Maritime Industry Cybersecurity Threats in 2025: Advanced Persistent Threats (APTs), Hacktivism and Vulnerabilities
Abstract
1. Introduction
1.1. Advanced Persistent Threats (APTs)
1.2. Hacktivism and Motivated Threat Actors
1.3. Vulnerabilities: Technology, Process, and Human Factors
2. Literature Review
2.1. Advanced Persistent Threats

2.2. Hacktivism
2.3. Vulnerabilities
3. Materials and Methods

3.1. Risk and Vulnerability Scoring Framework
3.1.1. Data Sources and Limitations
3.1.2. Model Validation and Sensitivity Analysis
3.2. Data Curation and Subsetting
3.3. Limitations of Data and Attribution
- Data Source Bias: The analysis relies heavily on the MCAD database and supplementary reports from sources like Cyble and NATO CCDCOE. These databases are contingent on publicly reported incidents. This may introduce a geopolitical or regional bias, such as incident disclosure rates, press freedoms, and attribution philosophies vary significantly by nation. Threats originating from or targeting regions with lower public disclosure, such as parts of the Indian subcontinent, South America, or Africa, may be underrepresented in the dataset.
- Challenges in Attribution: Attribution in cyberspace is an evolving and often contentious field. Many incidents in the MCAD database, and globally, lack high-confidence attribution to a specific threat actor. This is often due to a lack of attribution policies, forensic tools, or national capacity in the affected countries. The attributions used in this paper (e.g., “APT28,” “Mustang Panda”) are based on the consensus of the cited open-source intelligence reports and carry the inherent uncertainties of that process.
- Geographic Gaps: The analysis identifies critical risk in European, North American, and East Asian ports. However, other globally strategic maritime chokepoints, such as the Suez Canal/Red Sea region, the Strait of Malacca, the Indian subcontinent, and key ports in the Gulf of Mexico and South America, are less prominent in this dataset. This does not imply a lack of threats, but rather a potential gap in the available open-source data. Future research should aim to consolidate and compare reports from state-level actors and regional bodies in these areas to develop a more globally comprehensive and unbiased view of the threat landscape.
4. Results
| Threat Type | Incidents (2020–2025) | Port Impact Examples |
|---|---|---|
| APTs | 42 (38%) | APT28 phishing at Rotterdam (2025); Mustang Panda USB infections at Greek ports (2024) |
| Hacktivism | 18 (16%) | Lab Dookhtegan VSAT disruption affecting Hormuz ports (March/August 2025); NoName057 DDoS on Antwerp (2024) |
| Vulnerabilities | 35 (31%) | CVE-2024-20418 exploitation at Seattle Port (2024); GNSS spoofing at Haifa (2025) |
| Other | 17 (15%) | Miscellaneous incidents including insider threats and physical security breaches |
4.1. Vulnerabilities and Exploits
| Date | Location/Port | Description | Actor Type | Method/ Vulnerability | MITRE ATT&CK | Impact |
|---|---|---|---|---|---|---|
| August 2024 | U.S. Port of Seattle | Ransomware encrypting data/access; phone/email outage. | Unknown (RaaS affiliate) | Unpatched Cisco Systems (CVE-2024-20418). | T1190: Exploit Public Facing Application | High: Weeks-long shutdown; $10 M losses, demurrage fees. |
| 2024 | U.S. seaport/ airport combo | Rhysida ransomware on kiosks/ticketing. | Rhysida RaaS | Phishing; valid accounts (42% vector). | T1078: Valid Accounts, T1566: Phishing | High: 1-week halt; months-long residuals. |
| 2024 | Multiple U.S. ports | Akira compromise of user accounts. | Akira RaaS | Brute force on weak passwords. | T1110: Brute Force | Medium: Data exfiltration; operational degradation. |
| 2024 | U.S. shipyards/ports | LockBit in network logs; VPN guessing. | LockBit RaaS | Unpatched backups (RCE); KEV CVEs. | T1133: External Remote Services, T1078: Valid Accounts | High: Encryption of shipboard systems; IT/OT near-miss. |
| 2024 | U.S. MTS supply chains | Hunters International on plastics firm. | Hunters International RaaS | PowerShell exfiltration. | T1059: Command and Scripting Interpreter | Medium: Supply disruptions. |
| 2024 | U.S. shipping ports | RansomHub on vessels/IT. | RansomHub RaaS | Compromised creds. | T1078: Valid Accounts | Medium: Vessel network risks. |
| 2024 (aggregate) | Global ports (45 orgs) | Ransomware wave. phishing entry (48%). | Various RaaS (e.g., BlackCat) | KEVs like CVE-2023-44487 (HTTP/2 DoS). | T1190: Exploit Public¬Facing Application, T1566: Phishing | High: $4.88 M avg. breach cost; 70% significant disruption. |
| 2024 | Chinese-manufactured STS cranes (80% U.S. ports) | Potential supply chain vulnerabilities in ZPMC cranes | Potential state actors | Legacy protocols (SMBv1, Windows XP); weak segmentation. | TA0001: Initial Access (potential) | Medium: pathway identified by security audits; empirical verification pending (CGCYBER March 2025 advisory). No active exploits confirmed |
| 2023–2024 | U.S. ports | Domain spoofing for malware install. | Unknown | Fraudulent sites mimicking port portals. | T1566: Phishing | Low: Credential theft attempts. |

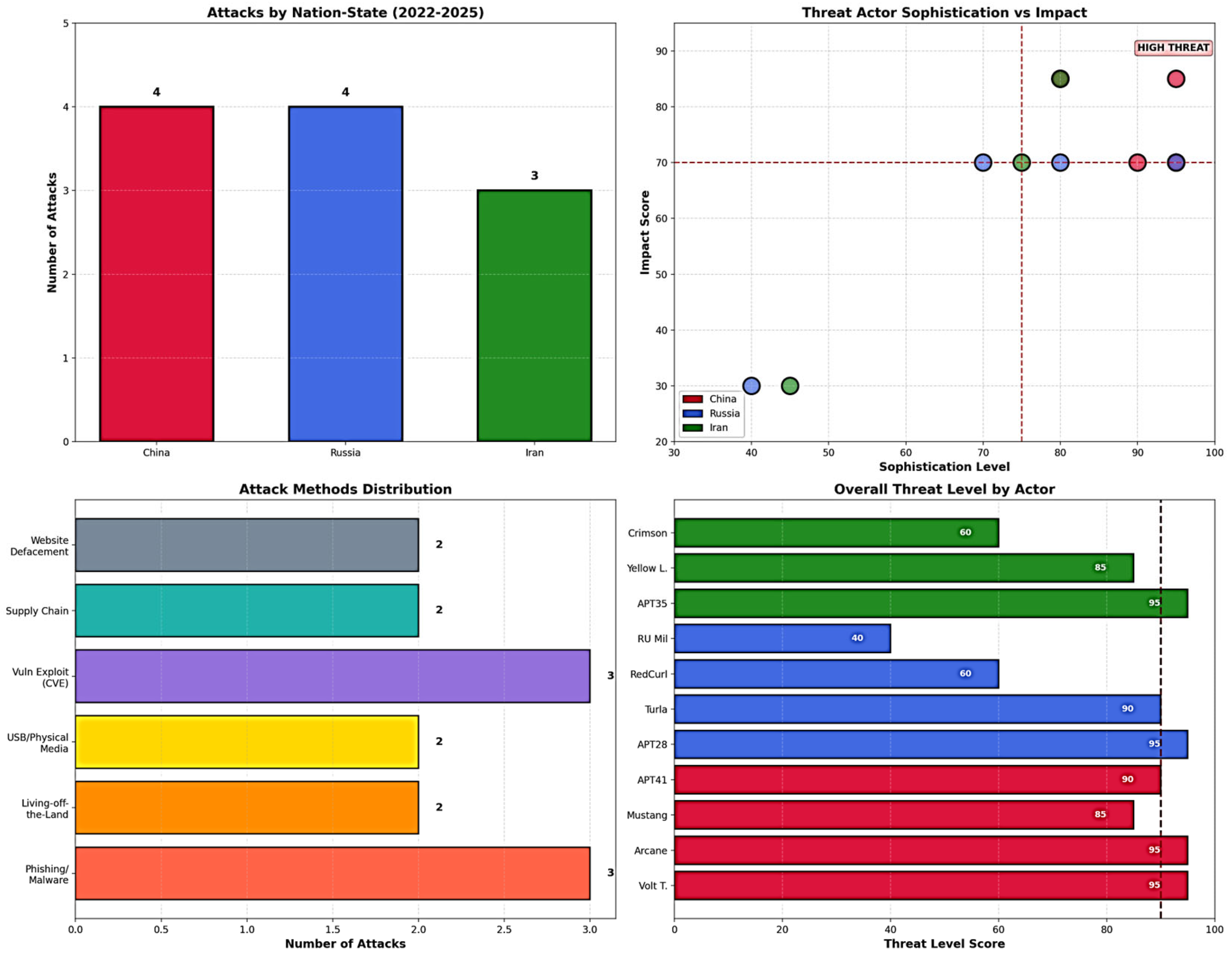
4.2. Advanced Persistent Threats (APTs)
| Date | Location/Port | Description | Actor Type | Method/ Vulnerability | MITRE ATT&CK | Attribution Status | Impact |
|---|---|---|---|---|---|---|---|
| May 2025 | Multiple European ports (e.g., Hamburg, Rotterdam) | Phishing/malware campaign targeting logistics supporting Ukraine aid. | Incident attributed by NATO CCDCOE [23] to actors assessed to be operating from Russia (APT28) | Phishing emails with malware payloads. | T1566: Phishing, TA0001: Initial Access | C (CCDCOE, NATO advisories) | Medium: Data exfiltration risk; no confirmed disruption but heightened alerts. |
| April 2024 | Global coastal facilities (e.g., U.S. West Coast ports) | Custom malware for maritime/financial intelligence collection. | Incident attributed by Cyble [24] to actors assessed to be operating from China (ArcaneDoor) | Exploitation of perimeter device vulnerabilities (e.g., CVE-2023-4966 in Citrix). | T1190: Exploit Public-Facing Application, TA0009: Collection | C (Cyble, ICS-CERT) | High: Espionage on trade routes; potential for future sabotage. |
| February 2024 | U.S. ports (e.g., Los Angeles, Long Beach) | Pre-positioning on IT networks for destructive attacks. | Actors linked to Chinese regions | Living-off-the-land techniques; unpatched routers (KEV CVEs). | T1078: Valid Accounts, T1133: External Remote Services | C (CGCYBER, FBI) | Medium: Reconnaissance detected; no active disruption. |
| 2024 (ongoing) | Israeli ports (Ashdod, Haifa; 88% of traffic) | Ransomware and exfiltration targeting oil refineries and ports. | Actors associated with Iranian regions | Spear-phishing; ShadowPad malware. | T1566: Spear Phishing, T1059: Command and Scripting | C (CCDCOE, Israeli CERT) | High: Traffic halts; data leaked on dark web, $20 M + losses. |
| 2024 | Egyptian Port Said, Eastern Mediterranean ports | Regional influence operations via disruption. | Actors associated with Iranian regions | Supply chain compromises via third-party vendors. | T1195: Supply Chain Compromise | P (Regional CERT) | Medium: Delayed shipments; geopolitical signaling. |
| 2024 | Norwegian/Greek/Dutch ports (e.g., Rotterdam affiliates) | USB infections on cargo systems. | Actors linked to Chinese regions | Infected USB drives (TA0001: Hardware Additions). | TA0001: Hardware Additions, T1091: Replication Through Removable Media | C (NORMA Cyber, Europol) | High: Compromised OT controls; blueprint exfiltration. |
| 2024 | UK/Italy/Spain/Turkey ports | Logistics compromise using evasion frameworks. | Actors linked to Chinese regions | DUSTTRAP malware; VELVETSHELL backdoor. | T1027: Obfuscated Files, T1059: Command and Scripting | C (Cyble, NIS authorities) | Medium: Intelligence gathering; no operational downtime. |
| 2023–2024 | Australian/Singapore/Hong Kong ports | 40+ attacks on transportation logistics. | Actors associated with Russian regions | Phishing and credential theft. | T1566: Phishing, T1078: Valid Accounts | P (APAC CERT network) | Medium: Supply chain delays in Asia-Pacific. |
| 2023–2024 | Mediterranean shipping ports | Sector-wide espionage. | Actors associated with Iranian regions | Data exfiltration via compromised networks. | T1041: Exfiltration Over C2 Channel | P (Mediterranean CERT) | Low: Primarily reconnaissance. |
| 2023–2024 | Asia-Pacific ports (e.g., Vietnamese terminals) | Industrial espionage via USB. | Actors associated with Russian regions | Infected USB disks (TA0002: Execution). | TA0002: Execution, T1091: Replication Through Removable Media | P (Vietnam CERT) | Medium: Stolen operational data. |
| 2022–2024 | U.S./European ports aiding Ukraine | Website defacement and data exfiltration. | Actors associated with Russian military | Scanning and SQL injection. | T1190: Exploit Public-Facing Application, T1505: Server Software Component | C (CCDCOE, FBI) | Low: Propaganda impact; minor delays. |





4.3. Hacktivism
| Date | Location/Port | Description | Actor Type | Method/ Vulnerability | MITRE ATT&CK | Impact |
|---|---|---|---|---|---|---|
| March 2025 | Persian Gulf ports (e.g., Bandar Abbas links) | VSAT disruption on 116 Iranian vessels, severing ship-to-port communications. | Hacktivist group | Coordinated network intrusion (like DDoS/spoofing like). | TA0040: Impact, T1499: Endpoint DoS | High: Collision risks; arming disruption for Houthis. |
| August 2024 | UK ports (Felixstowe, Tyne) | DDoS on port websites amid Ukraine support. | Pro-regional hacktivist group | Crowd-sourced botnet (DDoSia). | T1498: Network DoS | Medium: Website downtime; OT unaffected, quick recovery. |
| 2024 | EU ports (e.g., Antwerp) | DDoS series on Ukraine-aid logistics. | Pro-regional hacktivist group | Botnet floods. | T1498: Network DoS | Low: Temporary access issues. |
| February 2025 | Middle Eastern ports (regulatory bodies) | Data leak of maritime oversight docs. | Unspecified hacktivist group | BreachForums dump (stolen creds). | T1078: Valid Accounts, T1567: Exfiltration Over Web Service | Medium: Exposed protocols; regulatory delays. |
| June 2025 | South American ports (authority-wide) | Leak revealing surveillance gaps and outdated cyber at major ports. | Unspecified hacktivist group | DarkForums sell compromised data. | T1078: Valid Accounts, T1567: Exfiltration Over Web Service | High: Security exposures; potential follow-on exploits. |
| 2024 | Israeli-linked ports (global spoofing) | AIS data manipulation on vessels. | Hacktivist actors | Public AIS spoofing tools. | T1565: Data Manipulation | Medium: Navigational hazards in contested waters. |





5. Discussion
5.1. Regulatory and Policy Dimensions
5.2. Reconciling Threat Vectors: OT Compromise vs. Ransomware Frequency
5.3. Emerging Defenses and Recommendations
- -
- Investment in AI-driven threat detection and automated incident response for ships and ports, utilizing machine learning to keep pace with evolving threats [6].
- -
- -
- -
- Strengthening of technical controls, including network segmentation, intrusion detection, end-to-end encryption, and layered access management tailored to maritime operations [38].
- -
- Regular cyber resilience and incident response exercises, including honeynet deployment to identify attack patterns and inform targeted countermeasures [16].
5.4. Securing Legacy OT and IT/OT Convergence
- Engineering Solution 1: Network Segmentation. While “segmentation” is a common recommendation, its practical implementation in a port environment requires robust industrial networking hardware (e.g., DIN rail-mounted industrial firewalls) capable of enforcing “Purdue Model” zoning. This technologically segregates the crane and terminal control systems (Levels 0–2) from the port’s business logistics network (Level 4).
- Engineering Solution 2: Virtual Patching & Unidirectional Gateways. For unpatchable EOL systems, security must be externalized. This involves deploying Intrusion Prevention Systems (IPS) in front of the vulnerable OT asset to filter malicious traffic, a process known as “virtual patching.” For critical-to-life systems, hardware-based unidirectional gateways (data diodes) can be engineered to ensure that data (e.g., operational metrics) can only flow out of the OT network, making remote compromise physically impossible.
5.5. Addressing Supply Chain Hardware Vulnerabilities (ZPMC Cranes)
- Engineering Solution: “zero-trust” architecture must be applied to the hardware itself.
5.6. Interpreting IMO Resolution MSC.428(98)
5.7. OSINT Integration (MCAD)
6. Conclusions
Author Contributions
Funding
Institutional Review Board Statement
Informed Consent Statement
Data Availability Statement
Acknowledgments
Conflicts of Interest
Abbreviations
| AI | Artificial Intelligence |
| AIS | Automatic Identification System |
| APTs | Advanced Persistent Threats |
| C2 | Command and control |
| CCDCOE | NATO Cooperative Cyber Defence Centre of Excellence |
| CGCYBER | U.S. Coast Guard Cyber Command |
| CVE | Common Vulnerabilities and Exposures |
| DDoS | Distributed Denial-of-Service |
| EOL | End-of-Life |
| GNSS | Global Navigation Satellite System |
| GRU | Main Intelligence Directorate (Glavnoye Razvedyvatelnoye Upravleniye) |
| IMO | International Maritime Organization |
| IoT | Internet of Things |
| IPS | Intrusion Prevention Systems |
| IT | Information Technology |
| KEV | Known Exploited Vulnerabilities |
| MCAD | Maritime Cyber Attack Database |
| MTS | Maritime Transport System |
| NIST | National Institute of Standards and Technology |
| OSINT | Open-Source Intelligence |
| OT | Operational Technology |
| RaaS | Ransomware-as-a-Service |
| RCE | Remote Code Execution |
| SIEM | Security Information and Event Management |
| STS | Ship-to-Shore |
| VTMS | Vessel Traffic Management Systems |
References
- Orlovskyi, B.; Osadcha, I.A. Criminological analysis of cyber threats and their impact on commercial shipping. Const. State 2025, 1, 24–35. [Google Scholar] [CrossRef]
- Progoulakis, I.; Dagkinis, I.K.; Dimakopoulou, A.; Lilas, T.; Nikitakos, N.; Psomas, P.M. Cyber–Physical Security Assessment for Maritime Vessels: Study on Drillship DP System Using American Petroleum Institute Security Risk Analysis and Bow-Tie Analysis. J. Mar. Sci. Eng. 2024, 12, 1757. [Google Scholar] [CrossRef]
- Jin, Y.; Feng, Y.; Liu, C.; Li, S. Navigating the digital seas: Legal challenges and global governance of maritime cyber operations. Front. Mar. Sci. 2025, 12, 1616906. [Google Scholar] [CrossRef]
- NORMA Cyber. Maritime Cybersecurity Report 2024; Nordic Maritime Cyber Resilience Centre: Oslo, Norway, 2024; Available online: https://www.oceanspacemedia.com/files/2024/04/09/Norma+Cyber+Annual+Threat+Assessment+-+Spreads.pdf (accessed on 4 December 2025).
- Hanafiah, R.M.; Abdullah, M.A.; Zaideen, I.M.M.; Najib, A.F.A.; Rahman, N.S.F.A.; Karim, N.H. Selection of the regulatory seaport cybersecurity based on integrated AHP and TOPSIS. Asian Acad. Manag. J. 2025, 30, 1–33. [Google Scholar] [CrossRef]
- Paulraj, J.; Raghuraman, B.; Gopalakrishnan, N.; Otoum, Y. Autonomous AI-based Cybersecurity Framework for Critical Infrastructure: Real-Time Threat Mitigation. In Proceedings of the 2025 IEEE/ACIS 29th International Conference on Software Engineering, Artificial Intelligence, Networking and Parallel/Distributed Computing (SNPD), Busan, Republic of Korea, 25–27 June 2025; pp. 925–931. [Google Scholar]
- Mohamed, N.A.A. Cyber Security for the Maritime Critical Infrastructure: A Case Study of the Strait of Malacca. Ph.D. Thesis, Universiti Sains Malaysia, George Town, Malaysia, 2018. Available online: https://eprints.usm.my/59238/1/24%20Pages%20from%20NACHAAT%20ABDELATIF%20ALI%20MOHAMED%20-%20TESIS.pdf (accessed on 4 December 2025).
- Pijpker, J.; McCombie, S.; Johnson, S.; Loves, R.; Makrakis, G.M. An Open-Source Database of Cyberattacks on the Maritime Transportation System. Preprints 2024, 2024101996. [Google Scholar] [CrossRef]
- Ali, Z.; Hussain, T.; Su, C.L.; Khan, I.; Jurcut, A.D.; Tsao, S.H.; Hu, C.H.; Elsisi, M. Deep Learning-Driven Cyber Attack Detection Framework in DC Shipboard Microgrids System for Enhancing Maritime Transportation Security. IEEE Trans. Intell. Transp. Syst. 2025, 26, 20122–20142. [Google Scholar] [CrossRef]
- Ali, Z.; Su, C.-L.; Terriche, Y.; Rouhani, S.H.; Hoang, L.Q.N.; Sadiq, M.; Tsao, S.-H.; Abbas, S.Z.; Ahmad, E.; Elsisi, M. Cyber resilience in shipboard microgrids: Adaptive hybrid artificial intelligent methods and systematic review. Neural Comput. Appl. 2025, 37, 17633–17674. [Google Scholar] [CrossRef]
- Androjna, A.; Perkovič, M. Impact of Spoofing of Navigation Systems on Maritime Situational Awareness. Trans. Marit. Sci. 2021, 10, 361–373. [Google Scholar] [CrossRef]
- Gopinath, S.; Arunprasath, P.; Hemanand, M.; Vivek, M.; Balaji, P.; Leena, S.S. Maritime cyber security. Int. Res. J. Adv. Eng. Manag. 2025, 2, 1–10. [Google Scholar] [CrossRef]
- Ćelić, J.; Vukšić, M.; Baždarić, R.; Cuculić, A. The Challenges of Cyber Resilience in the Maritime Sector: Addressing the Weak Awareness of the Dangers Caused by Cyber Threats. J. Mar. Sci. Eng. 2025, 13, 762. [Google Scholar] [CrossRef]
- Kanwal, K.; Shi, W.; Kontovas, C.; Yang, Z.; Chang, C.H. Maritime cybersecurity: Are onboard systems ready? Marit. Policy Manag. 2022, 49, 1023–1043. [Google Scholar] [CrossRef]
- Akpan, F.; Bendiab, G.; Shiaeles, S.; Karamperidis, S.; Michaloliakos, M. Cybersecurity Challenges in the Maritime Sector. Network 2022, 2, 123–138. [Google Scholar] [CrossRef]
- Makrakis, G.M.; Hassing, R.; Pijpker, J.; Loves, R.; McCombie, S. Salty seagull: A VSAT honeynet to follow the bread crumb of attacks in ship networks. arXiv 2025, arXiv:2508.11325. [Google Scholar] [CrossRef]
- Mudra, G.; Cui, H.; Johnstone, M.N. Survey: An Overview of Lightweight RFID Authentication Protocols Suitable for the Maritime Internet of Things. Electronics 2023, 12, 2990. [Google Scholar] [CrossRef]
- Park, J.; Park, H.S.; Park, C. Research for direction of maritime cybersecurity regulatory framework. J. Soc. Nav. Archit. Korea 2025, 62, 45–56. [Google Scholar] [CrossRef]
- Port of Seattle. Port Cyberattack Archive. Available online: https://www.portseattle.org/news/port-cyberattack-archive (accessed on 20 October 2025).
- Ijiga, M.O.; Olarinoye, H.S.; Yeboah, F.A.; Okolo, J.N. Integrating behavioral science and cyber threat intelligence (CTI) to counter advanced persistent threats (APTs) and reduce human-enabled security breaches. Int. J. Sci. Res. Mod. Technol. 2025, 4, 1–15. [Google Scholar] [CrossRef]
- Androjna, A.; Brcko, T.; Pavic, I.; Greidanus, H. Assessing Cyber Challenges of Maritime Navigation. J. Mar. Sci. Eng. 2020, 8, 776. [Google Scholar] [CrossRef]
- Kapalidis, C.; Watson, T.; Karamperidis, S.; Koligiannis, G. A vulnerability centric system of systems analysis on the maritime transportation sector most valuable assets: Recommendations for port facilities and ships. J. Mar. Sci. Eng. 2022, 10, 1486. [Google Scholar] [CrossRef]
- CCDCOE. Addressing State-Linked Cyber Threats to Critical Maritime Port Infrastructure; Policy Brief; NATO Cooperative Cyber Defence Centre of Excellence: Tallinn, Estonia, 2025; Available online: https://ccdcoe.org/uploads/2025/07/CCDCOE_Policy_Brief.pdf (accessed on 4 December 2025).
- Cyble. Cyber Threats Surge Against Maritime Industry in 2025. Available online: https://cyble.com/blog/cyberattacks-targets-maritime-industry (accessed on 20 October 2025).
- Maritime Cyber Attack Database (MCAD). NHL Stenden University of Applied Sciences. Available online: https://www.nhlstenden.com/en/maritime-cyber-attack-database (accessed on 20 October 2025).
- NATO CCDCOE. NATO Warns of State-Linked Cyberattacks on Europe’s Civilian Ports. Industrial Cyber. 28 July 2025. Available online: https://industrialcyber.co/transport/nato-warns-of-state-linked-cyberattacks-on-europes-civilian-ports-exposing-critical-gaps-in-maritime-defense/ (accessed on 4 December 2025).
- NORMA Cyber. Maritime Cybersecurity Report 2025; Nordic Maritime Cyber Resilience Centre: Oslo, Norway, 2025; Available online: https://25011010.fs1.hubspotusercontent-eu1.net/hubfs/25011010/Norma%20Cyber%20Annual%20Threat%20Assessment.pdf (accessed on 4 December 2025).
- Sfetcu, N. Advanced Persistent Threats in Cybersecurity: Cyber Warfare; MultiMedia Publishing: Bucharest, Romania, 2024; Available online: https://www.researchgate.net/publication/377255971_Amenintarile_persistente_avansate_in_securitatea_cibernetica_-_Razboiul_cibernetic (accessed on 4 December 2025). (In Romanian)
- Lloyd’s Maritime Intelligence. Global Port Cyber Risk Report 2025; Lloyd’s: London, UK, 2025; Available online: https://www.lloydslist.com/special-reports/2025/Half-year-outlook-2025v2 (accessed on 4 December 2025).
- Keskin, O.F.; Lubja, K.; Bahsi, H.; Tatar, U. Systematic Cyber Threat Modeling for Maritime Operations: Attack Trees for Shipboard Systems. J. Mar. Sci. Eng. 2025, 13, 645. [Google Scholar] [CrossRef]
- Hagen, R.A. How APT Groups Exploit the Human Mind. LinkedIn Pulse. 2023. Available online: https://www.linkedin.com/pulse/how-apt-groups-exploit-human-mind-raymond-andr%C3%A8-hagen (accessed on 4 December 2025).
- Miller, T.; Durlik, I.; Kostecka, E.; Sokołowska, S.; Kozlovska, P.; Zwolak, R. Artificial Intelligence in Maritime Cybersecurity: A Systematic Review of AI-Driven Threat Detection and Risk Mitigation Strategies. Electronics 2025, 14, 1844. [Google Scholar] [CrossRef]
- Kokkinis, G.; Dimitrakopoulou, G.; Tortora, L.; Doumenis, D.; Keremidou, E.; Rizzoni, F.; Kapsalis, N.; Spantideas, S.; Mari, P. Enhancing Cybersecurity through Integrated Business Continuity Management and Cyber Threat Intelligence. In Proceedings of the 2025 6th International Conference in Electronic Engineering & Information Technology (EEITE), Chania, Greece, 4–6 June 2025. [Google Scholar] [CrossRef]
- Farao, A.; Zarras, A.; Voudouris, A.; Paparis, G.; Xenakis, C. B2SAPP: Blockchain based solution for maritime security applications. Front. Comput. Sci. 2025, 7, 1572009. [Google Scholar] [CrossRef]
- Ndokaj, E.; Pupa, S.; Metalla, O.; La Gatta, L. Quantum-enhanced blockchain for maritime cybersecurity: Leveraging advanced random number generation to secure maritime operations. In Proceedings of the 2024 International Conference on Emerging Technologies in Computing, Durrës, Albania, 10–11 October 2024. [Google Scholar]
- Aan, C. Developing a measurement scale to assess the perception of cybersecurity among employees in the maritime industry. J. Nav. Sci. Eng. 2024, 10, 1485985. [Google Scholar] [CrossRef]
- Hendriawan, A.; Gautama, I.; Siahaan, D.; Kurniawan, K. Analysis of the influence of factors on maritime cyber resilience on board with intervening maritime cyber security awareness. J. Syntax Lit. 2025, 10, 2783–2794. [Google Scholar] [CrossRef]
- Visky, G.; Lavrenovs, E.O.; Lazdins, A.; Barzdins, G. Multi-Purpose Cyber Environment for Maritime Sector. In Proceedings of the 17th International Conference on Cyber Warfare and Security (ICCWS 2022), Albany, NY, USA, 17–18 March 2022; pp. 368–376. [Google Scholar] [CrossRef]
Disclaimer/Publisher’s Note: The statements, opinions and data contained in all publications are solely those of the individual author(s) and contributor(s) and not of MDPI and/or the editor(s). MDPI and/or the editor(s) disclaim responsibility for any injury to people or property resulting from any ideas, methods, instructions or products referred to in the content. |
© 2025 by the authors. Licensee MDPI, Basel, Switzerland. This article is an open access article distributed under the terms and conditions of the Creative Commons Attribution (CC BY) license (https://creativecommons.org/licenses/by/4.0/).
Share and Cite
Badea, M.; Bucovețchi, O.; Gheorghe, A.V.; Hnatiuc, M.; Raicu, G. Maritime Industry Cybersecurity Threats in 2025: Advanced Persistent Threats (APTs), Hacktivism and Vulnerabilities. Logistics 2025, 9, 178. https://doi.org/10.3390/logistics9040178
Badea M, Bucovețchi O, Gheorghe AV, Hnatiuc M, Raicu G. Maritime Industry Cybersecurity Threats in 2025: Advanced Persistent Threats (APTs), Hacktivism and Vulnerabilities. Logistics. 2025; 9(4):178. https://doi.org/10.3390/logistics9040178
Chicago/Turabian StyleBadea, Minodora, Olga Bucovețchi, Adrian V. Gheorghe, Mihaela Hnatiuc, and Gabriel Raicu. 2025. "Maritime Industry Cybersecurity Threats in 2025: Advanced Persistent Threats (APTs), Hacktivism and Vulnerabilities" Logistics 9, no. 4: 178. https://doi.org/10.3390/logistics9040178
APA StyleBadea, M., Bucovețchi, O., Gheorghe, A. V., Hnatiuc, M., & Raicu, G. (2025). Maritime Industry Cybersecurity Threats in 2025: Advanced Persistent Threats (APTs), Hacktivism and Vulnerabilities. Logistics, 9(4), 178. https://doi.org/10.3390/logistics9040178

