Impact of COVID-19 Pandemic Constraints on the Ecobiochemical Status of Cultivated Soils along Transportation Routes
Abstract
1. Introduction
2. Materials and Methods
2.1. Study Area
2.2. Sampling and Analyses
2.3. Statistics
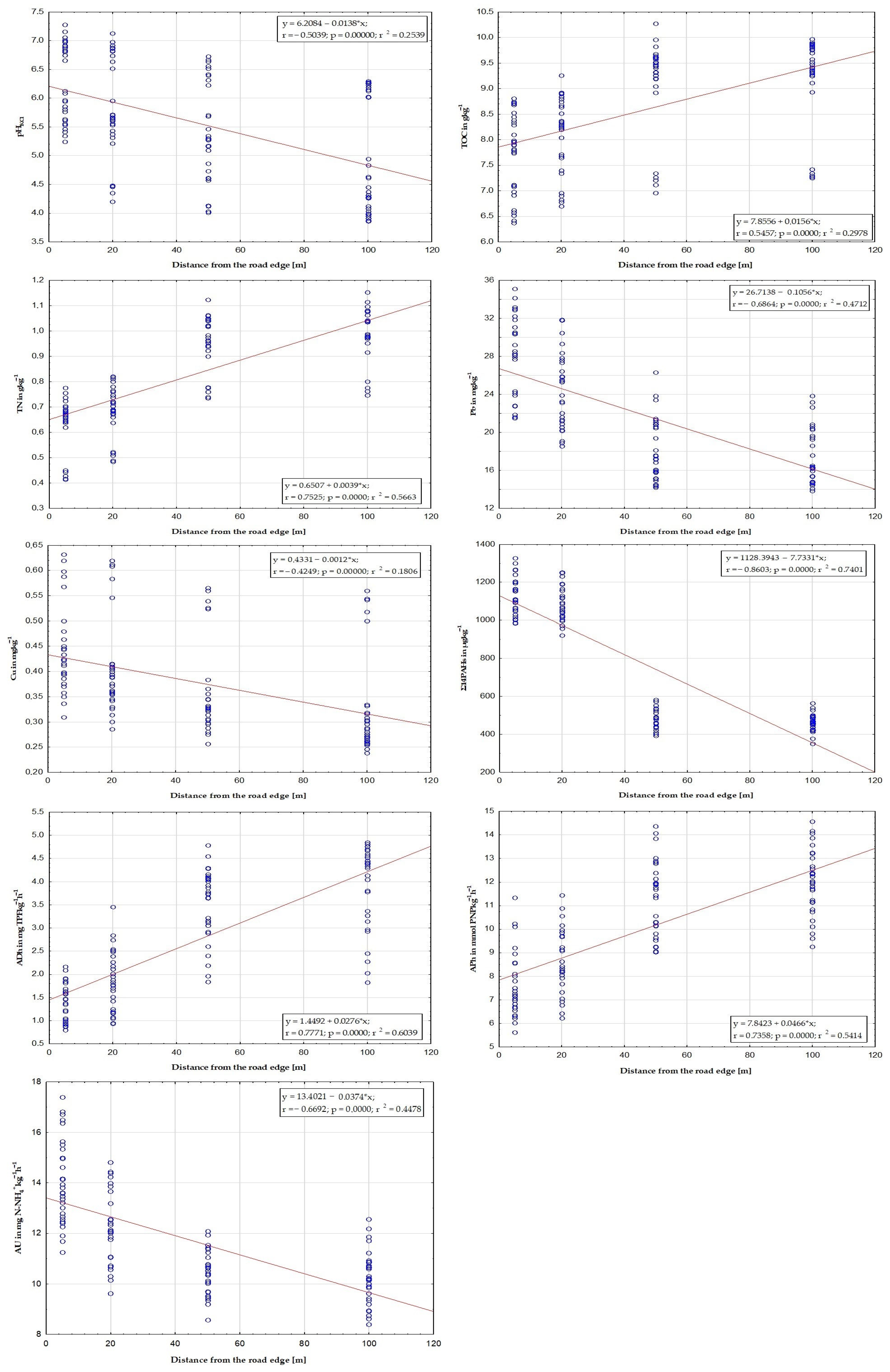
3. Results
3.1. Reaction of the Studied Soils
3.2. Organic Carbon and Total Nitrogen Content
3.3. Cadmium and Lead Content
3.4. Content of PAHs
3.5. Enzymatic Activity
4. Discussion
4.1. Effect of Distance from Road Edge
4.2. Impact of Traffic Restrictions Caused by COVID-19 Pandemic
5. Conclusions
Author Contributions
Funding
Institutional Review Board Statement
Informed Consent Statement
Data Availability Statement
Conflicts of Interest
References
- Chief Inspectorate of Environmental Protection. The Impact of Economic Constraints Related to the COVID-19 Pandemic on the Level of Air Pollution Concentrations in 2020; Główny Inspektorat Ochrony Srodowiska: Warsaw, Poland, 2021. (In Polish)
- Vanelli, M.; Signorelli, C.; De Sanctis, V. Foreword: Research in times of pandemic COVID-19. Acta Biomed. 2020, 91, 11–12. [Google Scholar] [PubMed]
- Filonchyk, M.; Hurynovich, V.; Yan, H. Impact of Covid-19 lockdown on air quality in the Poland, Eastern Europe. Environ. Res. 2021, 198, 110454. [Google Scholar] [CrossRef] [PubMed]
- Cucinotta, D.; Vanelli, M. WHO Declares COVID-19 a Pandemic. Acta Biomed. 2020, 91, 157–160. [Google Scholar] [PubMed]
- Świtała, M.; Łukasiewicz, A. Road freight transport companies facing the COVID-19 pandemic. Mater. Econ. Logist. J. 2021, 5, 8–16. [Google Scholar] [CrossRef]
- PIARC. COVID-19: Key Lessons for the Road and Transport Community from the Latest PIARC Webinars; Economic Studies/Project Management/Road Network Operations/Freight Transport; PIARC: Paris, France, 2020; ISBN 978-2-84060-619-2. [Google Scholar]
- Chen, L.A.; Chien, L.C.; Li, Y.; Lin, G. Nonuniform impacts of COVID-19 lockdown on air quality over the United States. Sci. Total Environ. 2020, 745, 141105. [Google Scholar] [CrossRef]
- Baldasano, J.M. COVID-19 lockdown effects on air quality by NO2 in the cities of Barcelona and Madrid (Spain). Sci. Total Environ. 2020, 741, 140353. [Google Scholar] [CrossRef] [PubMed]
- Lal, R.; Brevik, E.C.; Dawson, L.; Field, D.; Glaser, B.; Hartemink, A.E.; Hatano, R.; Lascelles, B.; Monger, C.; Scholten, T.; et al. Managing Soils for Recovering from the COVID-19 Pandemic. Soil Syst. 2020, 4, 46. [Google Scholar] [CrossRef]
- Panagos, P.; Montanarella, L.; Barbero, M.; Schneegans, A.; Aguglia, L.; Jones, A. Soil priorities in the European Union. Geoderma Region. 2022, 29, e00510. [Google Scholar] [CrossRef]
- Bünemann, E.K.; Bongiorno, G.; Bai, Z.; Creamer, R.E.; De Deyn, G.; de Goede, R.; Brussaard, L. Soil quality—A critical review. Soil Biol. Biochem. 2018, 120, 105–125. [Google Scholar] [CrossRef]
- Brevik, E.C.; Pereg, L.; Steffan, J.J.; Burgess, L.C. Soil ecosystem services and human health. Curr. Opin. Environ. Sci. Health 2018, 5, 87–92. [Google Scholar] [CrossRef]
- Veerman, C.; Pinto Correia, T.; Bastioli, C. Caring for Soil Is Caring for Life: Ensure 75% of Soils Are Healthy by 2030 for Healthy Food. People, Nature and Climate: Interim Report of the Mission Board for Soil Health and Food; European Commission, Directorate-General for Research and Innovation, Publications Office: Brussels, Belgium, 2020. [Google Scholar]
- FAO. ITPS: Status of the World’s Soil Resources (SWSR)—Main Report; Food and Agriculture Organization of the United Nations and Intergovernmental Technical Panel on Soils: Rome, Italy, 2015. [Google Scholar]
- Lima, A.L.C.; Farrington, J.W.; Reddy, C.M. Combustion-derived polycyclic aromatic hydrocarbons in the environment. Environ. Forensics 2005, 6, 109–131. [Google Scholar] [CrossRef]
- Pan, H.; Lu, X.; Lei, K. A comprehensive analysis of heavy metals in urban road dust of Xi’an. China: Contamination. Source apportionment and spatial distribution. Sci. Total Environ. 2017, 609, 1361–1369. [Google Scholar] [CrossRef] [PubMed]
- She, W.; Guo, L.; Gao, J.; Zhang, C.; Wu, S.; Jiao, Y.; Zhu, G. Spatial Distribution of Soil Heavy Metals and Associated Environmental Risks near Major Roads in Southern Tibet. China Int. J. Environ. Res. Public Health 2022, 19, 8380. [Google Scholar] [CrossRef]
- Jaiswal, A.; Verma, A.; Jaiswal, P. Detrimental Effects of Heavy Metals in Soil, Plants, and Aquatic Ecosystems and in Humans. J. Environ. Pathol. Toxicol. Oncol. 2018, 37, 183–197. [Google Scholar] [CrossRef] [PubMed]
- Bandowe, B.A.M.; Shukurov, N.; Leimer, S. Polycyclic aromatic hydrocarbons (PAHs) in soils of an industrial area in semi-arid Uzbekistan: Spatial distribution. relationship with trace metals and risk assessment. Environ. Geochem. Health 2021, 43, 4847–4861. [Google Scholar] [CrossRef]
- The European Council. Communication from the Commission to the European Parliament; The European Green Deal COM/2019/640 Final; The Council, the European Economic and Social Committee and the Committee of the Regions: Brussels, Belgium, 2019. [Google Scholar]
- Oleszczuk, P.; Jośko, I.; Kuśmierz, M.; Futa, B.; Wielgosz, E.; Ligęza, S.; Pranagal, J. Microbiological, biochemical and ecotoxicological evaluation of soils in the area of biochar production in relation to polycyclic aromatic hydrocarbon content. Geoderma 2014, 213, 502–511. [Google Scholar] [CrossRef]
- Futa, B.; Bielińska, E.J.; Mocek-Płóciniak, A. The use of enzymatic tests to assess the quality of arable soils along main thoroughfares in Lublin. J. Res. Appl. Agric. Eng. 2016, 61, 94–97. [Google Scholar]
- Błońska, E.; Lasota, J.; Zwydak, M. The relationship between soil properties, enzyme activity and land use. For. Res. Pap. 2017, 78, 39–44. [Google Scholar] [CrossRef]
- Burke, D.; Weintraub, M.; Hewins, C.; Kalisz, S. Relationship between soil enzyme activities. nutrient cycling and soil fungal communities in a northern hardwood forest. Soil Biol. Biochem. 2011, 43, 795–803. [Google Scholar] [CrossRef]
- Wang, M.; Markert, B.; Shen, W. Microbial biomass carbon and enzyme activities of urban soils in Beijing. Environ. Sci. Pollut. Res. 2011, 18, 958–967. [Google Scholar] [CrossRef]
- Bielińska, E.J.; Futa, B.; Ukalska-Jaruga, A.; Weber, J.; Chmielewski, S.; Wesołowska, S.; Mocek-Płóciniak, A.; Patkowski, K.; Mielnik, L. Mutual relations between PAHs derived from atmospheric deposition, enzymatic activity, and humic substances in soils of differently urbanized areas. J. Soils Sediments 2018, 18, 2682–2691. [Google Scholar] [CrossRef]
- Aponte, H.; Meli, P.; Butler, B.; Paolini, J.; Matus, F.; Merino, C.; Cornejo, P.; Kuzyakov, Y. Meta-analysis of heavy metal effects on soil enzyme activities. Sci. Total. Environ. 2020, 737, 139744. [Google Scholar] [CrossRef] [PubMed]
- Zawierucha, E. Diversity of Chemical and Biological Properties of Cultivated Soils Located along the Communication Routes. Ph.D. Thesis, Lublin, Poland, 2020. [Google Scholar]
- Zawierucha, E.; Skowrońska, M.; Zawierucha, M. Chemical and Biological Properties of Agricultural Soils Located along Communication Routes. Agriculture 2022, 12, 1990. [Google Scholar] [CrossRef]
- IUSS Working Group WRB. World Reference Base for Soil Resources 2014. Update 2015. In International Soil Classification System for 690 Naming Soils and Creating Legends for Soil Maps; Report No. 106; FAO: Rome, Italy, 2015. [Google Scholar]
- Kabała, C.; Charzyński, P.; Chodorowski, J.; Drewnik, M.; Glina, B.; Greinert, A.; Hulisz, P.; Jankowski, M.; Jonczak, J.; Łabaz, B.; et al. Polish soil classification: Principles, classification scheme and correlations. Soil Sci. Annu. 2019, 70, 2. [Google Scholar] [CrossRef]
- ISO 18400; Soil Quality. In Sampling. International Organization for Standardization: Geneva, Switzerland, 2018.
- ISO 10390; Soil Quality. In Determination of pH. International Organization for Standardization: Geneva, Switzerland, 2005.
- ISO 14235; Soil Quality. In Determination of Organic Carbon by Sulfochromic Oxidation. International Organization for Standardization: Geneva, Switzerland, 1998.
- ISO 13878; Soil Quality. In Determination of Total Nitrogen Content by Dry Combustion. International Organization for Standardization: Geneva, Switzerland, 1998.
- Oleszczuk, P.; Baran, S. Degradation of individual polycyclic aromatic hydrocarbons (PAHs) in soil polluted with aircraft fuel. Pol. J. Environ. Stud. 2003, 12, 431–437. [Google Scholar]
- Schinner, F.; Öhlinger, R.; Kandeler, E.; Margesin, R. (Eds.) Methods in Soil Biology; Springer Science & Business Media: Berlin/Heidelberg, Germany, 2012. [Google Scholar]
- Dick, R.P. Methods of Soil Enzymology; John Wiley & Sons: Hoboken, NJ, USA, 2020; 26p. [Google Scholar]
- Rusco, E.; Jones, R.J.; Bidoglio, G. Organic Matter in the Soils of Europe: Present Status and Future Trends; Institute for Environment and Sustainability, Joint Research Centre, European Commission: Brussels, Belgium, 2001. [Google Scholar]
- Glazener., A.; Wylie., J.; van Waas, W.; Khreis, H. The Impacts of Car-Free Days and Events on the Environment and Human Health. Curr. Environ. Health Rep. 2022, 9, 165–182. [Google Scholar] [CrossRef]
- Pîrlea, E.O.; Burlacu, A. The impact of road transport on the environment. Rev. Romana Ing. Civ. 2014, 5, 95. [Google Scholar]
- Sugier, P.; Sugier, D. Impact of road transport on soil physicochemical characteristics and heavy metal concentrations in the bark of purple willow (Salix purpurea L.). Acta Agrobot. 2018, 71, 1753. [Google Scholar] [CrossRef]
- Cunningham, M.A.; Snyder, E.; Yonkin, D.; Ross, M.; Elsen, T. Accumulation of deicing salts in soils in an urban environment. Urban Ecosyst. 2008, 11, 17–31. [Google Scholar] [CrossRef]
- Gavrichkova, O.; Brykova, R.A.; Brugnoli, E.; Pallozzi, E.; Vasenev, V.I.; Calfapietra, C.; Cheng, Z.; Kuzyakov, Y.; Liberati, D.; Moscatelli, M.C. Secondary soil salinization in urban lawns: Microbial functioning, vegetation state, and implications for carbon balance. Land Degrad. Dev. 2020, 31, 2591–2604. [Google Scholar] [CrossRef]
- Werkenthin, M.; Kluge, B.; Wessolek, G. Metals in European roadside soils and soil solution—A review. Environ. Pollut. 2014, 189, 98–110. [Google Scholar] [CrossRef] [PubMed]
- Green, S.M.; Machin, R.; Cresser, M.S. Effect of long-term changes in soil chemistry induced by road salt applications on N-transformations in roadside soils. Environ. Pollut. 2008, 152, 20–31. [Google Scholar] [CrossRef] [PubMed]
- Barbier, L.; Suaire, R.; Durickovic, I.; Laurent, J.; Simonnot, M.O. Is a Road Stormwater Retention Pond Able to Intercept Deicing Salt? Water Air Soil Pollut. 2018, 229, 251. [Google Scholar] [CrossRef]
- Shannon, T.P.; Ahler, S.J.; Mathers, A.; Ziter, C.D.; Dugan, H.A. Road salt impact on soil electrical conductivity across an urban landscape. J. Urban Ecol. 2020, 6, 1–8. [Google Scholar] [CrossRef]
- McGuire, K.M.; Judd, K.E. Road salt chloride retention in wetland soils and effects on dissolved organic carbon export. Chem. Ecol. 2020, 36, 342–359. [Google Scholar] [CrossRef]
- De Silva, S.; Ball, A.S.; Indrapala, D.V.; Reichman, S.M. Review of the interactions between vehicular emitted potentially toxic elements, roadside soils, and associated biota. Chemosphere 2021, 263, 128135. [Google Scholar] [CrossRef] [PubMed]
- Craig, S.; Zhu, W. Impacts of deicing salt and nitrogen addition on soil nitrogen and carbon cycling in a roadside ecosystem. Water Air Soil Pollut. 2018, 229, 187. [Google Scholar] [CrossRef]
- Wang, M.; Zhang, H. Accumulation of heavy metals in roadside soil in urban area and the related impacting factors. Int. J. Environ. Res. Public Health 2018, 15, 1064. [Google Scholar] [CrossRef]
- Krailertrattanachai, N.; Ketrot, D.; Wisawapipat, W. The Distribution of Trace Metals in Roadside Agricultural Soils, Thailand. Int. J. Environ. Res. Public Health 2019, 16, 714. [Google Scholar] [CrossRef]
- Rolka, E.; Żołnowski, A.C.; Sadowska, M.M. Assessment of heavy metal content in soils adjacent to the DK16-Route in Olsztyn (North-Eastern Poland). Pol. J. Environ. Stud. 2020, 29, 1–9. [Google Scholar] [CrossRef]
- Schuler, M.S.; Relyea, R.A. A review of the combined threats of road salts and heavy metals to freshwater systems. BioScience 2018, 68, 327–335. [Google Scholar] [CrossRef]
- Findlay, S.E.G.; Kelly, V.R. Emerging indirect and long-term road salt effects on ecosystems. Ann. N. Y. Acad. Sci. 2011, 1223, 58–68. [Google Scholar] [CrossRef] [PubMed]
- Kostka, A.; Strzebońska, M.; Sobczyk, M.; Zakrzewska, M.; Bochenek, A. The effect of de-icing roads with salt on the environment in Krakow (Poland). Geol. Geophys. Environ. 2019, 45, 195. [Google Scholar] [CrossRef]
- Ciarkowska, K.; Konduracka, E.; Gambus, F. Primary Soil Contaminants and Their Risks, and Their Relationship to Myocardial Infarction Susceptibility in Urban Krakow (Poland). Expo Health 2022, 14, 515–529. [Google Scholar] [CrossRef]
- Shammi, S.A.; Salam, A.; Khan, M.A.H. Assessment of heavy metal pollution in the agricultural soils, plants, and in the atmospheric particulate matter of a suburban industrial region in Dhaka, Bangladesh. Environ. Monit. Assess. 2021, 1, 104. [Google Scholar] [CrossRef] [PubMed]
- Wydawnictwo Sejmowe. Regulation of the Minister of the Environment of 1 September 2016 on the Method of Assessing the Pollution of the Earth’s Surface; Wydawnictwo Sejmowe: Warsaw, Poland, 2016; Volume 1395.
- Kumar, V.; Kothiyal, N.C. Distribution behavior and carcinogenic level of some polycyclic aromatic hydrocarbons in roadside soil at major traffic intercepts within a developing city of India. Environ. Monit. Assess. 2012, 184, 6239–6252. [Google Scholar] [CrossRef]
- Zhang, X.; Lu, W.; Xu, L.; Wu, W.; Sun, B.; Fan, W.; Zheng, H.; Huang, J. Environmental Risk Assessment of Polycyclic Aromatic Hydrocarbons in Farmland Soils near Highways: A Case Study of Guangzhou. China Int. J. Environ. Res. Public Health 2022, 19, 10265. [Google Scholar] [CrossRef]
- Yang, J.; Sun, P.; Zhang, X.; Wei, X.-Y.; Huang, Y.-P.; Du, W.-N.; Qadeer, A.; Liu, M.; Huang, Y. Source apportionment of PAHs in roadside agricultural soils of a megacity using positive matrix factorization receptor model and compound-specific carbon isotope analysis. J. Hazard. Mater. 2021, 403, 123592. [Google Scholar] [CrossRef] [PubMed]
- Kibblewhite, M.G. Contamination of agricultural soil by urban and peri-urban highways: An overlooked priority? Environ. Pollut. 2018, 242, 1331–1336. [Google Scholar] [CrossRef]
- Markiewicz, A.; Bjorklund, K.; Eriksson, E.; Kalmykova, Y.; Stromvall, A.M.; Siopi, A. Emissions of organic pollutants from traffic and roads: Priority pollutants selection and substance flow analysis. Sci. Total Environ. 2017, 580, 1162–1174. [Google Scholar] [CrossRef]
- Klimkowicz-Pawlas, A.; Smreczak, B.; Ukalska-Jaruga, A. The impact of selected soil organic matter fractions on the PAH accumulation in the agricultural soils from areas of different anthropopressure. Environ. Sci. Pollut. Res. 2017, 24, 10955–10965. [Google Scholar] [CrossRef] [PubMed]
- Hofman, J.; Trávníčková, E.; Anděl, P. Road salts effects on soil chemical and microbial properties at grass-land and forest site in protected natural areas. Plant Soil Environ. 2012, 58, 282–288. [Google Scholar] [CrossRef]
- Jaworska, H.; Lemanowicz, J. Heavy metal contents and enzymatic activity in soils exposed to the impact of road traffic. Sci. Rep. 2019, 27, 19981. [Google Scholar] [CrossRef] [PubMed]
- Tabatabai, M.A.; Dick, W.A. Enzymes in Soil. In Enzymes in the Environment: Activity, Ecology and Applications; Burns, R.G., Dick, R.P., Eds.; CRC Press: Boca Raton, FL, USA, 2002; pp. 567–596. [Google Scholar]
- Mencel, J.; Mocek-Płóciniak, A.; Kryszak, A. Soil Microbial Community and Enzymatic Activity of Grasslands under Different Use Practices: A Review. Agronomy 2022, 12, 1136. [Google Scholar] [CrossRef]
- Kaczyńska, G.; Borowik, A.; Wyszkowska, J. Soil Dehydrogenases as an Indicator of Contamination of the Environment with Petroleum Products. Water Air Soil Pollut. 2015, 226, 372. [Google Scholar] [CrossRef]
- Bierza, W.; Nadgórska-Socha, A.; Małkowska, E.; Ciepał, R. Evaluation of the Soil Enzymes Activity as an Indicator of the Impact of Anthropogenic Pollution on the Norway Spruce Ecosystems in the Silesian Beskid. Ecol. Chem. Eng. A 2012, 19, 699–717. [Google Scholar]
- Wiatrowska, K.; Komisarek, J.; Dłużewski, P. Effects of heavy metals on the activity of dehydrogenases. phosphatases and urease in naturally and artificially contaminated soils. J. Elem. 2015, 20, 743–756. [Google Scholar] [CrossRef]
- Fisher, K.A.; Yarwood, S.A.; James, B.R. Soil urease activity and bacterial ureC gene copy numbers: Effect of pH. Geoderma 2017, 285, 1–8. [Google Scholar] [CrossRef]
- Bueis, T.; Turrión, M.B.; Bravo, F. Factors determining enzyme activities in soils under Pinus halepensis and Pinus sylvestris plantations in Spain: A basis for establishing sustainable forest management strategies. Ann. For. Sci. 2018, 75, 34. [Google Scholar] [CrossRef]
- Stankowski, S.; Jaroszewska, A.; Osińska, B.; Tomaszewicz, T.; Gibczyńska, M. Analysis of Long-Term Effect of Tillage Systems and Pre-Crop on Physicochemical Properties and Chemical Composition of Soil. Agronomy 2022, 12, 2072. [Google Scholar] [CrossRef]
- Oil Industry and Trade. Annual Report. 2020. Available online: https://www.industry.gov.au/publications/annual-report-2020-21 (accessed on 2 February 2023).
- Oil Industry and Trade. Annual Report. 2021. Available online: https://www.industry.gov.au/publications/annual-report-2020-21 (accessed on 2 February 2023).
- Ciarkowska, K.; de Carvalho, M.; Gambus, F. Analysis of Polycyclic Aromatic Hydrocarbons (PAHs) Sources and Vertical Distribution in Soils of the AgeDiverse Brownfields of Southern Poland Using Positive Matrix Factorisation and Data Mining Model. Sustainability 2022, 14, 13796. [Google Scholar] [CrossRef]
- Dmochowska, A.; Majder-Lopatka, M.; Salamonowicz, Z.; Piechota-Polanczyk, A.; Polanczyk, A. Heavy Metal Emissions from Linear Sources and Polluted Soil in The Capital City of Poland. Annu. Set Environ. Prot. 2021, 23, 94–105. [Google Scholar] [CrossRef]
- Zhao, L.; Hu, G.; Yan, Y.; Yu, R.; Yan, Y. Source apportionment of heavy metals in urban road dust in a continental city of eastern China: Using Pb and Sr isotopes combined with multivariate statistical analysis. Atmos. Environ. 2019, 201, 201–211. [Google Scholar] [CrossRef]
- Lipińska, A.; Kucharski, J.; Wyszkowska, J. The effect of polycyclic aromatic hydrocarbons on the structure of organotrophic bacteria and dehydrogenase activity in soil. Polycycl. Aromat. Compd. 2014, 34, 35–53. [Google Scholar] [CrossRef]
- Gianfreda, L.; Rao, A.M.; Piotrowska, A.; Palumbo, G.; Colombo, C. Soil enzyme activities as affected by anthropogenic alterations: Intensive agricultural practices and organic pollution. Sci. Total Environ. 2005, 341, 265–279. [Google Scholar] [CrossRef]
- Nannipieri, P.; Kandler, E.; Ruggiero, P. Enzyme Activities and Microbiological and Biochemical Processes in Soil. In Enzymes in the Environment: Activity, Ecology and Applications; Burns, R.G., Dick, R.P., Eds.; CRC Press: Boca Raton, FL, USA, 2002; pp. 1–33. [Google Scholar]
- Bielińska, E.J.; Kołodziej, B. The effect of common dandelion (Terraxacum officinale Web.) rhizosphere on heavy metal content and enzymatic activity on soils. Acta Hortic. 2009, 826, 345–350. [Google Scholar]
- Renella, G.; Egamberiyeva, D.; Landi, L.; Mench, M.; Nannipieri, P. Microbial activity and hydrolase activities during decomposition of root exudates released by an artificial root surface in Cd-contaminated soils. Soil Biol. Biochem. 2006, 38, 702–708. [Google Scholar] [CrossRef]
- Skowrońska, M.; Bielińska, E.J.; Szymański, K.; Futa, B.; Antonkiewicz, J.; Kołodziej, B. An integrated assessment of the long-term impact of municipal sewage sludge on the chemical and biological properties of soil. Catena 2020, 189, 104484. [Google Scholar] [CrossRef]
- Sawicka, B.; Krochmal-Marczak, B.; Pszczółkowski, P.; Bielińska, E.J.; Wójcikowska-Kapusta, A.; Barbaś, P.; Skiba, D. Effect of Differentiated Nitrogen Fertilization on the Enzymatic Activity of the Soil for Sweet Potato (Ipomoea batatas L. [Lam.]) Cultivation. Agronomy 2020, 10, 1970. [Google Scholar] [CrossRef]
- Futa, B.; Bielińska, E.J.; Ligęza, S.; Chmielewski, S.; Wesołowska, S.; Patkowski, K.; Mocek-Płóciniak, A. Enzymatic activity and content of polycyclic aromatic hydrocarbons (PAHs) in soils under low-stack emission in Lublin. Pol. J. Soil Sci. 2017, 50, 63–74. [Google Scholar] [CrossRef]

| Site | Road No. | Soil Type—Particle Size Group |
|---|---|---|
| Piekoszów | DW 761 | Cambisols—silt loam (SiL) |
| Marcinkowice | DK 74 | Cambisols—silt loam (SiL) |
| Skorzeszyce | DK 74 | Luvisols—silt (Si) |
| Giełczew II | DW 835 | Cambisols—silt loam (SiL) |
| Łuszczów Kolonia | DK 82 | Cambisols—silt loam (SiL) |
| Albertów | DK 82 | Luvisols—silt (Si) |
| Enzymes | EC | Acronym | Substrate Name | Product Name | Unit Name |
|---|---|---|---|---|---|
| Dehydrogenases | EC 1.1 | ADh | 2,3,5-triphenyltetrazolium chloride (TTC) | triphenyl formazane (TPF) | mg TPF kg−1 24 h−1 |
| Neutral phosphatase | EC 3.1.3 | APh | p-nitrophenyl phosphate disodium | p-nitrophenol (PNP) | mmol PNP kg−1 h−1 |
| Urease | EC 3.5.1.5 | AU | Urea | N-NH4+ | mg N-NH4 kg−1 h−1 |
| Site | Years | Distance from the Road Edge [m] | |||
|---|---|---|---|---|---|
| 5 | 20 | 50 | 100 | ||
| Piekoszów LDS0.05 for distance = 0.239 LDS0.05 for years = n.s. | 2017 | 6.81 ± 0.06 a | 6.74 ± 0.5 ab | 6.52 ± 0.01 bc | 6.29 ± 0.03 cd |
| 2018 | 7.06 ± 0.02 a | 6.82 ± 0.4 ab | 6.64 ± 0.02 bc | 6.27 ± 0.03 d | |
| 2019 | 6.98 ± 0.02 a | 6.92 ± 0.3 a | 6.55 ± 0.01 b | 6.23 ± 0.03 bc | |
| 2020 | 6.66 ± 0.03 a | 6.51 ± 0.1 a | 6.42 ± 0.02 a | 6.02 ± 0.02 b | |
| 2021 | 6.99 ± 0.04 a | 6.88 ± 0.2 a | 6.51 ± 0.02 b | 6.27 ± 0.03 bc | |
| Marcinkowice LDS0.05 for distance = 0.279 LDS0.05 for years = n.s. | 2017 | 6.82 ± 0.03 a | 6.82 ± 0.2 a | 6.72 ± 0.02 b | 6.12 ± 0.01 b |
| 2018 | 6.84 ± 0.04 a | 6.98 ± 0.1 ab | 6.67 ± 0.01 b | 6.26 ± 0.02 d | |
| 2019 | 6.91 ± 0.02 a | 7.13 ± 0.2 a | 6.23 ± 0.02 b | 6.14 ± 0.03 bc | |
| 2020 | 6.75 ± 0.02 a | 6.63 ± 0.2 ab | 6.40 ± 0.02 b | 6.01 ± 0.02 c | |
| 2021 | 6.92 ± 0.03 a | 6.86 ± 0.2 a | 6.32 ± 0.01 b | 6.19 ± 0.03 bc | |
| Skorzeszyce LDS0.05 for distance = 0.372 LDS0.05 for years = n.s. | 2017 | 5.55 ± 0.05 a | 5.32 ± 0.3 a | 5.71 ± 0.03 b | 4.28 ± 0.02 c |
| 2018 | 5.61 ± 0.03 a | 5.66 ± 0.2 a | 5.69 ± 0.03 a | 4.32 ± 0.03 b | |
| 2019 | 5.86 ± 0.05 a | 5.67 ± 0.3 ab | 5.31 ± 0.02 b | 4.46 ± 0.02 c | |
| 2020 | 5.47 ± 0.06 a | 5.21 ± 0.2 a | 5.09 ± 0.01 a | 4.12 ± 0.02 b | |
| 2021 | 5.77 ± 0.04 a | 5.54 ± 0.1 a | 5.16 ± 0.01 a | 4.37 ± 0.02 c | |
| Giełczew II LDS0.05 for distance = 0.243 LDS0.05 for years = n.s. | 2017 | 5.35 ± 0.01 a | 4.49 ± 0.4 bc | 4.04 ± 0.01 c | 4.28 ± 0.02 c |
| 2018 | 5.41 ± 0.02 a | 4.35 ± 0.3 b | 4.01 ± 0.02 c | 4.09 ± 0.02 c | |
| 2019 | 5.63 ± 0.02 a | 4.47 ± 0.1 b | 4.12 ± 0.02 cd | 4.26 ± 0.04 d | |
| 2020 | 5.25 ± 0.02 a | 4.20 ± 0.1 b | 4.14 ± 0.02 b | 3.99 ± 0.02 bc | |
| 2021 | 5.53 ± 0.02 a | 4.48 ± 0.2 b | 4.02 ± 0.01 c | 3.87 ± 0.03 c | |
| Łuszczów Kolonia LDS0.05 for distance = 0.258 LDS0.05 for years = n.s. | 2017 | 7.01 ± 0.03 a | 5.71 ± 0.2 b | 5.29 ± 0.02 c | 4.62 ± 0.02 d |
| 2018 | 7.06 ± 0.03 a | 5.65 ± 0.2 b | 5.35 ± 0.01 c | 4.94 ± 0.05 d | |
| 2019 | 7.16 ± 0.03 a | 5.53 ± 0.2 b | 5.47 ± 0.01 b | 4.84 ± 0.03 c | |
| 2020 | 6.88 ± 0.02 a | 5.95 ± 0.2 b | 5.17 ± 0.01 c | 4.63 ± 0.03 d | |
| 2021 | 7.28 ± 0.02 a | 5.63 ± 0.2 b | 5.27 ± 0.02 c | 4.64 ± 0.02 d | |
| Albertów LDS0.05 for distance = 0.207 LDS0.05 for years = n.s. | 2017 | 5.81 ± 0.02 a | 5.60 ± 0.3 a | 4.62 ± 0.02 b | 3.99 ± 0.01 c |
| 2018 | 6.13 ± 0.03 a | 5.38 ± 0.3 b | 4.74 ± 0.02 c | 3.86 ± 0.02 d | |
| 2019 | 5.95 ± 0.04 a | 5.56 ± 0.2 b | 4.86 ± 0.02 c | 3.95 ± 0.01 d | |
| 2020 | 5.97 ± 0.01 a | 5.44 ± 0.4 b | 4.58 ± 0.01 c | 4.03 ± 0.04 d | |
| 2021 | 6.09 ± 0.04 a | 5.72 ± 0.2 b | 4.60 ± 0.01 c | 3.91 ± 0.02 d | |
| Site | Years | Distance from the Road Edge [m] | |||
|---|---|---|---|---|---|
| 5 | 20 | 50 | 100 | ||
| Piekoszów LDS0.05 for distance = 0.195 LDS0.05 for years = n.s. | 2017 | 6.41 ± 0.03 a | 6.90 ± 0.01 b | 6.96 ± 0.02 b | 7.26 c |
| 2018 | 6.58 ± 0.01 a | 6.96 ± 0.01 b | 7.26 ± 0.01 c | 7.34 c | |
| 2019 | 6.62 ± 0.03 a | 6.70 ± 0.02 a | 7.34 ± 0.03 b | 7.43 b | |
| 2020 | 6.38 ± 0.02 a | 6.82 ± 0.02 b | 7.20 ± 0.01 c | 7.28 c | |
| 2021 | 6.51 ± 0.02 a | 6.78 ± 0.02 b | 7.12 ± 0.02 c | 7.30 c | |
| Marcinkowice LDS0.05 for distance = 0.274 LDS0.05 for years = n.s. | 2017 | 7.10 ± 0.02 a | 7.68 ± 0.02 b | 9.47 ± 0.01 c | 9.78 d |
| 2018 | 6.98 ± 0.02 a | 7.72 ± 0.01 b | 9.60 ± 0.00 c | 9.84 c | |
| 2019 | 7.12 ± 0.01 a | 7.34 ± 0.01 a | 9.82 ± 0.02 b | 9.86 b | |
| 2020 | 6.92 ± 0.02 a | 7.40 ± 0.01 b | 9.20 ± 0.02 c | 9.82 d | |
| 2021 | 7.08 ± 0.01 a | 7.65 ± 0.02 b | 9.44 ± 0.02 c | 9.90 d | |
| Skorzeszyce LDS0.05 for distance = 0.186 LDS0.05 for years = n.s. | 2017 | 8.38 ± 0.02 a | 8.68 ± 0.02 b | 9.58 ± 0.02 c | 9.48 c |
| 2018 | 8.45 ± 0.02 a | 8.80 ± 0.02 b | 9.52 ± 0.01 c | 9.58 c | |
| 2019 | 8.52 ± 0.02 a | 8.64 ± 0.00 a | 9.64 ± 0.01 b | 9.76 b | |
| 2020 | 8.29 ± 0.02 a | 8.52 ± 0.01 b | 9.41 ± 0.01 c | 9.52 c | |
| 2021 | 8.34 ± 0.02 a | 8.74 ± 0.01 b | 9.60 ± 0.03 c | 9.70 c | |
| Giełczew II LDS0.05 for distance = 0.236 LDS0.05 for years = n.s. | 2017 | 8.10 ± 0.01 a | 8.28 ± 0.01 a | 9.20 ± 0.01 b | 9.24 b |
| 2018 | 7.96 ± 0.02 a | 8.34 ± 0.02 b | 9.32 ± 0.00 c | 9.28 c | |
| 2019 | 7.98 ± 0.01 a | 8.04 ± 0.02 a | 8.92 ± 0.01 b | 8.94 b | |
| 2020 | 7.90 ± 0.01 a | 8.20 ± 0.00 b | 9.26 ± 0.02 c | 9.30 c | |
| 2021 | 7.95 ± 0.02 a | 8.26 ± 0.02 b | 9.04 ± 0.02 c | 9.12 c | |
| Łuszczów Kolonia LDS0.05 for distance = 0.337 LDS0.05 for years = n.s. | 2017 | 7.76 ± 0.02 a | 8.37 ± 0.02 b | 9.40 ± 0.02 c | 9.86 d |
| 2018 | 7.82 ± 0.02 a | 8.30 ± 0.01 b | 10.28 ± 0.02 c | 9.82 d | |
| 2019 | 7.91 ± 0.01 a | 8.36 ± 0.01 b | 9.96 ± 0.01 c | 9.97 c | |
| 2020 | 7.74 ± 0.02 a | 8.30 ± 0.01 b | 9.52 ± 0.02 c | 9.90 d | |
| 2021 | 7.80 ± 0.01 a | 8.24 ± 0.01 b | 9.96 ± 0.00 c | 9.88 c | |
| Albertów LDS0.05 for distance = 0.206 LDS0.05 for years = n.s. | 2017 | 8.72 ± 0.02 a | 9.26 ± 0.02 b | 9.32 ± 0.03 b | 9.38 b |
| 2018 | 8.74 ± 0.01 a | 8.91 ± 0.01 a | 9.50 ± 0.03 b | 9.32 b | |
| 2019 | 8.80 ± 0.01 a | 8.92 ± 0.02 a | 9.68 ± 0.01 b | 9.36 c | |
| 2020 | 8.68 ± 0.02 a | 8.84 ± 0.01 a | 9.45 ± 0.03 b | 9.40 b | |
| 2021 | 8.70 ± 0.01 a | 8.90 ± 0.00 a | 9.62 ± 0.01 b | 9.42 b | |
| Site | Years | Distance from the Road Edge [m] | |||
|---|---|---|---|---|---|
| 5 | 20 | 50 | 100 | ||
| Piekoszów LDS0.05 for distance = 0.033 LDS0.05 for years = n.s. | 2017 | 0.43 ± 0.02 a | 0.49 ± 0.02 b | 0.74 ± 0.01 c | 0.75 ± 0.01 c |
| 2018 | 0.42 ± 0.01 a | 0.51 ± 0.01 b | 0.76 ± 0.02 c | 0.78 ± 0.02 c | |
| 2019 | 0.44 ± 0.02 a | 0.52 ± 0.02 b | 0.78 ± 0.01 c | 0.80 ± 0.01 c | |
| 2020 | 0.45 ± 0.01 a | 0.52 ± 0.02 b | 0.78 ± 0.02 c | 0.80 ± 0.02 c | |
| 2021 | 0.42 ± 0.01 a | 0.49 ± 0.01 b | 0.74 ± 0.01 c | 0.76 ± 0.01 c | |
| Marcinkowice LDS0.05 for distance = 0.035 LDS0.05 for years = n.s. | 2017 | 0.62 ± 0.02 a | 0.66 ± 0.02 b | 1.02 ± 0.02 c | 1.04 ± 0.02 c |
| 2018 | 0.64 ± 0.01 a | 0.68 ± 0.02 b | 1.04 ± 0.01 c | 1.06 ± 0.02 c | |
| 2019 | 0.65 ± 0.02 a | 0.69 ± 0.01 b | 1.06 ± 0.01 c | 1.08 ± 0.02 c | |
| 2020 | 0.66 ± 0.02 a | 0.67 ± 0.02 a | 1.05 ± 0.01 b | 1.08 ± 0.02 b | |
| 2021 | 0.62 ± 0.02 a | 0.64 ± 0.01 a | 1.02 ± 0.01 b | 1.04 ± 0.01 b | |
| Skorzeszyce LDS0.05 for distance = 0.032 LDS0.05 for years = n.s. | 2017 | 0.69 ± 0.01 a | 0.76 ± 0.01 b | 1.02 ± 0.02 c | 1.04 ± 0.01 c |
| 2018 | 0.69 ± 0.01 a | 0.80 ± 0.01 b | 1.04 ± 0.02 c | 1.06 ± 0.01 c | |
| 2019 | 0.67 ± 0.01 a | 0.82 ± 0.02 b | 1.05 ± 0.02 c | 1.08 ± 0.01 c | |
| 2020 | 0.70 ± 0.01 a | 0.81 ± 0.01 b | 1.04 ± 0.00 c | 1.08 ± 0.02 c | |
| 2021 | 0.67 ± 0.01 a | 0.78 ± 0.01 b | 1.02 ± 0.02 c | 1.04 ± 0.00 c | |
| Giełczew II LDS0.05 for distance = 0.041 LDS0.05 for years = n.s. | 2017 | 0.70 ± 0.02 a | 0.72 ± 0.00 a | 0.96 ± 0.01 b | 0.98 ± 0.01 b |
| 2018 | 0.68 ± 0.01 a | 0.75 ± 0.02 b | 0.90 ± 0.01 c | 0.95 ± 0.01 d | |
| 2019 | 0.64 ± 0.02 a | 0.70 ± 0.00 b | 0.94 ± 0.00 c | 0.92 ± 0.02 c | |
| 2020 | 0.69 ± 0.03 a | 0.72 ± 0.03 a | 0.94 ± 0.02 b | 0.98 ± 0.00 b | |
| 2021 | 0.65 ± 0.02 a | 0.70 ± 0.02 b | 0.92 ± 0.02 c | 0.97 ± 0.02 c | |
| Łuszczów Kolonia LDS0.05 for distance = 0.046 LDS0.05 for years = n.s. | 2017 | 0.64 ± 0.02 a | 0.69 ± 0.02 b | 1.04 ± 0.01 c | 1.08 ± 0.03 c |
| 2018 | 0.67 ± 0.01 a | 0.72 ± 0.01 b | 1.05 ± 0.01 c | 1.10 ± 0.02 d | |
| 2019 | 0.68 ± 0.02 a | 0.70 ± 0.00 a | 1.12 ± 0.02 b | 1.15 ± 0.02 b | |
| 2020 | 0.66 ± 0.01 a | 0.69 ± 0.02 a | 1.06 ± 0.01 b | 1.12 ± 0.03 c | |
| 2021 | 0.64 ± 0.02 a | 0.68 ± 0.01 a | 1.04 ± 0.01 b | 1.08 ± 0.02 b | |
| Albertów LDS0.05 for distance = 0.045 LDS0.05 for years = n.s. | 2017 | 0.76 ± 0.01 a | 0.80 ± 0.01 a | 0.96 ± 0.01 b | 0.98 ± 0.02 b |
| 2018 | 0.74 ± 0.01 a | 0.76 ± 0.01 a | 0.98 ± 0.01 b | 0.99 ± 0.02 b | |
| 2019 | 0.70 ± 0.03 a | 0.74 ± 0.01 a | 0.98 ± 0.01 b | 0.98 ± 0.02 b | |
| 2020 | 0.78 ± 0.01 a | 0.82 ± 0.02 a | 0.98 ± 0.00 b | 0.98 ± 0.02 b | |
| 2021 | 0.72 ± 0.01 a | 0.74 ± 0.01 a | 0.96 ± 0.02 b | 0.98 ± 0.01 b | |
| Site | Years | Distance from the Road Edge [m] | |||
|---|---|---|---|---|---|
| 5 | 20 | 50 | 100 | ||
| Piekoszów LDS0.05 for distance = 0.042 LDS0.05 for years = n.s. | 2017 | 0.45 ± 0.01 a | 0.38 ± 0.02 b | 0.31 ± 0.02 c | 0.30 ± 0.01 c |
| 2018 | 0.46 ± 0.00 a | 0.39 ± 0.01 b | 0.34 ± 0.01 c | 0.29 ± 0.03 c | |
| 2019 | 0.50 ± 0.02 a | 0.41 ± 0.02 b | 0.37 ± 0.03 bc | 0.33 ± 0.01 c | |
| 2020 | 0.45 ± 0.02 a | 0.36 ± 0.03 b | 0.30 ± 0.01 c | 0.27 ± 0.01 c | |
| 2021 | 0.48 ± 0.01 a | 0.39 ± 0.01 b | 0.35 ± 0.00 bc | 0.32 ± 0.01 c | |
| Marcinkowice LDS0.05 for distance = 0.035 LDS0.05 for years = n.s. | 2017 | 0.38 ± 0.03 a | 0.36 ± 0.01 a | 0.30 ± 0.01 b | 0.26 ± 0.03 c |
| 2018 | 0.41 ± 0.01 a | 0.38 ± 0.02 a | 0.32 ± 0.01 b | 0.29 ± 0.02 b | |
| 2019 | 0.42 ± 0.01 a | 0.40 ± 0.00 a | 0.33 ± 0.02 b | 0.30 ± 0.01 b | |
| 2020 | 0.40 ± 0.01 a | 0.37 ± 0.01 a | 0.33 ± 0.02 b | 0.28 ± 0.00 c | |
| 2021 | 0.42 ± 0.02 a | 0.39 ± 0.01 ab | 0.36 ± 0.03 b | 0.32 ± 0.02 c | |
| Skorzeszyce LDS0.05 for distance = 0.049 LDS0.05 for years = 0.034 | 2017 | 0.34 ± 0.02 aAB | 0.31 ± 0.02 abA | 0.28 ± 0.02 bcA | 0.26 ± 0.00 cAB |
| 2018 | 0.36 ± 0.04 aB | 0.33 ± 0.02 abAB | 0.30 ± 0.00 bcAB | 0.26 ± 0.02 cAB | |
| 2019 | 0.41 ± 0.01 aC | 0.35 ± 0.01 bB | 0.33 ± 0.01 bcB | 0.29 ± 0.02 cB | |
| 2020 | 0.31 ± 0.02 aA | 0.30 ± 0.02 aA | 0.28 ± 0.03 abA | 0.25 ± 0.01 cA | |
| 2021 | 0.39 ± 0.01 aBC | 0.36 ± 0.01 aB | 0.31 ± 0.00 bAB | 0.27 ± 0.02 cAB | |
| Giełczew II LDS0.05 for distance = 0.037 LDS0.05 for years = n.s. | 2017 | 0.40 ± 0.02 a | 0.39 ± 0.03 a | 0.32 ± 0.02 b | 0.31 ± 0.01 b |
| 2018 | 0.42 ± 0.01 a | 0.41 ± 0.01 a | 0.33 ± 0.03 b | 0.28 ± 0.01 c | |
| 2019 | 0.43 ± 0.02 a | 0.42 ± 0.00 a | 0.37 ± 0.00 b | 0.33 ± 0.02 c | |
| 2020 | 0.42 ± 0.01 a | 0.40 ± 0.01 a | 0.31 ± 0.00 b | 0.30 ± 0.01 b | |
| 2021 | 0.44 ± 0.01 a | 0.41 ± 0.00 ab | 0.38 ± 0.01 b | 0.32 ± 0.01 c | |
| Łuszczów Kolonia LDS0.05 for distance = 0.044 LDS0.05 for years = 0.028 | 2017 | 0.60 ± 0.03 aB | 0.58 ± 0.02 aA | 0.53 ± 0.02 bA | 0.52 ± 0.03 bA |
| 2018 | 0.59 ± 0.02 aAB | 0.61 ± 0.02 aB | 0.54 ± 0.04 bA | 0.54 ± 0.02 bAB | |
| 2019 | 0.63 ± 0.02 aC | 0.62 ± 0.01 aB | 0.57 ± 0.02 bB | 0.56 ± 0.02 bB | |
| 2020 | 0.57 ± 0.01 aA | 0.55 ± 0.01 abC | 0.52 ± 0.02 bcA | 0.50 ± 0.01 cAC | |
| 2021 | 0.62 ± 0.02 aBC | 0.61 ± 0.01 aB | 0.56 ± 0.03 bC | 0.54 ± 0.02 cAB | |
| Albertów LDS0.05 for distance = 0.043 LDS0.05 for years = n.s. | 2017 | 0.35 ± 0.01 a | 0.29 ± 0.01 b | 0.26 ± 0.02 bc | 0.24 ± 0.02 c |
| 2018 | 0.37 ± 0.03 a | 0.33 ± 0.03 a | 0.28 ± 0.01 bc | 0.26 ± 0.02 c | |
| 2019 | 0.40 ± 0.01 a | 0.35 ± 0.03 b | 0.33 ± 0.02 b | 0.26 ± 0.00 c | |
| 2020 | 0.39 ± 0.00 a | 0.34 ± 0.02 ab | 0.30 ± 0.01 b | 0.25 ± 0.03 c | |
| 2021 | 0.42 ± 0.01 a | 0.36 ± 0.02 b | 0.29 ± 0.02 c | 0.27 ± 0.02 c | |
| Site | Years | Distance from the Road Edge [m] | |||
|---|---|---|---|---|---|
| 5 | 20 | 50 | 100 | ||
| Piekoszów LDS0.05 for distance = 3.36 LDS0.05 for years = n.s. | 2017 | 24.3 ± 0.13 a | 23.9 ± 0.32 a | 19.4 ± 0.23 b | 18.6 ± 0.25 b |
| 2018 | 23.9 ± 0.06 a | 20.5 ± 0.71 ab | 18.1 ± 0.10 ab | 17.6 ± 0.11 b | |
| 2019 | 24.1 ± 0.05 a | 19.1 ± 0.58 b | 17.6 ± 0.19 b | 16.5 ± 0.35 b | |
| 2020 | 22.8 ± 0.10 a | 18.6 ± 0.65 b | 17.5 ± 0.43 b | 16.3 ± 0.18 b | |
| 2021 | 21.5 ± 0.12 a | 18.9 ± 0.87 b | 17.2 ± 0.19 b | 16.0 ± 0.15 b | |
| Marcinkowice LDS0.05 for distance = 3.58 LDS0.05 for years = n.s. | 2017 | 34.1 ± 0.04 a | 31.9 ± 0.57 a | 16.9 ± 0.31 b | 16.4 ± 0.30 b |
| 2018 | 30.4 ± 0.07 a | 29.3 ± 0.58 a | 15.8 ± 0.26 b | 16.2 ± 0.20 b | |
| 2019 | 28.2 ± 0.07 a | 26.4 ± 0.50 a | 15.1 ± 0.23 b | 14.9 ± 0.19 b | |
| 2020 | 28.1 ± 0.10 a | 25.9 ± 0.19 a | 15.0 ± 0.41 b | 16.4 ± 0.22 b | |
| 2021 | 27.7 ± 0.21 a | 25.4 ± 0.32 a | 15.2 ± 0.18 b | 16.3 ± 0.21 b | |
| Skorzeszyce LDS0.05 for distance = 3.58 LDS0.05 for years = n.s. | 2017 | 35.1 ± 0.22 a | 31.8 ± 0.48 a | 26.3 ± 0.23 b | 23.2 ± 0.18 b |
| 2018 | 33.0 ± 0.15 a | 28.3 ± 0.56 b | 23.9 ± 0.48 c | 22.6 ± 0.10 c | |
| 2019 | 32.2 ± 0.24 a | 27.8 ± 0.59 b | 21.5 ± 0.40 c | 20.9 ± 0.45 c | |
| 2020 | 31.9 ± 0.45 a | 27.6 ± 0.53 b | 21.3 ± 0.34 c | 20.7 ± 0.66 c | |
| 2021 | 31.1 ± 0.26 a | 27.4 ± 0.37 a | 21.1 ± 0.25 b | 20.4 ± 0.23 b | |
| Giełczew II LDS0.05 for distance = 3.61 LDS0.05 for years = n.s. | 2017 | 24.2 ± 0.34 a | 23.9 ± 0.23 a | 16.1 ± 0.05 b | 15.4 ± 0.51 b |
| 2018 | 22.9 ± 0.19 a | 23.1 ± 0.29 a | 14.2 ± 0.26 b | 14.7 ± 0.23 b | |
| 2019 | 21.8 ± 0.08 a | 22.0 ± 0.41 a | 14.5 ± 0.37 b | 13.8 ± 0.52 b | |
| 2020 | 21.6 ± 0.15 a | 21.2 ± 0.26 a | 14.4 ± 0.37 b | 14.1 ± 0.22 b | |
| 2021 | 21.5 ± 0.36 a | 21.3 ± 0.31 a | 14.5 ± 0.29 b | 13.9 ± 0.31 b | |
| Łuszczów Kolonia LDS0.05 for distance = 4.41 LDS0.05 for years = n.s. | 2017 | 32.9 ± 0.11 a | 23.2 ± 0.63 b | 20.6 ± 0.50 c | 20.3 ± 0.40 c |
| 2018 | 30.5 ± 0.19 a | 21.6 ± 0.37 b | 17.2 ± 0.64 c | 15.4 ± 0.28 c | |
| 2019 | 29.2 ± 0.22 a | 20.9 ± 0.24 b | 16.1 ± 0.63 c | 14.8 ± 0.31 c | |
| 2020 | 28.3 ± 0.23 a | 20.2 ± 0.60 b | 15.9 ± 0.73 c | 14.6 ± 0.31 c | |
| 2021 | 28.1 ± 0.19 a | 20.3 ± 0.18 b | 15.8 ± 0.32 c | 14.5 ± 0.19 c | |
| Albertów LDS0.05 for distance = 4.00 LDS0.05 for years = n.s. | 2017 | 33.2 ± 0.19 a | 30.4 ± 0.29 a | 23.5 ± 0.20 b | 23.9 ± 0.30 b |
| 2018 | 30.4 ± 0.27 a | 27.8 ± 0.63 a | 21.1 ± 0.25 b | 23.2 ± 0.38 b | |
| 2019 | 28.5 ± 0.22 a | 25.3 ± 0.26 a | 20.9 ± 0.44 b | 19.6 ± 0.21 b | |
| 2020 | 27.9 ± 0.05 a | 25.9 ± 0.52 a | 20.8 ± 0.10 b | 19.4 ± 0.30 b | |
| 2021 | 28.3 ± 0.22 a | 25.6 ± 0.59 a | 20.5 ± 0.23 b | 19.3 ± 0.33 b | |
| Site | Years | Distance from the Road Edge [m] | |||
|---|---|---|---|---|---|
| 5 | 20 | 50 | 100 | ||
| Piekoszów LDS0.05 for distance = 101.10 LDS0.05 for years = 113.68 | 2017 | 1107.1 ± 0.74 aAB | 1086.8 ± 1.29 aAB | 460.8 ± 1.09 bA | 438.6 ± 1.75 bA |
| 2018 | 1163.1 ± 0.57 aB | 1128.9 ± 1.12 aB | 511.7 ± 0.82 bA | 482.9 ± 0.76 bA | |
| 2019 | 1195.9 ± 1.13 aB | 1155.1 ± 0.86 aB | 523.5 ± 0.81 bA | 495.1 ± 1.56 bA | |
| 2020 | 1029.9 ± 0.60 aA | 1001.6 ± 1.01 aA | 480.3 ± 0.94 bA | 422.4 ± 0.95 bA | |
| 2021 | 1203.1 ± 0.54 aB | 1192.0 ± 1.40 aB | 512.9 ± 1.37 bA | 469.3 ± 1.22 bA | |
| Marcinkowice LDS0.05 for distance = 121.34 LDS0.05 for years = 126.81 | 2017 | 1063.4 ± 0.97 aAB | 1044.6 ± 1.21 aA | 456.1 ± 0.58 bAB | 436.8 ± 0.79 bA |
| 2018 | 1166.5 ± 0.73 aBC | 1116.7 ± 0.99 aA | 536.2 ± 0.71 bAB | 501.4 ± 1.12 bA | |
| 2019 | 1200.9 ± 0.59 aC | 1119.5 ± 1.01 aA | 535.5 ± 1.00 bAB | 489.8 ± 1.04 bA | |
| 2020 | 1005.2 ± 1.08 aA | 996.9 ± 1.06 aA | 411.4 ± 0.67 bA | 413.8 ± 0.93 bA | |
| 2021 | 1241.0 ± 0.57 aC | 1024.3 ± 0.77 bA | 552.1 ± 0.77 bB | 490.6 ± 0.85 bA | |
| Skorzeszyce LDS0.05 for distance = 70.82 LDS0.05 for years = n.s. | 2017 | 1049.2 ± 0.63 aA | 1015.2 ± 0.97 aA | 440.9 ± 1.17 bA | 418.7 ± 1.04 bA |
| 2018 | 1094.8 ± 0.50 aA | 1063.8 ± 0.65 aA | 489.0 ± 0.97 bA | 464.7 ± 0.75 bA | |
| 2019 | 1105.8 ± 0.47 aA | 1068.9 ± 0.75 aA | 478.9 ± 1.08 bA | 459.0 ± 1.18 bA | |
| 2020 | 988.5 ± 0.51 aA | 971.6 ± 0.76 aA | 433.7 ± 0.53 bA | 419.5 ± 0.94 bA | |
| 2021 | 1112.3 ± 1.39 aA | 1092.3 ± 1.09 a | 460.9 ± 1.12 bA | 424.7 ± 0.65 bA | |
| Giełczew II LDS0.05 for distance = 130.11 LDS0.05 for years = 142.73 | 2017 | 1055.5 ± 0.79 aAB | 1020.6 ± 1.46 aAB | 436.7 ± 0.89 bA | 421.5 ± 1.02 bA |
| 2018 | 1155.2 ± 0.24 aAB | 1130.0 ± 0.57 aAB | 525.5 ± 0.95 bA | 498.0 ± 0.61 bA | |
| 2019 | 1202.2 ± 0.99 aB | 1165.8 ± 1.18 aB | 490.7 ± 0.53 bA | 463.1 ± 1.18 bA | |
| 2020 | 1018.7 ± 0.46 aA | 1004.5 ± 0.93 aA | 422.8 ± 1.13 bA | 418.5 ± 1.13 bA | |
| 2021 | 1268.4 ± 1.51 aB | 1190.2 ± 0.56 aB | 486.1 ± 0.84 bA | 453.2 ± 1.05 bA | |
| Łuszczów Kolonia LDS0.05 for distance = 112.78 LDS0.05 for years = 127.41 | 2017 | 1161.2 ± 1.27 aAB | 1130.7 ± 0.76 aAB | 487.4 ± 0.78 bA | 464.8 ± 1.54 bA |
| 2018 | 1265.8 ± 0.92 aAB | 1230.4 ± 1.25 aAB | 581.8 ± 0.77 bA | 563.7 ± 0.93 bA | |
| 2019 | 1301.5 ± 1.56 aB | 1253.6 ± 0.77 aB | 582.3 ± 0.99 bA | 540.4 ± 1.34 bA | |
| 2020 | 1154.7 ± 0.95 aA | 1120.5 ± 0.61 aA | 491.6 ± 1.06 bA | 455.2 ± 0.87 bA | |
| 2021 | 1328.6 ± 0.82 aB | 1249.8 ± 0.54 aB | 573.2 ± 1.00 bA | 528.9 ± 1.27 bA | |
| Albertów LDS0.05 for distance = 97.11 LDS0.05 for years = n.s. | 2017 | 1001.6 ± 0.72 aA | 957.8 ± 1.08 aA | 402.9 ± 0.65 bA | 378.9 ± 1.33 bA |
| 2018 | 1066.3 ± 0.83 aA | 1024.1 ± 1.11 aA | 485.0 ± 0.84 bA | 448.4 ± 0.98 bA | |
| 2019 | 1097.9 ± 0.62 aA | 1040.2 ± 0.90 aA | 489.5 ± 0.94 bA | 466.9 ± 0.61 bA | |
| 2020 | 984.9 ± 0.77 aA | 922.1 ± 0.60 aA | 392.6 ± 0.82 bA | 349.4 ± 1.29 bA | |
| 2021 | 1106.2 ± 0.48 aA | 1054.8 ± 1.00 aA | 459.5 ± 1.00 bA | 472.3 ± 1.18 bA | |
| Site | Years | Distance from the Road Edge [m] | |||
|---|---|---|---|---|---|
| 5 | 20 | 50 | 100 | ||
| Piekoszów LDS0.05 for distance = 0.337 LDS0.05 for years = 0.554 | 2017 | 0.99 ± 0.04 aA | 1.25 ± 0.01 aA | 2.41 ± 0.02 bB | 2.45 ± 0.03 bB |
| 2018 | 0.93 ± 0.02 aA | 1.17 ± 0.02 aA | 2.20 ± 0.01 bAB | 2.28 ± 0.01 bAB | |
| 2019 | 0.88 ± 0.02 aA | 0.94 ± 0.03 aA | 1.84 ± 0.02 bA | 1.83 ± 0.02 bA | |
| 2020 | 1.58 ± 0.02 aB | 2.84 ± 0.02 bB | 3.11 ± 0.02 cC | 3.28 ± 0.02 cC | |
| 2021 | 0.92 ± 0.03 aA | 1.05 ± 0.03 aA | 1.97 ± 0.03 bAB | 2.03 ± 0.02 bAB | |
| Marcinkowice LDS0.05 for distance = 0.370 LDS0.05 for years = n.s. | 2017 | 0.93 ± 0.02 a | 1.20 ± 0.06 b | 4.08 ± 0.01 c | 4.76 ± 0.03 d |
| 2018 | 0.89 ± 0.01 a | 1.08 ± 0.01 a | 3.78 ± 0.02 b | 4.13 ± 0.02 c | |
| 2019 | 0.80 ± 0.02 a | 0.95 ± 0.02 a | 3.16 ± 0.02 b | 3.37 ± 0.02 b | |
| 1.41 | 1.62 ± 0.04 a | 3.46 ± 0.04 b | 4.79 ± 0.02 | 4.81 ± 0.01 c | |
| 0.90 | 0.98 ± 0.01 a | 2.52 ± 0.01 b | 4.54 ± 0.02 c | 4.70 ± 0.02 d | |
| Skorzeszyce LDS0.05 for distance = 0.335 LDS0.05 for years = 0.729 | 2017 | 1.90 ± 0.02 aAB | 1.96 ± 0.03 aB | 3.73 ± 0.02 bB | 3.78 ± 0.01 bB |
| 2018 | 1.59 ± 0.01 aAB | 1.65 ± 0.02 aAB | 2.92 ± 0.01 bA | 3.15 ± 0.04 bAB | |
| 2019 | 1.35 ± 0.01 aA | 1.16 ± 0.02 aA | 2.60 ± 0.03 bA | 2.94 ± 0.02 cA | |
| 2020 | 2.17 ± 0.02 aB | 2.39 ± 0.08 bB | 3.65 ± 0.03 cB | 3.80 ± 0.02 cB | |
| 2021 | 1.20 ± 0.01 aA | 1.26 ± 0.03 aAB | 2.89 ± 0.02 bA | 2.97 ± 0.02 bA | |
| Giełczew II LDS0.05 for distance = 0.192 LDS0.05 for years = n.s. | 2017 | 1.48 ± 0.02 a | 2.49 ± 0.02 b | 4.28 ± 0.02 c | 4.45 ± 0.03 c |
| 2018 | 1.69 ± 0.02 a | 2.26 ± 0.02 b | 4.16 ± 0.01 c | 4.33 ± 0.02 c | |
| 2019 | 1.38 ± 0.01 a | 2.12 ± 0.02 b | 4.12 ± 0.03 c | 4.14 ± 0.01 c | |
| 2020 | 1.86 ± 0.01 a | 2.74 ± 0.02 b | 4.55 ± 0.03 c | 4.60 ± 0.02 c | |
| 2021 | 1.23 ± 0.02 a | 1.83 ± 0.01 b | 4.06 ± 0.02 c | 4.39 ± 0.02 d | |
| Łuszczów Kolonia LDS0.05 for distance = 0.230 LDS0.05 for years = n.s. | 2017 | 1.05 ± 0.02 a | 1.76 ± 0.01 b | 4.05 ± 0.02 c | 4.76 ± 0.01 d |
| 2018 | 0.99 ± 0.01 a | 1.52 ± 0.02 b | 4.10 ± 0.01 c | 4.52 ± 0.03 d | |
| 2019 | 0.94 ± 0.02 a | 1.43 ± 0.01 b | 3.74 ± 0.01 c | 4.05 ± 0.02 d | |
| 2020 | 1.64 ± 0.03 a | 2.18 ± 0.01 b | 4.30 ± 0.03 c | 4.85 ± 0.01 d | |
| 2021 | 1.03 ± 0.01 a | 1.26 ± 0.01 a | 4.01 ± 0.03 b | 4.29 ± 0.02 c | |
| Albertów LDS0.05 for distance = 0.224 LDS0.05 for years = n.s. | 2017 | 1.92 ± 0.02 a | 2.01 ± 0.02 a | 3.87 ± 0.02 c | 4.56 ± 0.02 d |
| 2018 | 1.82 ± 0.02 a | 1.88 ± 0.01 a | 3.65 ± 0.03 b | 4.38 ± 0.02 d | |
| 2019 | 1.47 ± 0.02 a | 1.70 ± 0.02 b | 3.22 ± 0.01 c | 4.30 ± 0.01 d | |
| 2020 | 2.09 ± 0.01 a | 2.54 ± 0.02 b | 3.92 ± 0.02 c | 4.67 ± 0.03 d | |
| 2021 | 1.62 ± 0.02 a | 1.78 ± 0.01 a | 3.06 ± 0.02 c | 4.41 ± 0.02 d | |
| Site | Years | Distance from the Road Edge [m] | |||
|---|---|---|---|---|---|
| 5 | 20 | 50 | 100 | ||
| Piekoszów LDS0.05 for distance = 0.748 LDS0.05 for years = 1.598 | 2017 | 7.80 ± 0.03 aA | 7.94 ± 0.03 aA | 10.33 ± 0.03 bAB | 12.38 ± 0.04 cAB |
| 2018 | 7.52 ± 0.01 aA | 7.68 ± 0.03 aA | 9.54 ± 0.04 bA | 12.57 ± 0.07 cB | |
| 2019 | 6.84 ± 0.04 aA | 7.05 ± 0.04 aA | 9.03 ± 0.04 bA | 9.81 ± 0.08 cA | |
| 2020 | 8.02 ± 0.02 aA | 8.34 ± 0.02 aA | 11.77 ± 0.06 bB | 12.39 ± 0.05 cAB | |
| 2021 | 6.71 ± 0.02 aA | 6.93 ± 0.02 aA | 9.26 ± 0.06 bA | 10.11 ± 0.02 cAB | |
| Marcinkowice LDS0.05 for distance = 0.612 LDS0.05 for years = n.s. | 2017 | 8.59 ± 0.02 a | 9.97 ± 0.04 b | 14.08 ± 0.06 c | 14.09 ± 0.05 c |
| 2018 | 8.55 ± 0.02 a | 9.08 ± 0.04 a | 13.85 ± 0.07 b | 13.86 ± 0.04 b | |
| 2019 | 7.16 ± 0.02 a | 8.27 ± 0.01 b | 13.01 ± 0.02 c | 13.26 ± 0.03 c | |
| 2020 | 9.22 ± 0.03 a | 10.15 ± 0.03 b | 14.37 ± 0.03 c | 14.56 ± 0.04 c | |
| 2021 | 6.98 ± 0.03 a | 8.06 ± 0.02 b | 12.85 ± 0.03 c | 14.18 ± 0.05 d | |
| Skorzeszyce LDS0.05 for distance = 0.828 LDS0.05 for years = 1.505 | 2017 | 7.06 ± 0.02 aAB | 9.24 ± 0.03 bB | 11.45 ± 0.02 cAB | 11.99 ± 0.05 cB |
| 2018 | 6.67 ± 0.01 aAB | 8.44 ± 0.04 bAB | 10.15 ± 0.03 cAB | 10.37 ± 0.04 cAB | |
| 2019 | 5.64 ± 0.02 aA | 8.18 ± 0.02 bAB | 9.24 ± 0.03 cA | 9.62 ± 0.03 cAB | |
| 2020 | 7.38 ± 0.02 aB | 9.71 ± 0.02 bB | 11.89 ± 0.03 cB | 12.04 ± 0.03 cB | |
| 2021 | 6.29 ± 0.01 aAB | 7.34 ± 0.03 bA | 9.05 ± 0.03 cA | 9.27 ± 0.04 cA | |
| Giełczew II LDS0.05 for distance = 0.605 LDS0.05 for years = 1.190 | 2017 | 10.24 ± 0.02 aB | 10.89 ± 0.03 bB | 12.79 ± 0.05 cA | 13.02 ± 0.04 cB |
| 2018 | 10.11 ± 0.03 aAB | 10.58 ± 0.03 aB | 12.39 ± 0.05 bA | 12.67 ± 0.03 cAB | |
| 2019 | 9.20 ± 0.02 aAB | 9.69 ± 0.02 aAB | 12.15 ± 0.03 bA | 11.67 ± 0.04 bA | |
| 2020 | 11.35 ± 0.03 aC | 11.45 ± 0.02 aB | 12.88 ± 0.06 bA | 13.57 ± 0.05 | |
| 2021 | 8.96 ± 0.03 aA | 9.08 ± 0.03 aA | 11.95 ± 0.01 bA | 13.21 ± 0.03 cB | |
| Łuszczów Kolonia LDS0.05 for distance = 0.724 LDS0.05 for years = 1.833 | 2017 | 7.26 ± 0.02 aA | 9.23 ± 0.02 bB | 11.33 ± 0.03 bA | 12.26 ± 0.03 cA |
| 2018 | 7.18 ± 0.03 aA | 8.20 ± 0.03 bAB | 11.70 ± 0.02 cA | 11.82 ± 0.06 cA | |
| 2019 | 6.55 ± 0.02 aA | 6.78 ± 0.06 aA | 10.56 ± 0.05 bA | 11.15 ± 0.06 bA | |
| 2020 | 8.10 ± 0.02 aA | 9.87 ± 0.04 bB | 11.91 ± 0.03 bA | 12.35 ± 0.05 bA | |
| 2021 | 6.35 ± 0.02 aA | 6.42 ± 0.01 aA | 10.28 ± 0.06 bA | 11.16 ± 0.05 cA | |
| Albertów LDS0.05 for distance = 0.735 LDS0.05 for years = 1.712 | 2017 | 7.26 ± 0.00 aAB | 8.65 ± 0.04 bBC | 10.14 ± 0.04 bA | 11.72 ± 0.05 cA |
| 2018 | 6.35 ± 0.02 aAB | 8.34 ± 0.02 bB | 9.65 ± 0.03 cA | 11.23 ± 0.04 dA | |
| 2019 | 6.22 ± 0.03 aAB | 6.43 ± 0.03 aA | 9.81 ± 0.03 bA | 10.83 ± 0.05 cA | |
| 2020 | 7.80 ± 0.00 aB | 9.15 ± 0.02 bC | 11.96 ± 0.03 cB | 11.95 ± 0.04 cA | |
| 2021 | 6.02 ± 0.02 aA | 6.22 ± 0.02 aA | 9.54 ± 0.03 bA | 10.73 ± 0.04 cA | |
| Site | Years | Distance from the Road Edge [m] | |||
|---|---|---|---|---|---|
| 5 | 20 | 50 | 100 | ||
| Piekoszów LDS0.05 for distance = 0.318 LDS0.05 for years = n.s. | 2017 | 14.15 ± 0.03 a | 12.53 ± 0.01 b | 10.70 ± 0.06 c | 10.95 ± 0.06 c |
| 2018 | 13.62 ± 0.02 a | 12.40 ± 0.03 b | 10.08 ± 0.01 c | 10.32 ± 0.04 c | |
| 2019 | 13.37 ± 0.02 a | 12.56 ± 0.02 b | 10.65 ± 0.01 c | 10.86 ± 0.01 c | |
| 2020 | 12.78 ± 0.01 a | 12.34 ± 0.02 b | 10.53 ± 0.02 c | 10.89 ± 0.02 d | |
| 2021 | 13.22 ± 0.02 a | 12.01 ± 0.01 b | 10.76 ± 0.03 c | 10.62 ± 0.02 c | |
| Marcinkowice LDS0.05 for distance = 0.698 LDS0.05 for years = 1.693 | 2017 | 15.53 ± 0.03 aB | 12.14 ± 0.02 bB | 10.39 ± 0.02 cB | 10.74 ± 0.01 cA |
| 2018 | 14.61 ± 0.02 aAB | 10.59 ± 0.02 bA | 9.42 ± 0.01 cAB | 9.43 ± 0.02 cA | |
| 2019 | 13.95 ± 0.03 aAB | 9.62 ± 0.01 bA | 8.58 ± 0.01 cA | 8.40 ± 0.02 cA | |
| 2020 | 12.67 ± 0.02 aA | 11.86 ± 0.02 bB | 10.35 ± 0.02 cB | 10.61 ± 0.04 cA | |
| 2021 | 13.82 ± 0.02 aAB | 10.15 ± 0.02 bA | 9.20 ± 0.03 cAB | 9.86 ± 0.02 bcA | |
| Skorzeszyce LDS0.05 for distance = 0.645 LDS0.05 for years = 0.840 | 2017 | 12.42 ± 0.01 aB | 12.06 ± 0.02 abB | 11.54 ± 0.03 abB | 10.01 ± 0.03 cB |
| 2018 | 11.68 ± 0.03 aAB | 11.05 ± 0.03 abA | 10.79 ± 0.04 bA | 9.63 ± 0.03 cAB | |
| 2019 | 11.25 ± 0.01 aA | 10.69 ± 0.01 abA | 10.44 ± 0.02 bA | 8.77 ± 0.02 cA | |
| 2020 | 12.46 ± 0.03 aB | 12.33 ± 0.03 abB | 12.09 ± 0.00 abB | 11.72 ± 0.02 bB | |
| 2021 | 12.27 ± 0.02 aB | 12.08 ± 0.01 aB | 11.38 ± 0.01 bB | 8.95 ± 0.03 cA | |
| Giełczew II LDS0.05 for distance = 0.439 LDS0.05 for years = n.s. | 2017 | 16.38 ± 0.03 a | 14.83 ± 0.04 b | 10.36 ± 0.02 c | 10.68 ± 0.02 c |
| 2018 | 15.65 ± 0.03 a | 14.39 ± 0.04 b | 9.48 ± 0.01 c | 10.22 ± 0.02 c | |
| 2019 | 15.00 ± 0.01 a | 14.36 ± 0.02 b | 9.45 ± 0.02 c | 10.20 ± 0.02 c | |
| 2020 | 14.18 ± 0.02 a | 13.20 ± 0.02 b | 9.36 ± 0.03 c | 9.90 ± 0.02 d | |
| 2021 | 14.97 ± 0.03 a | 13.88 ± 0.01 b | 9.52 ± 0.01 c | 10.16 ± 0.01 d | |
| Łuszczów Kolonia LDS0.05 for distance = 0.467 LDS0.05 for years = n.s. | 2017 | 17.40 ± 0.01 a | 14.43 ± 0.04 b | 11.93 ± 0.01 c | 12.56 ± 0.03 d |
| 2018 | 16.72 ± 0.02 a | 14.44 ± 0.03 b | 11.26 ± 0.02 c | 12.18 ± 0.01 d | |
| 2019 | 16.81 ± 0.02 a | 14.25 ± 0.00 b | 10.62 ± 0.01 c | 10.66 ± 0.01 c | |
| 2020 | 15.34 ± 0.03 a | 13.67 ± 0.02 b | 11.43 ± 0.02 c | 11.85 ± 0.02 c | |
| 2021 | 16.50 ± 0.02 a | 13.98 ± 0.02 b | 11.05 ± 0.02 c | 11.24 ± 0.02 c | |
| Albertów LDS0.05 for distance = 0.498 LDS0.05 for years = n.s. | 2017 | 13.60 ± 0.02 a | 12.54 ± 0.01 b | 10.03 ± 0.02 c | 10.18 ± 0.02 c |
| 2018 | 13.48 ± 0.02 a | 10.73 ± 0.04 b | 10.12 ± 0.01 c | 9.37 ± 0.02 d | |
| 2019 | 13.00 ± 0.02 a | 10.31 ± 0.02 b | 9.67 ± 0.03 c | 8.62 ± 0.02 d | |
| 2020 | 11.92 ± 0.01 a | 11.08 ± 0.02 b | 9.43 ± 0.02 c | 9.20 ± 0.04 c | |
| 2021 | 12.55 ± 0.02 a | 11.76 ± 0.04 b | 9.71 ± 0.02 c | 8.93 ± 0.01 d | |
| Parameter | pHKCl | TOC | TN | Cd | Pb | 14PAHs | ADh | APh | AU |
|---|---|---|---|---|---|---|---|---|---|
| pHKCl | - | −0.61 *** | −0.49 ** | n.s. | n.s. | n.s. | −0.52 ** | n.s. | n.s. |
| TOC | - | 0.97 *** | n.s. | 0.49 ** | n.s. | 0.60 *** | n.s. | n.s. | |
| TN | - | n.s. | 0.48 ** | n.s. | 0.60 ** | n.s. | n.s. | ||
| Cd | - | −0.41 * | 0.75 *** | n.s. | n.s. | 0.72 *** | |||
| Pb | - | −0.47 ** | n.s. | n.s. | n.s. | ||||
| 14PAHs | - | −0.40 * | n.s. | 0.40 * | |||||
| ADh | - | 0.64 *** | n.s. | ||||||
| APh | - | n.s. | |||||||
| AU | - |
Disclaimer/Publisher’s Note: The statements, opinions and data contained in all publications are solely those of the individual author(s) and contributor(s) and not of MDPI and/or the editor(s). MDPI and/or the editor(s) disclaim responsibility for any injury to people or property resulting from any ideas, methods, instructions or products referred to in the content. |
© 2023 by the authors. Licensee MDPI, Basel, Switzerland. This article is an open access article distributed under the terms and conditions of the Creative Commons Attribution (CC BY) license (https://creativecommons.org/licenses/by/4.0/).
Share and Cite
Zawierucha, E.; Zawierucha, M.; Futa, B.; Mocek-Płóciniak, A. Impact of COVID-19 Pandemic Constraints on the Ecobiochemical Status of Cultivated Soils along Transportation Routes. Toxics 2023, 11, 329. https://doi.org/10.3390/toxics11040329
Zawierucha E, Zawierucha M, Futa B, Mocek-Płóciniak A. Impact of COVID-19 Pandemic Constraints on the Ecobiochemical Status of Cultivated Soils along Transportation Routes. Toxics. 2023; 11(4):329. https://doi.org/10.3390/toxics11040329
Chicago/Turabian StyleZawierucha, Elżbieta, Marcin Zawierucha, Barbara Futa, and Agnieszka Mocek-Płóciniak. 2023. "Impact of COVID-19 Pandemic Constraints on the Ecobiochemical Status of Cultivated Soils along Transportation Routes" Toxics 11, no. 4: 329. https://doi.org/10.3390/toxics11040329
APA StyleZawierucha, E., Zawierucha, M., Futa, B., & Mocek-Płóciniak, A. (2023). Impact of COVID-19 Pandemic Constraints on the Ecobiochemical Status of Cultivated Soils along Transportation Routes. Toxics, 11(4), 329. https://doi.org/10.3390/toxics11040329

