Genotoxic and Toxic Effects of The Flame Retardant Tris(Chloropropyl) Phosphate (TCPP) in Human Lymphocytes, Microalgae and Bacteria
Abstract
1. Introduction
2. Materials and Methods
2.1. Chemicals and Reagents
2.2. Algal Biotest
2.3. Aliivibrio fischeri Bioluminescence Inhibition Test
2.4. CBMN Assay
2.5. Statistics
2.6. Ethic Statement
3. Results and Discussion
3.1. Genotoxicity Evaluation Using the CBMN Assay
Genotoxicological Effects on Human Lymphocytes
3.2. Ecotoxicity Assessment
3.2.1. Effects of TCPP on Freshwater and Saltwater Algal Species
- (i)
- highly toxic: EC(IC)50 ≤ 1 mg L−1;
- (ii)
- toxic: 1 mg L−1 < EC(IC)50 ≤ 10 mg L−1;
- (iii)
- harmful to aquatic organisms: 10 mg L−1 < EC (IC)50 ≤ 100 mg L−1.
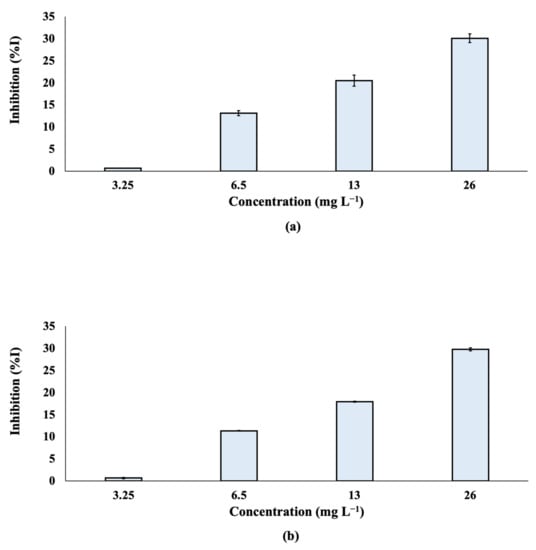
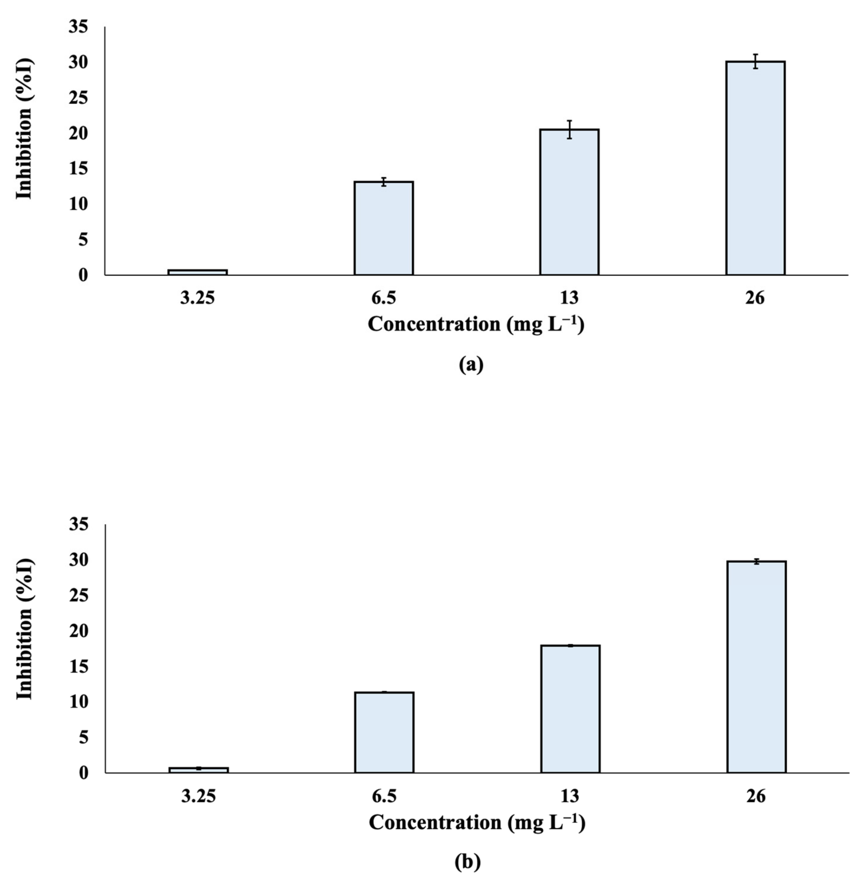
3.2.2. Aliivibrio fischeri Bioluminescence Inhibition Test
4. Conclusions
Supplementary Materials
Author Contributions
Funding
Institutional Review Board Statement
Informed Consent Statement
Data Availability Statement
Conflicts of Interest
References
- Andresen, J.A.; Grundmann, A.; Bester, K. Organophosphorus flame retardants and plasticisers in surface waters. Sci. Total Environ. 2004, 332, 155–166. [Google Scholar] [CrossRef] [PubMed]
- van der Veen, I.; de Boer, J. Phosphorus flame retardants: Properties, production, environmental occurrence, toxicity and analysis. Chemosphere 2012, 88, 1119–1153. [Google Scholar] [CrossRef] [PubMed]
- Blum, A.; Behl, M.; Birnbaum, L.; Diamond, M.L.; Phillips, A.; Singla, V.; Sipes, N.S.; Stapleton, H.M.; Venier, M. Organophosphate Ester Flame Retardants: Are They a Regrettable Substitution for Polybrominated Diphenyl Ethers? Environ. Sci. Technol. Lett. 2019, 6, 638–649. [Google Scholar] [CrossRef] [PubMed]
- Patisaul, H.B.; Behl, M.; Birnbaum, L.S.; Blum, A.; Diamond, M.L.; Fernández, S.R.; Hogberg, H.T.; Kwiatkowski, C.F.; Page, J.D.; Soehl, A.; et al. Beyond Cholinesterase Inhibition: Developmental Neurotoxicity of Organophosphate Ester Flame Retardants and Plasticizers. Environ. Health Perspect. 2021, 129, 105001. [Google Scholar] [CrossRef]
- National Toxicology Program (NTP). NTP Developmental and Reproductive Toxicity Technical Report on the Prenatal Development Studies of Tris(Chloropropyl) Phosphate (CASRN 13674-84-5) in Sprague Dawley (Hsd:Sprague Dawley SD) Rats (Gavage Studies); National Toxicology Program: Research Triangle Park, NC, USA, 2020; Available online: https://doi.org/10.22427/ntp-dart-0 (accessed on 30 May 2022).
- Environmental Protection Agency (EPA). Chemical Data Reporting (CDR): 2-Propanol, 1-Chloro, 2,2′2″-Phosphate; U.S. Environmental Protection Agency, Office of Chemical Safety and Pollution Prevention, Office of Pollution Prevention and Toxics: Washington, DC, USA, 2012. [Google Scholar]
- Environmental Protection Agency (EPA). TSCA Work Plan Chemical Problem Formulation and Initial Assessment: Chlorinated Phosphate Ester Cluster Flame Retardants; Environmental Protection Agency, Office of Chemical Safety and Pollution Prevention, Office of Pollution Prevention and Toxics: Washington, DC, USA, 2015. [Google Scholar]
- Environmental Protection Agency (EPA). Substance information: Tris (2-chloro-1-methylethyl) phosphate. 2016. Available online: https://echa.europa.eu/substance-information/-/substanceinfo/100.033.766 (accessed on 30 May 2022).
- European Chemicals Agency (ECHA). Screening Report. An Assessment of whether the Use of TCEP, TCPP and TDCP in Articles Should Be Restricted. 2018. Available online: https://echa.europa.eu/documents/10162/13641/screening_report_tcep_tcpp_td-cp_en.pdf/e0960aa7-f703-499c-24ff-fba627060698 (accessed on 30 May 2022).
- European Chemicals Agency (ECHA). Registry of Restriction Intentions until Outcome. 2019. Available online: https://echa.europa.eu/registry-of-restriction-intentions/-/dislist/details/0b0236e1829a30b8 (accessed on 30 May 2022).
- European Chemicals Agency (ECHA). Tris(2-chloro-1-methylethyl) Phosphate. 2022. Available online: https://echa.europa.eu/el/substance-information/-/substanceinfo/100.033.766 (accessed on 30 May 2022).
- Organisation for Economic Co-operation and Development. Screening Information Dataset (SIDS) Initial Assessment Profile: Tris(1-Chloro-2-Propyl)Phosphate, CAS No: 13674-84-5; UNEP Chemicals, UNEP Publications: Geneva, Switzerland, 2000; Available online: https://hpvchemicals.oecd.org/UI/handler.axd?id=2d21fd8a-1b05-4c2e-b698-7a45672c51af (accessed on 25 May 2022).
- Environmental Protection Agency (EPA). Reducing Your Child’s Exposure to Flame Retardant Chemicals; U.S. Environmental Protection Agency: Washington, DC, USA, 2016. [Google Scholar]
- Environmental Protection Agency (EPA). Flame Retardants Used in Flexible Polyurethane Foam: An Alternatives Assessment Update; U.S. Environmental Protection Agency: Washington, DC, USA, 2015. [Google Scholar]
- Regnery, J.; Püttmann, W. Occurrence and fate of organophosphorus flame retardants and plasticizers in urban and remote surface waters in Germany. Water Res. 2010, 44, 4097–4104. [Google Scholar] [CrossRef]
- Wang, X.; Zhu, Q.; Yan, X.; Wang, Y.; Liao, C.; Jiang, G. A review of organophosphate flame retardants and plasticizers in the environment: Analysis, occurrence and risk assessment. Sci. Total Environ. 2020, 731, 139071. [Google Scholar] [CrossRef]
- Rauert, C.; Schuster, J.K.; Eng, A.; Harner, T. Global Atmospheric Concentrations of Brominated and Chlorinated Flame Retardants and Organophosphate Esters. Environ. Sci. Technol. 2018, 52, 2777–2789. [Google Scholar] [CrossRef]
- World Health Organization (WHO). Flame retardants: Tris(Chloropropyl) Phosphate and Tris(2-Chloroethyl) Phosphate; Environmental Health Criteria 209; World Health Organization: Geneva, Switzerland, 1998; Available online: https://apps.who.int/iris/bitstream/handle/10665/42148/WHO_EHC_209.pdf (accessed on 10 September 2022).
- European Commission. Commission directive 2014/79/EU of 20 June 2014 amending Appendix C of Annex II to Directive 2009/48/EC of the European Parliament and of the Council on the Safety of Toys, as Regards TCEP, TCPP and TDCP. Off. J. E.U. 2014, 182, 49–51. Available online: http://data.europa.eu/eli/dir/2014/79/oj (accessed on 9 March 2022).
- Frederiksen, M.; Stapleton, H.M.; Vorkamp, K.; Webster, T.F.; Jensen, N.M.; Sørensen, J.A.; Nielsen, F.; Knudsen, L.E.; Sørensen, L.S.; Clausen, P.A.; et al. Dermal uptake and percutaneous penetration of organophosphate esters in a human skin ex vivo model. Chemosphere 2018, 197, 185–192. [Google Scholar] [CrossRef]
- Föllmann, W.; Wober, J. Investigation of cytotoxic, genotoxic, mutagenic, and estrogenic effects of the flame retardants tris-(2-chloroethyl)-phosphate (TCEP) and tris-(2-chloropropyl)-phosphate (TCPP) in vitro. Toxicol. Lett. 2006, 161, 124–134. [Google Scholar] [CrossRef]
- Saquib, Q.; Siddiqui, M.; Al-Khedhairy, A. Organophosphorus flame-retardant tris(1-chloro-2-propyl)phosphate is genotoxic and apoptotic inducer in human umbilical vein endothelial cells. J. Appl. Toxicol. 2021, 41, 861–873. [Google Scholar] [CrossRef]
- Bashir, I.; Lone, F.A.; Bhat, R.A.; Mir, S.A.; Dar, Z.A.; Dar, S.A. Concerns and Threats of Contamination on Aquatic Ecosystems. In Bioremediation and Biotechnology; Hakeem, K., Bhat, R., Qadri, H., Eds.; Springer International Publishing: Cham, Switzerland, 2020; pp. 1–26. [Google Scholar] [CrossRef]
- Ribeiro-Brasil, D.R.G.; Torres, N.R.; Picanço, A.B.; Sousa, D.S.; Ribeiro, V.S.; Brasil, L.S.; de Assis Montag, L.F. Contamination of stream fish by plastic waste in the Brazilian Amazon. Environ. Pollut. 2020, 266, 115241. [Google Scholar] [CrossRef]
- Lin, L.; Yang, H.; Xu, X. Effects of Water Pollution on Human Health and Disease Heterogeneity: A Review. Front. Environ. Sci. 2022, 10, 880246. [Google Scholar] [CrossRef]
- Vlastos, D.; Antonopoulou, M.; Konstantinou, I. Evaluation of toxicity and genotoxicity of 2-chlorophenol on bacteria, fish and human cells. Sci. Total Environ. 2016, 551, 649–655. [Google Scholar] [CrossRef]
- Gellert, G. Sensitivity and Significance of Luminescent Bacteria in Chronic Toxicity Testing Based on Growth and Bioluminescence. Ecotoxicol. Environ. Saf. 2000, 45, 87–91. [Google Scholar] [CrossRef]
- Ma, X.Y.; Wang, X.C.; Ngo, H.H.; Guo, W.; Wu, M.N.; Wang, N. Bioassay based luminescent bacteria: Interferences, improvements, and applications. Sci. Total Environ. 2014, 468, 1–11. [Google Scholar] [CrossRef]
- Organization for the Economic Cooperation and Development. Test No. 201: Freshwater Alga and Cyanobacteria, Growth Inhibition Test, In OECD Guidelines for the Testing of Chemicals, Section 2; OECD Publishing: Paris, France, 2011. [Google Scholar] [CrossRef]
- Terekhova, V.A.; Wadhia, K.; Fedoseeva, E.V.; Uchanov, P.V. Bioassay standardization issues in freshwater ecosystem assessment: Test cultures and test conditions. Knowl. Manag. Aquat. Ecosyst. 2018, 419, 32. [Google Scholar] [CrossRef]
- Kirsch-Volders, M.; Plas, G.; Elhajouji, A.; Lukamowicz, M.; Gonzalez, L.; Loock, K.V.; Decordier, I. The in vitro MN assay in 2011: Origin and fate, biological significance, protocols, high throughput methodologies and toxicological relevance. Arch. Toxicol. 2011, 85, 873–899. [Google Scholar] [CrossRef]
- Attia, S.M.; Harisa, G.I. Risks of Environmental Genotoxicants. In Environmental Health Risk: Hazardous Factors to Living Species; Larramendy, M., Soloneski, S., Eds.; IntechOpen: London, UK, 2016. [Google Scholar] [CrossRef]
- Organisation for Economic Co-operation and Development (OECD). Test No. 487: In Vitro Mammalian Cell Micronucleus Test, In OECD Guidelines for the Testing of Chemicals, Section 4; OECD Publishing: Paris, France, 2016; Available online: https://doi.org/10.1787/9789264264861-en (accessed on 27 May 2022).
- Spyrou, A.; Tzamaria, A.; Dormousoglou, M.; Skourti, A.; Vlastos, D.; Papadaki, M.; Antonopoulou, M. The overall assessment of simultaneous photocatalytic degradation of Cimetidine and Amisulpride by using chemical and genotoxicological approaches. Sci. Total Environ. 2022, 838, 156140. [Google Scholar] [CrossRef]
- Fenech, M. The advantages and disadvantages of the cytokinesis-block micronucleus method. Mutat. Res. Toxicol. Environ. Mutagen. 1997, 392, 11–18. [Google Scholar] [CrossRef]
- Fenech, M.; Chang, W.P.; Kirsch-Volders, M.; Holland, N.; Bonassi, S.; Zeiger, E. HUMN project: Detailed description of the scoring criteria for the cytokinesis-block micronucleus assay using isolated human lymphocyte cultures. Mutat. Res. Toxicol. Environ. Mutagen. 2002, 534, 65–75. [Google Scholar] [CrossRef] [PubMed]
- Surrallés, J.; Xamena, N.; Creus, A.; Catalán, J.; Norppa, H.; Marcos, R. Induction of micronuclei by five pyrethroid insecticides in whole-blood and isolated human lymphocyte cultures. Mutat. Res. Toxicol. 1995, 341, 169–184. [Google Scholar] [CrossRef] [PubMed]
- Farhat, A.; Buick, J.K.; Williams, A.; Yauk, C.L.; O’Brien, J.M.; Crump, D.; Williams, K.L.; Chiu, S.; Kennedy, S.W. Tris(1,3-dichloro-2-propyl) phosphate perturbs the expression of genes involved in immune response and lipid and steroid metabolism in chicken embryos. Toxicol. Appl. Pharmacol. 2014, 275, 104–112. [Google Scholar] [CrossRef] [PubMed]
- Farhat, A.; Crump, D.; Chiu, S.; Williams, K.L.; Letcher, R.J.; Gauthier, L.T.; Kennedy, S.W. In Ovo Effects of Two Organophosphate Flame Retardants—TCPP and TDCPP—On Pipping Success, Development, mRNA Expression, and Thyroid Hormone Levels in Chicken Embryos. Toxicol. Sci. 2013, 134, 92–102. [Google Scholar] [CrossRef] [PubMed]
- Dishaw, L.V.; Hunter, D.L.; Padnos, B.; Padilla, S.; Stapleton, H.M. Developmental Exposure to Organophosphate Flame Retardants Elicits Overt Toxicity and Alters Behavior in Early Life Stage Zebrafish (Danio rerio). Toxicol. Sci. 2014, 142, 445–454. [Google Scholar] [CrossRef]
- Noyes, P.D.; Haggard, D.E.; Gonnerman, G.D.; Tanguay, R.L. Advanced Morphological—Behavioral Test Platform Reveals Neurodevelopmental Defects in Embryonic Zebrafish Exposed to Comprehensive Suite of Halogenated and Organophosphate Flame Retardants. Toxicol. Sci. 2015, 145, 177–195. [Google Scholar] [CrossRef]
- Dishaw, L.V.; Powers, C.M.; Ryde, I.T.; Roberts, S.C.; Seidler, F.J.; Slotkin, T.A.; Stapleton, H.M. Is the PentaBDE replacement, tris (1,3-dichloro-2-propyl) phosphate (TDCPP), a developmental neurotoxicant? Studies in PC12 cells. Toxicol. Appl. Pharmacol. 2011, 256, 281–289. [Google Scholar] [CrossRef]
- Liu, X.; Ji, K.; Choi, K. Endocrine disruption potentials of organophosphate flame retardants and related mechanisms in H295R and MVLN cell lines and in zebrafish. Aquat. Toxicol. 2012, 114, 173–181. [Google Scholar] [CrossRef]
- Kojima, H.; Takeuchi, S.; Itoh, T.; Iida, M.; Kobayashi, S.; Yoshida, T. In vitro endocrine disruption potential of organophosphate flame retardants via human nuclear receptors. Toxicology 2013, 314, 76–83. [Google Scholar] [CrossRef]
- Vasseghian, Y.; Alimohamadi, M.; Khataee, A.; Dragoi, E.-N. A global systematic review on the concentration of organophosphate esters in water resources: Meta-analysis, and probabilistic risk assessment. Sci. Total Environ. 2022, 807, 150876. [Google Scholar] [CrossRef]
- Antonopoulou, M.; Dormousoglou, M.; Spyrou, A.; Dimitroulia, A.A.; Vlastos, D. An overall assessment of the effects of antidepressant paroxetine on aquatic organisms and human cells. Sci. Total Environ. 2022, 852, 158393. [Google Scholar] [CrossRef]
- Pajunen, V.; Kahlert, M.; Soininen, J. Stream diatom assemblages as environmental indicators–A cross-regional assessment. Ecol. Indic. 2020, 113, 106183. [Google Scholar] [CrossRef]
- Chu, Y.; Zhang, C.; Ho, S.-H. Computational simulation associated with biological effects of alkyl organophosphate flame retardants with different carbon chain lengths on Chlorella pyrenoidosa. Chemosphere 2021, 263, 127997. [Google Scholar] [CrossRef]
- Fang, L.; Liu, A.; Zheng, M.; Wang, L.; Hua, Y.; Pan, X.; Xu, H.; Chen, X.; Lin, Y. Occurrence and distribution of organophosphate flame retardants in seawater and sediment from coastal areas of the East China and Yellow Seas. Environ. Pollut. 2022, 302, 119017. [Google Scholar] [CrossRef]
- Qi, Y.; Yao, Z.; Ma, X.; Ding, X.; Shangguan, K.; Zhang, M.; Xu, N. Ecological risk assessment for organophosphate esters in the surface water from the Bohai Sea of China using multimodal species sensitivity distributions. Sci. Total Environ. 2022, 820, 153172. [Google Scholar] [CrossRef]
- Zhu, K.; Sarvajayakesavalu, S.; Han, Y.; Zhang, H.; Gao, J.; Li, X.; Ma, M. Occurrence, distribution and risk assessment of organophosphate esters (OPEs) in water sources from Northeast to Southeast China. Environ. Pollut. 2022, 307, 119461. [Google Scholar] [CrossRef]
- Niu, Z.; Zhang, Z.; Li, J.; He, J.; Zhang, Y. Threats of organophosphate esters (OPEs) in surface water to ecological system in Haihe River of China based on species sensitivity distribution model and assessment factor model. Environ. Sci. Pollut. Res. 2019, 26, 10854–10866. [Google Scholar] [CrossRef]
- Xiong, J.-Q.; Kurade, M.B.; Abou-Shanab, R.A.I.; Ji, M.-K.; Choi, J.; Kim, J.O.; Jeon, B.-H. Biodegradation of carbamazepine using freshwater microalgae Chlamydomonas mexicana and Scenedesmus obliquus and the determination of its metabolic fate. Bioresour. Technol. 2016, 205, 183–190. [Google Scholar] [CrossRef]
- Zhao, Y.; Wang, Y.; Li, Y.; Santschi, P.H.; Quigg, A. Response of photosynthesis and the antioxidant defense system of two microalgal species (Alexandrium minutum and Dunaliella salina) to the toxicity of BDE-47. Mar. Pollut. Bull. 2017, 124, 459–469. [Google Scholar] [CrossRef]
- United Nations. Globally Harmonized System of Classification and Labelling of Chemicals (GHS); United Nations: New York, NY, USA, 2011. [Google Scholar]
- Kalamaras, G.; Kloukinioti, M.; Antonopoulou, M.; Ntaikou, I.; Vlastos, D.; Eleftherianos, A.; Dailianis, S. The Potential Risk of Electronic Waste Disposal into Aquatic Media: The Case of Personal Computer Motherboards. Toxics 2021, 9, 166. [Google Scholar] [CrossRef]
- Babiak, W.; Krzemińska, I. Extracellular Polymeric Substances (EPS) as Microalgal Bioproducts: A Review of Factors Affecting EPS Synthesis and Application in Flocculation Processes. Energies 2021, 14, 4007. [Google Scholar] [CrossRef]
- Delattre, C.; Pierre, G.; Laroche, C.; Michaud, P. Production, extraction and characterization of microalgal and cyanobacterial exopolysaccharides. Biotechnol. Adv. 2016, 34, 1159–1179. [Google Scholar] [CrossRef] [PubMed]
- Cristale, J.; García Vázquez, A.; Barata, C.; Lacorte, S. Priority and emerging flame retardants in rivers: Occurrence in water and sediment, Daphnia magna toxicity and risk assessment. Environ. Int. 2013, 59, 232–243. [Google Scholar] [CrossRef] [PubMed]
- Wu, H.; Zhong, M.; Lu, Z.; Shan, X.; Li, F.; Ji, C.; Cong, M. Biological effects of tris (1-chloro-2-propyl) phosphate (TCPP) on immunity in mussel Mytilus galloprovincialis. Environ. Toxicol. Pharmacol. 2018, 61, 102–106. [Google Scholar] [CrossRef]
- Mercurio, S.; Messinetti, S.; Manenti, R.; Ficetola, G.F.; Pennati, R. Embryotoxicity characterization of the flame retardant tris(1-chloro-2-propyl)phosphate (TCPP) in the invertebrate chordate Ciona intestinalis. J. Exp. Zool. Part A Ecol. 2021, 335, 339–347. [Google Scholar] [CrossRef]





| IC50 (mg L−1) | ||||
|---|---|---|---|---|
| Exposure Period (h) | Scenedesmus rubescens | Chlorococcum sp. | Dunaliella tertiolecta | Tisochrysis lutea |
| 24 | 0.026 | ND | 0.002 | 0.007 |
| 48 | 0.233 | 0.019 | 0.114 | 0.354 |
| 72 | 58.420 | 0.73 | 1.596 | 21.52 |
Publisher’s Note: MDPI stays neutral with regard to jurisdictional claims in published maps and institutional affiliations. |
© 2022 by the authors. Licensee MDPI, Basel, Switzerland. This article is an open access article distributed under the terms and conditions of the Creative Commons Attribution (CC BY) license (https://creativecommons.org/licenses/by/4.0/).
Share and Cite
Antonopoulou, M.; Vlastos, D.; Dormousoglou, M.; Bouras, S.; Varela-Athanasatou, M.; Bekakou, I.-E. Genotoxic and Toxic Effects of The Flame Retardant Tris(Chloropropyl) Phosphate (TCPP) in Human Lymphocytes, Microalgae and Bacteria. Toxics 2022, 10, 736. https://doi.org/10.3390/toxics10120736
Antonopoulou M, Vlastos D, Dormousoglou M, Bouras S, Varela-Athanasatou M, Bekakou I-E. Genotoxic and Toxic Effects of The Flame Retardant Tris(Chloropropyl) Phosphate (TCPP) in Human Lymphocytes, Microalgae and Bacteria. Toxics. 2022; 10(12):736. https://doi.org/10.3390/toxics10120736
Chicago/Turabian StyleAntonopoulou, Maria, Dimitris Vlastos, Margarita Dormousoglou, Spyridon Bouras, Maria Varela-Athanasatou, and Irene-Eleni Bekakou. 2022. "Genotoxic and Toxic Effects of The Flame Retardant Tris(Chloropropyl) Phosphate (TCPP) in Human Lymphocytes, Microalgae and Bacteria" Toxics 10, no. 12: 736. https://doi.org/10.3390/toxics10120736
APA StyleAntonopoulou, M., Vlastos, D., Dormousoglou, M., Bouras, S., Varela-Athanasatou, M., & Bekakou, I.-E. (2022). Genotoxic and Toxic Effects of The Flame Retardant Tris(Chloropropyl) Phosphate (TCPP) in Human Lymphocytes, Microalgae and Bacteria. Toxics, 10(12), 736. https://doi.org/10.3390/toxics10120736

