, G. Evaluation on the Thermo-Oxidative Degradation of PET using Prodegradant. Indian J. Sci. Technol. 2017, 10, 1–6. [Google Scholar]
- Wellen, R.M.R.; Canedo, E.; Rabello, M.S. Nonisothermal cold crystallization of poly(ethylene terephthalat). J. Mater. Res. 2011, 26, 1107–1115. [Google Scholar] [CrossRef]
- Wu, G.Z.; Asai, S.; Sumita, M. Entropy penalty-induced self-assembly in carbon black or carbon fiber filled polymer blends. Macromolecules 2002, 35, 945–951. [Google Scholar] [CrossRef]
- Lee, M.W.; Hu, X.; Li, L.; Yue, C.Y.; Tam, K.C. Effect of fillers on the structure and mechanical properties of LCP/PP/SiO2 in-situ hybrid nanocomposites. Compos. Sci. Technol. 2003, 63, 339–346. [Google Scholar] [CrossRef]
- Good, R.J. Contact angle, wetting and adhesion: A critical review. In Contact Angle, Wettability and Adhesion; Mittal, K.L., Ed.; VSP: Utrecht, The Netherlands, 1992; Volume 6, pp. 3–36. [Google Scholar]
- Grassie, N.; Scott, G. Polymer Degradation and Stabilisation, 3rd ed.; Cambridge University Press: Cambridge, UK, 1985; pp. 17, 68, 86. [Google Scholar]
- Smith, W.F. Principles of Materials Science and Engineering, 3rd ed.; McGraw-Hill College: New York, NY, USA, 1995; pp. 680–712. [Google Scholar]
- Lu, Q.; Zhou, Y.; Sui, Q.; Zhou, Y. Mechanism and characterization of microplastic aging process: A review. Front. Environ. Sci. Eng. 2023, 17, 100. [Google Scholar] [CrossRef]
- Blum, D.J.W.; Suffet, I.H.; Duguet, J.P. Quantitative structure-activity relationship using molecular connectivity for the activated carbon adsorption of organic chemicals in water. Water Res. 1994, 28, 687–699. [Google Scholar] [CrossRef]
- Ghosh, S.; Ojha, P.K.; Roy, K. Exploring QSPR modeling for adsorption of hazardous synthetic organic chemicals (SOCs) by SWCNTs. Chemosphere 2019, 228, 545–555. [Google Scholar] [CrossRef]
- Tomic, A.; Cvetnic, M.; Kovacic, M.; Kusic, H.; Karamanis, P.; Loncaris Bozic, A. Structural features promoting adsorption of contaminants of emerging concern onto TiO2 P25: Experimental and computational approaches. Environ. Sci. Pollut. Res. 2022, 29, 87628–87644. [Google Scholar] [CrossRef]
- Franzelleti, S.; Canesi, L.; Auguste, M.; Wathsala, R.H.G.R.; Fabri, E. Microplastic exposure and effects in aquatic organisms; a physiological perspective. Environ. Toxicol. Pharmacol. 2019, 68, 37–51. [Google Scholar] [CrossRef] [PubMed]
- Zhao, M.; Huang, L.; Arulmani, S.R.B.; Yan, J.; Wu, L.; Wu, T.; Zhang, H.; Xiao, T. Adsorption of Different Pollutants by Using Microplastic with Different Influencing Factors and Mechanisms in Wastewater: A Review. Nanomaterials 2022, 12, 2256. [Google Scholar] [CrossRef] [PubMed]
- Jiang, H.; Chen, X.; Dai, Y. The carrier effect mechanism of butachlor in water by three typical microplastics. Environ. Sci. Pollut. Res. 2022, 16, 1–15. [Google Scholar] [CrossRef] [PubMed]
- Fu, L.; Li, J.; Wang, G.; Luan, Y.; Dai, W. Adsorption behavior of organic pollutants on microplastics. Ecotoxicol. Environ. Saf. 2021, 217, 112207. [Google Scholar] [CrossRef]
- Liang, S.; Wang, K.; Wang, K.; Kou, Y.; Wang, T.; Guo, C.; Wang, W.; Wang, J. Adsorption of Diclofenac Sodium by Aged Degradable and Non-Degradable Microplastics: Environmental Effects, Adsorption Mechanisms. Toxics 2023, 11, 24. [Google Scholar] [CrossRef]
- Hai, N.; Liu, X.; Li, Y.; Kong, F.; Zhang, Y.; Fang, S. Effects of Microplastics on the Adsorption and Bioavailability of Three Strobilurin Fungicides. ACS Omega 2020, 5, 47. [Google Scholar] [CrossRef]
- Li, Y.; Li, M.; Li, Z.; Yang, L.; Liu, X. Effects of Particle Size and Solution Chemistry on Triclosan Sorption on Polystyrene Microplastic. Chemosphere 2019, 231, 308–314. [Google Scholar] [CrossRef]
- Wang, F.; Zhang, M.; Sha, W.; Wang, Y.; Hao, H.; Dou, Y.; Li, Y. Sorption Behavior and Mechanisms of Organic Contaminants to Nano and Microplastics. Molecules 2020, 25, 1827. [Google Scholar] [CrossRef]
- Quinn, B.; Schmidt, W.; O’Rourke, K.; Hernan, R. Effects of the pharmaceuticals gemfibrozil and diclofenac on biomarker expression in the zebra mussel (Dreissena polymorpha) and their comparison with standardized toxicity tests. Chemosphere 2011, 84, 657–663. [Google Scholar] [CrossRef]
- Simmons, J.A. Toxicity of major cations and anions (Na+, K+, Ca2+, Cl−, and SO42− to a macrophyte and an alga. Environ. Toxicol. Chem. 2012, 31, 1370–1374. [Google Scholar] [CrossRef]
- Husseini, Z.N.; Tafreshi, S.A.H.; Aghaie, P.; Toghyani, M.A. CaCl2 pretreatment improves gamma toxicity tolerance in microalga Chlorella vulgaris. Ecotoxicol. Environ. Saf. 2020, 192, 110261. [Google Scholar] [CrossRef]
- Hienlaan, M.; Kasemets, K.; Auroja, V.; Blinova, I.; Bondarenko, O.; Lukjanova, A.; Khosrovyan, A.; Kurvet, I.; Pullerits, M.; Sihtmae, M.; et al. Hazard evaluation of polystyrene nanoplastic with nine bioassays did not show particle-specific acute toxicity. Sci. Total 2020, 707, 136073. [Google Scholar] [CrossRef]
- Li, X.; Luo, J.; Zeng, H.; Zhu, L.; Lu, X. Microplastics decrease the toxicity of sulfamethoxazole to marine algae (Skeletonema costatum) at the cellular and molecular levels. Sci. Total Environ. 2022, 10, 153855. [Google Scholar] [CrossRef]
- Almond, J.; Sugumaar, P.; Wenzel, M.N.; Hill, G.; Wallis, C. Determination of the carbonyl index of polyethylene and polypropylene using specified area under band methodology with ATR-FTIR spectroscopy. e-Polymers 2020, 20, 369–381. [Google Scholar] [CrossRef]
- Brandon, J.; Goldstein, M.; Ohman, M.D. Long-term aging and degradation of microplastic particles: Comparing in situ oceanic and experimental weathering patterns. Mar. Pollut. Bull. 2016, 110, 299–308. [Google Scholar] [CrossRef]
- pKa (the Acidic Constant of DCF) and log Kow (the Octanol-Water Partition Coefficient) Data from Pubchem Database. Available online: https://pubchem.ncbi.nlm.nih.gov/compound/3033#section=Vapor-Pressure (accessed on 11 March 2023).
- Semalty, A.; Semalty, M.; Singh, D.; Rawat, M.S. Development and physicochemical evaluation of pharmacosomes of diclofenac. Acta Pharm. 2009, 59, 335–344. [Google Scholar] [CrossRef]




| Parameters | Model Variables/Coded Values | Level/Range | ||
|---|---|---|---|---|
| −1 | 0 | 1 | ||
| T, °C | X1 | 5 | 20 | 35 |
| γ (MP), g L−1 | X2 | 250 | 500 | 750 |
| Sample | ||||||
|---|---|---|---|---|---|---|
| C=O | C-O | gauche | trans | gauche | trans | |
| PET_B_0 | 6.73 | 9.36 | 0.27 | 1.16 | 1.61 | 4.79 |
| PET_B_14 | 6.87 | 10.56 | 0.30 | 1.16 | 1.92 | 5.24 |
| PET_B_28 | 7.32 | 12.77 | 0.30 | 1.18 | 2.11 | 5.05 |
| PET_B_42 | 7.01 | 11.56 | 0.32 | 1.05 | 1.45 | 4.36 |
| PET_F_0 | 6.77 | 12.55 | 0.44 | 0.32 | 0.76 | 6.69 |
| PET_F_14 | 7.20 | 14.69 | 0.43 | 0.32 | 0.77 | 7.16 |
| PET_F_28 | 6.78 | 15.08 | 0.45 | 0.32 | 1.03 | 6.52 |
| PET_F_42 | 8.53 | 12.11 | 0.43 | 0.32 | 0.86 | 6.33 |
| PET_B_0 | PET_B_14 | PET_B_28 | PET_B_42 | |
|---|---|---|---|---|
| Tm (°C) | 248 | 248 | 248 | 247 |
| Tg (°C) | 80 | 80 | 80 | 80 |
| Tc (°C) | 183 | 156 | 156 | 157 |
| Tcc (°C) | / | 148 | 148 | 147 |
| ΔHm (J g−1) | 35 | 34 | 33 | 33 |
| ΔHc (J g−1) | 37 | 25 | 27 | 23 |
| ΔHcc (J g−1) | / | 1.7 | 2.5 | 0.6 |
| X (%) | 25.6 | 22.7 | 21.4 | 22.8 |
| PET_F_0 | PET_F_14 | PET_F_28 | PET_F_42 | |
| Tm (°C) | 248 | 250 | 249 | 249 |
| Tg (°C) | 80 | 81 | 80 | 80 |
| Tc (°C) | 177 | 176 | 176 | 176 |
| ΔHm (J g−1) | 35 | 29 | 31 | 29 |
| ΔHc (J g−1) | 39 | 33 | 36 | 34 |
| ΔHcc (J g−1) | 1.03 | 1.03 | 1.03 | 1.03 |
| X (%) | 25.7 | 20.9 | 22.1 | 20.8 |
| Samples | PET_B_0 | PET_B_14 | PET_B_28 | PET_B_42 |
|---|---|---|---|---|
| θ (°)/water | 69 | 79 | 76 | 76 |
| Samples | PET_F_0 | PET_F_14 | PET_F_28 | PET_F_42 |
| θ (°)/water | 61 | 68 | 67 | 72 |
| Parameter | Experimental | Response | Model | |||
|---|---|---|---|---|---|---|
| Sample | T, °C | γ(MP), mg L−1 | DCF Adsorption | |||
| Maximal, % | K, L g−1 | K, L g−1 | ||||
| PET_B_0 | 11.50 | 250 | 5.00 | 0.230 | 0.210 | M1 |
| PET_B_42 | 6.25 | 250 | 6.11 | 0.262 | 0.260 | M2 |
| PET_F_0 | 8.50 | 250 | 5.28 | 0.236 | 0.223 | M3 |
| PET_F_42 | 8.00 | 250 | 7.22 | 0.340 | 0.249 | M4 |
Disclaimer/Publisher’s Note: The statements, opinions and data contained in all publications are solely those of the individual author(s) and contributor(s) and not of MDPI and/or the editor(s). MDPI and/or the editor(s) disclaim responsibility for any injury to people or property resulting from any ideas, methods, instructions or products referred to in the content. |
© 2023 by the authors. Licensee MDPI, Basel, Switzerland. This article is an open access article distributed under the terms and conditions of the Creative Commons Attribution (CC BY) license (https://creativecommons.org/licenses/by/4.0/).
Share and Cite
Papac Zjačić, J.; Tonković, S.; Pulitika, A.; Katančić, Z.; Kovačić, M.; Kušić, H.; Hrnjak Murgić, Z.; Lončarić Božić, A. Effect of Aging on Physicochemical Properties and Size Distribution of PET Microplastic: Influence on Adsorption of Diclofenac and Toxicity Assessment. Toxics 2023, 11, 615. https://doi.org/10.3390/toxics11070615
Papac Zjačić J, Tonković S, Pulitika A, Katančić Z, Kovačić M, Kušić H, Hrnjak Murgić Z, Lončarić Božić A. Effect of Aging on Physicochemical Properties and Size Distribution of PET Microplastic: Influence on Adsorption of Diclofenac and Toxicity Assessment. Toxics. 2023; 11(7):615. https://doi.org/10.3390/toxics11070615
Chicago/Turabian StylePapac Zjačić, Josipa, Stefani Tonković, Anamarija Pulitika, Zvonimir Katančić, Marin Kovačić, Hrvoje Kušić, Zlata Hrnjak Murgić, and Ana Lončarić Božić. 2023. "Effect of Aging on Physicochemical Properties and Size Distribution of PET Microplastic: Influence on Adsorption of Diclofenac and Toxicity Assessment" Toxics 11, no. 7: 615. https://doi.org/10.3390/toxics11070615
APA StylePapac Zjačić, J., Tonković, S., Pulitika, A., Katančić, Z., Kovačić, M., Kušić, H., Hrnjak Murgić, Z., & Lončarić Božić, A. (2023). Effect of Aging on Physicochemical Properties and Size Distribution of PET Microplastic: Influence on Adsorption of Diclofenac and Toxicity Assessment. Toxics, 11(7), 615. https://doi.org/10.3390/toxics11070615

