Developing a Comprehensive Shipment Policy through Modified EPQ Model Considering Process Imperfections, Transportation Cost, and Backorders
Abstract
:1. Introduction
2. Model Specifications
- Consider manufacturer, distributor, and retailer for the development of the economic production quantity model with imperfections in the process.
- Develop the shipment policy for the proposed model.
- Evaluate the effect of the transportation cost on the overall cost of the system.
- The mathematical model is characterized by the following parameters and variables:
2.1. Parameters
- Production rates
- Demand rate
- Qs Batch size
- Km Productions setups cost
- Mc Manufacturing costs of item
- Kd Ordering cost of the distributor
- bs Backorders size
- Kr Ordering costs of the retailer
- C Inventory carry cost per product per unit of time
- Cs Inventory holding cost of the system
- BL Linear backorder costs per item per unit of time
- Cr Retailers inventory carry cost
- Tb Back-ordering transportations cost
- Cd Inventory carry costs of the distributor
- Bf Fixed back-ordering costs per product
- Tu Transportation cost per unit
- L Shipment lot size
- N Number of shipments
- Ed Anticipated rate of ratio defectives product in each cycle
- TC Totals costs per unit of times
2.2. Assumptions
- Productions and demand would be constants and identified in the planning limit.
- Production rates would be larger than demand rates.
- The ratio of the imperfect product is a random variable in each production cycle. It would follow three various distribution functions such as uniform, beta, and triangle, modelled by static transportation cost.
- The manufacturers screen 100% of the product after each production cycle to produce good quality products and the screening/inspection cost of the products are ignored.
- With each cycle, there would be no waste product and all imperfect products are supposed to be reworked again to produce a good quality product.
- Holding/carrying costs are taken based on average inventory.
- The model considers two kinds of back-order costs. The first is a linear back-ordering cost which is applied with the average and fixed backorder. The second back-ordering cost is applied with the extreme back-order levels.
- For each manufacturing setup, there are fixed transportation and backorders for the first model.
- The reworked and production process remains unchanged if the production rate remains unchanged.
- The inventory storage place and accessibility of assets are not constrained at any level.
- The model is applicable for a single type of item.
3. Model Formulation
3.1. Case 1: Shipment Policy for an EPQ Model Considering Backorders without Unit Transportation Cost
3.2. Case 2: Shipment Policy for an EPQ Model Considering Back-Orders and Unit Transportation Cost
4. Numerical Computation and Sensitivity Analysis
4.1. Numerical Example for Case 1
- (1)
- For N* = 5, the optimum lot size is , and the optimum total cost is .
- (2)
- For N* = 6 (3.19), the optimum lot size is , and the optimum total cost is .
4.2. Numerical Example for Case 2
- Step 1 and
- Step 2 so go to step 3
- Step 3
- Step 4 we solve the following for N = 4, 5, and 6
- (a)
- L = 12.640, N = 4.0, l = 2.0
- (b)
- TC (12.640, 4) = 4141.817 TC (16, 5) = 4147.717
- (a)
- N = 5, L= 10.870 l = 2
- (b)
- TC (15, 5) = 4129.46, TC (10.87, 5) = 4119.135
- (a)
- L= 9.610, N= 6, l = 1
- (b)
- TC (10, 6) = 4116.96 TC (9.61, 6) = 4115.632; TC (15, 6) = 4129.46
- Step 5 the optimum solution is: N = 6, L = 10, and the total cost TC = $ 4116.960.
5. Conclusions and Future Recommendations
Author Contributions
Funding
Institutional Review Board Statement
Informed Consent Statement
Data Availability Statement
Conflicts of Interest
References
- Harris, F.W. How Many Parts to Make at Once. Mag. Manag. 1913, 10, 135–136. [Google Scholar] [CrossRef]
- Taft, E.W. The most economical production lot. Iron Age 1918, 101, 1410–1412. [Google Scholar]
- Jamal, A.M.M.; Sarker, B.R.; Mondal, S. Optimal manufacturing batch size with rework process at a single-stage production system. Comput. Ind. Eng. 2004, 47, 77–89. [Google Scholar] [CrossRef]
- Sarkar, B.; Cárdenas-Barrón, L.E.; Sarkar, M.; Singgih, M.L. An economic production quantity model with random defective rate, rework process, and backorders for a single stage production system. J. Manuf. Syst. 2014, 33, 423–435. [Google Scholar] [CrossRef]
- Widyadana, G.A.; Wee, H.M. An economic production quantity model for deteriorating items with multiple production setups and rework. Int. J. Prod. Econ. 2012, 138, 62–67. [Google Scholar] [CrossRef]
- Sarkar, B. An EOQ model with delay in payments and stock dependent demand in the presence of imperfect production. Appl. Math. Comput. 2012, 218, 8295–8308. [Google Scholar] [CrossRef]
- Cárdenas-Barrón, L.E. Economic production quantity with rework process at a single-stage manufacturing system with planned backorders. Comput. Ind. Eng. 2009, 57, 1105–1113. [Google Scholar] [CrossRef]
- Chang, H.J.; Su, R.H.; Yang, C.T.; Weng, M.W. An economic manufacturing quantity model for a two-stage assembly system with imperfect processes and variable production rate. Comput. Ind. Eng. 2012, 63, 285–293. [Google Scholar] [CrossRef]
- Ertogral, K.; Darwish, M.; Ben-Daya, M. Production and shipment lot sizing in a vendor–buyer supply chain with transportation cost. Eur. J. Oper. Res. 2007, 176, 1592–1606. [Google Scholar] [CrossRef]
- Sarkar, B.; Sana, S.S.; Chaudhuri, K. An imperfect production process for time varying demand with inflation and time value of money—An EMQ model. Expert Syst. Appl. 2011, 38, 13543–13548. [Google Scholar] [CrossRef]
- Swenseth, S.R.; Godfrey, M.R. Incorporating transportation costs into inventory replenishment decisions. Int. J. Prod. Econ. 2002, 77, 113–130. [Google Scholar] [CrossRef]
- Ghasemy Yaghin, R.; Fatemi Ghomi, S.M.T.; Torabi, S.A. Enhanced joint pricing and lotsizing problem in a two-echelon supply chain with logit demand function. Int. J. Prod. Res. 2014, 52, 4967–4983. [Google Scholar] [CrossRef]
- Ekici, A.; Altan, B.; Özener, O.Ö. Pricing decisions in a strategic single retailer/dual suppliers setting under order size constraints. Int. J. Prod. Res. 2016, 54, 1887–1898. [Google Scholar] [CrossRef]
- Giri, B.C.; Chakraborty, A.; Maiti, T. Consignment stock policy with unequal shipments and process unreliability for a two-level supply chain. Int. J. Prod. Res. 2017, 55, 2489–2505. [Google Scholar] [CrossRef]
- Tseng, Y.Y.; Yue, W.L.; Taylor, M.A. The Role of Transportation in Logistics Chain. Proc. East. Asia Soc. Transp. Stud. 2005, 5, 1657–1672. [Google Scholar]
- Rodrigue, J.P. Transportation and the geographical and functional integration of global production networks. Growth Change 2006, 37, 510–525. [Google Scholar] [CrossRef]
- Cardenas-Barrón, L.E. Optimal manufacturing batch size with rework in a single-stage production system—A simple derivation. Comput. Ind. Eng. 2008, 55, 758–765. [Google Scholar] [CrossRef]
- Cardenas-Barrón, L.E.; Sarkar, B.; Treviño-Garza, G. An improved solution to the replenishment policy for the EMQ model with rework and multiple shipments. Appl. Math. Model. 2013, 37, 5549–5554. [Google Scholar] [CrossRef]
- Chiu, S.W.; Chen, K.K.; Chiu, Y.S.P.; Ting, C.K. Notes on the mathematical modeling approach used to determine the replenishment policy for the EMQ model with rework and multiple shipments. Appl. Math. Lett. 2012, 25, 1964–1968. [Google Scholar] [CrossRef] [Green Version]
- Chiu, Y.S.P.; Liu, S.C.; Chiu, C.L.; Chang, H.H. Mathematical modeling for determining the replenishment policy for EMQ model with rework and multiple shipments. Math. Comput. Model. 2011, 54, 2165–2174. [Google Scholar] [CrossRef]
- Chung, K.J. The economic production quantity with rework process in supply chain management. Comput. Math. Appl. 2011, 62, 2547–2550. [Google Scholar] [CrossRef] [Green Version]
- Goyal, S.K.; Nebebe, F. Determination of economic production–shipment policy for a single-vendor–single-buyer system. Eur. J. Oper. Res. 2000, 121, 175–178. [Google Scholar] [CrossRef]
- Sana, S.S.; Chaudhuri, K. An EMQ model in an imperfect production process. Int. J. Syst. Sci. 2010, 41, 635–646. [Google Scholar] [CrossRef]
- Sarkar, B. An inventory model with reliability in an imperfect production process. Appl. Math. Comput. 2012, 218, 4881–4891. [Google Scholar] [CrossRef]
- Sarkar, B. A production-inventory model with probabilistic deterioration in two-echelon supply chain management. Appl. Math. Model. 2013, 37, 3138–3151. [Google Scholar] [CrossRef]
- Sarkar, B.; Chaudhuri, K.; Sana, S.S. A stock-dependent inventory model in an imperfect production process. Int. J. Procure. Manag. 2010, 3, 361–378. [Google Scholar] [CrossRef]
- Sarkar, B.; Sana, S.S.; Chaudhuri, K. Optimal reliability, production lot size and safety stock in an imperfect production system. Int. J. Math. Oper. Res. 2010, 2, 467–490. [Google Scholar] [CrossRef]
- Sarker, B.R.; Jamal, A.M.M.; Mondal, S. Optimal batch sizing in a multi-stage production system with rework consideration. Eur. J. Oper. Res. 2008, 184, 915–929. [Google Scholar] [CrossRef]
- Taleizadeh, A.A.; Noori-daryan, M.; Tavakkoli-Moghaddam, R. Pricing and ordering decisions in a supply chain with imperfect quality items and inspection under buyback of defective items. Int. J. Prod. Res. 2015, 53, 4553–4582. [Google Scholar] [CrossRef]
- Hayat, M.; Salah, B.; Ullah, M.; Hussain, I.; Khan, R. Shipment Policy for an Economic Production Quantity Model Considering Imperfection and Transportation Cost. Sustainability 2020, 12, 8964. [Google Scholar] [CrossRef]
- Wanzhu, W.; Qazi, S.K.; Muhammad, A.; Hao, L.; Shakir, A.; Abdur, R.B.; Waqas, S.; Razaullah, K. Implementation of POLCA Integrated QRM Framework for Optimized Production Performance-A Case Study. Sustainability 2021, 13, 3452. [Google Scholar]
- Abdul, S.K.; Qazi, S.K.; Khawar, N.; Rafiq, A.; Razaullah, K.; Waqas, S.; Catalin, I.P. Application of exact and multi-heuristic approaches to a sustainable closed loop supply chain network design. Sustainability 2021, 13, 2433. [Google Scholar]
- Asad, K.; Rai, W.A.; Bashir, S.; Waqas, S.; Muhammad, A.; Razaullah, K.; Catalin, I.P. Quantitative Analysis of Sustainable Use of Construction Materials for Supply Chain Integration and Construction Industry Performance through Structural Equation Modeling (SEM). Sustainability 2021, 13, 522. [Google Scholar] [CrossRef]
- Waqas, S.; Hassan, I.; Ahmed, A.; Saeed, R.; Muhammad, A.K. Assessment of Optimal Production through Assembly Line-Balancing and Product-Mix Flexibility. Int. J. Eng. Technol. 2018, 7, 32–36. [Google Scholar]
- Muhammad, Y.; Waqas, S.; Yu, Y.; Fan, Y. Integrated advance manufacturing planning and execution system. Int. J. Internet Manuf. 2010, 2, 330–339. [Google Scholar] [CrossRef]
- Guchhait, R.; Dey, B.K.; Bhuniya, S.; Ganguly, B.; Mandal, B.; Bachar, R.; Sarkar, B.; Wee, H.; Chaudhuri, K.S. Investment for process quality improvement and setup cost reduction in an imperfect production process with warranty policy and shortages. Rairo-Oper. Res. 2020, 54, 251–266. [Google Scholar] [CrossRef] [Green Version]
- Taleizadeh, A.A.; Tafakkori, K.; Thaichon, P. Resilience toward supply disruptions: A stochastic inventory control model with partial backordering under the base stock policy. J. Retail. Consum. Serv. 2021, 58, 102291. [Google Scholar] [CrossRef]
- Snyder, R.D.; Koehler, A.B.; Hyndman, R.J.; Ord, J.K. Exponential smoothing models: Means and variances for lead-time demand. Eur. J. Oper. Res. 2004, 158, 444–455. [Google Scholar] [CrossRef] [Green Version]
- Hsiao, Y.C. A note on integrated single vendor single buyer model with stochastic demand and variable lead time. Int. J. Prod. Econ. 2008, 114, 294–297. [Google Scholar] [CrossRef]
- Dominguez, R.; Cannella, S.; Ponte, B.; Framinan, J. On the dynamics of closed-loop supply chains under remanufacturing lead time variability. Omega 2020, 97, 102106. [Google Scholar] [CrossRef]
- Haeussler, S.; Stampfer, C.; Missbauer, H. Comparison of two optimization based order release models with fixed and variable lead times. Int. J. Prod. Econ. 2020, 227, 107682. [Google Scholar] [CrossRef]
- Malik, A.I.; Sarkar, B. Coordination supply chain management under flexible manufacturing, stochastic leadtime demand, and mixture of inventory. Mathematics 2020, 8, 911. [Google Scholar] [CrossRef]





| Reference | IP a | B b | SP c | SIP d | SIPD e |
|---|---|---|---|---|---|
| Goyal et al. [22] | × | × | ✓ | × | × |
| Swenseth et al. [11] | × | × | ✓ | × | × |
| Jamal et al. [3] | ✓ | × | × | × | × |
| Ertogral et al. [9] | × | × | ✓ | × | × |
| Cárdenas-Barrón [17] | ✓ | × | × | × | × |
| Cárdenas-Barrón et al. [7] | ✓ | ✓ | × | × | × |
| Sana et al. [23] | ✓ | × | × | × | × |
| Chung [21] | ✓ | ✓ | × | × | × |
| Chang et al. [8] | ✓ | ✓ | × | × | × |
| Cárdenas-Barrón et al. [18] | ✓ | × | × | × | × |
| Sarkar et al. [4] | ✓ | ✓ | × | × | × |
| Ghasemy Yaghin et al. [12] | × | × | ✓ | × | × |
| Taleizadeh et al. [29] | × | × | ✓ | × | × |
| Ekici et al. [13] | × | × | ✓ | × | × |
| Geri et al. [14] | × | × | ✓ | × | × |
| Hayat et al. [30] | ✓ | ✓ | ✓ | ✓ | × |
| Our proposed model | ✓ | ✓ | ✓ | ✓ | ✓ |
| Items Series | Transportation Cost per Item in Dollar’s |
|---|---|
| 0 ≤ L < X1 | |
| X1 ≤ L < X2 | |
| X2 ≤ L < X3 | |
| … | … |
| Xm−1 ≤ L < Xm | |
| Xm ≤ L |
| … | … |
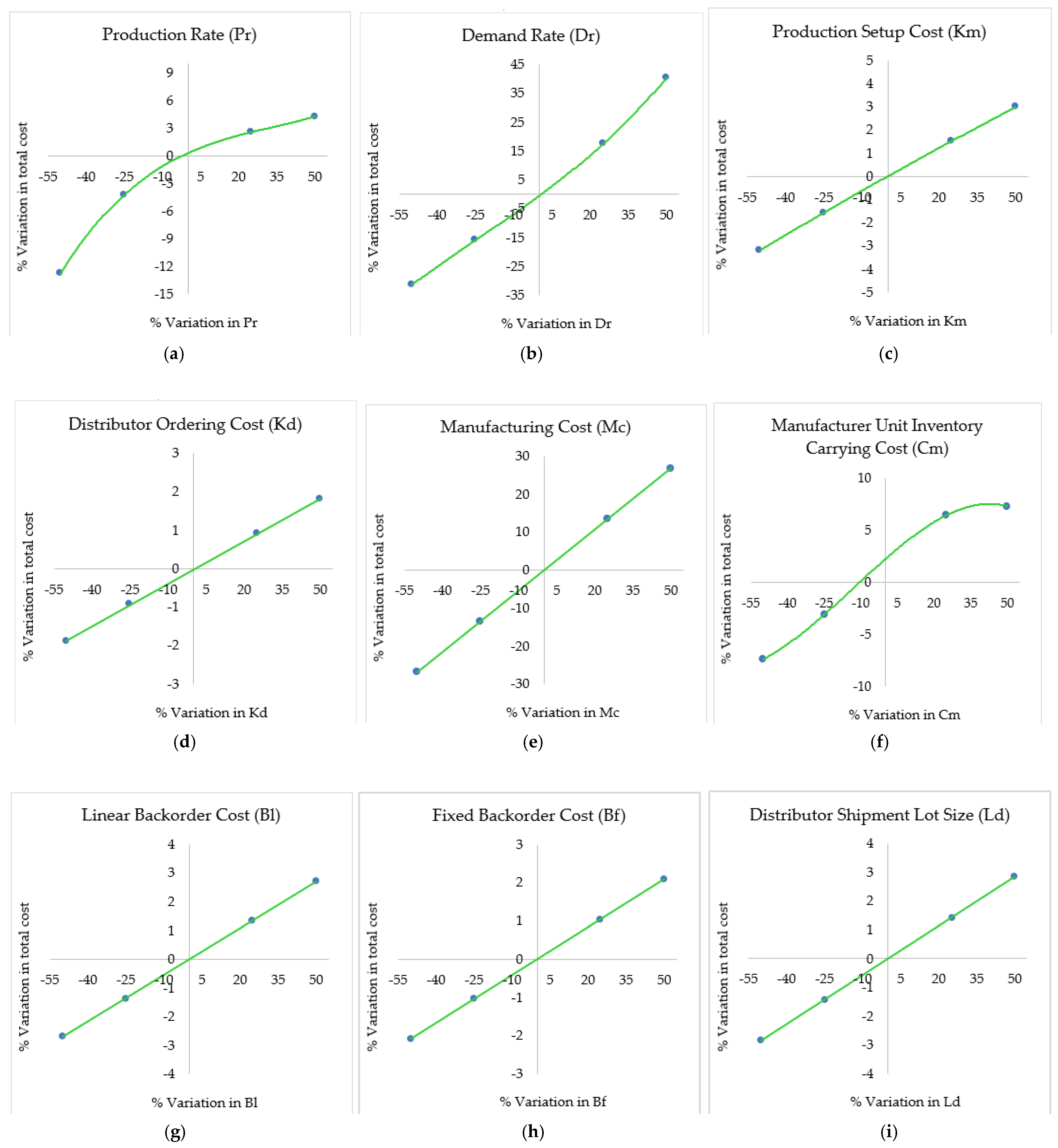
| Parameters | Variation | Variation (%) | Totals Costs | Variation in Total Cost (%) |
|---|---|---|---|---|
| Pr | 687.5 | 25 | 4216.99 | 2.55 |
| 825 | 50 | 4286.90 | 4.25 | |
| 275 | −50 | 3587.83 | −12.75 | |
| 412.5 | −25 | 3937.37 | −4.25 | |
| Km | 25 | 25 | 3980.74 | 1.51 |
| 37.5 | 50 | 4047.62 | 2.98 | |
| 62.5 | −50 | 4174.50 | −3.19 | |
| 75 | −25 | 4234.94 | −1.56 | |
| Kr | 6.25 | 25 | 4149.83 | 0.91 |
| 7.5 | 50 | 4186.75 | 1.81 | |
| 2.5 | −50 | 4034.46 | −1.88 | |
| 3.75 | −25 | 4073.70 | −0.93 | |
| Kd | 6.25 | 25 | 4149.80 | 0.91 |
| 7.5 | 50 | 4186.74 | 1.81 | |
| 2.5 | −50 | 4034.45 | −1.88 | |
| 3.75 | −25 | 4073.70 | −0.93 | |
| Cr | 6.25 | 25 | 4118.30 | 0.14 |
| 7.5 | 50 | 4124.48 | 0.30 | |
| 2.5 | −50 | 4099.85 | −0.29 | |
| 3.75 | −25 | 4105.98 | −0.14 | |
| Ld | 6.0 | 25 | 4170.57 | 1.42 |
| 7.2 | 50 | 4229.01 | 2.84 | |
| 2.4 | −50 | 3995.26 | −2.84 | |
| 3.6 | −25 | 4053.70 | −1.42 | |
| Cd | 6.25 | 25 | 4112.29 | 0.003 |
| 7.5 | 50 | 4112.47 | 0.008 | |
| 2.5 | −50 | 4111.87 | −0.006 | |
| 3.75 | −25 | 4111.99 | −0.003 | |
| Cm | 62.5 | −50 | 4334.16 | −13.38 |
| 75 | −25 | 4534.94 | 6.12 | |
| 25 | 25 | 3561.80 | 5.39 | |
| 37.5 | 50 | 3860.24 | 10.28 | |
| Mc | 8.75 | 25 | 4663.38 | 13.40 |
| 10.5 | 50 | 5214.63 | 26.81 | |
| 3.5 | −50 | 3009.63 | −26.81 | |
| 5.25 | −25 | 3560.88 | −13.40 | |
| a | 0.75 | 25 | 4119.15 | 0.17 |
| 0.045 | 50 | 4126.17 | 0.34 | |
| 0.015 | −50 | 4098.09 | −0.34 | |
| 0.05 | −25 | 4105.11 | −0.17 | |
| b | 0.085 | 25 | 4128.51 | 0.39 |
| 0.105 | 50 | 4144.90 | 0.79 | |
| 0.045 | −50 | 4079.36 | −0.79 | |
| 0.0525 | −25 | 4095.75 | −0.39 | |
| Dr | 375 | 25 | 4855.11 | 17.38 |
| 450 | 50 | 5807.37 | 40.41 | |
| 150 | −50 | 2834.42 | −31.47 | |
| 225 | −25 | 3474.02 | −16.01 | |
| BL | 12.5 | 25 | 4167.57 | 1.34 |
| 15 | 50 | 4223.00 | 2.69 | |
| 5 | −50 | 4001.27 | −2.69 | |
| 7.5 | −25 | 4056.70 | −1.34 | |
| Bf | 1.25 | 25 | 4155.05 | 1.04 |
| 1.5 | 50 | 4197.96 | 2.08 | |
| 0.5 | −50 | 4026.30 | −2.08 | |
| 0.75 | −25 | 4069.22 | −1.04 | |
| Lr | 6.00 | 25 | 4170.57 | 1.42 |
| 7.20 | 50 | 4229.01 | 2.84 | |
| 2.40 | −50 | 3995.26 | −2.84 | |
| 3.60 | −25 | 4053.70 | −1.42 | |
| N | 7.5 | 25 | 4169.23 | 0.42 |
| 9 | 50 | 4245.89 | 1.14 | |
| 3 | −50 | 4462.12 | −1.77 | |
| 4.5 | −25 | 4190.20 | −0.16 | |
| L | 12.013 | 25 | 4188.74 | 1.86 |
| 14. 41183 | 50 | 4318.27 | 5.01 | |
| 4.8051 | −50 | 4435.28 | −7.85 | |
| 7.307 | −25 | 4141.39 | −0.71 |
| Series of Items | Transport Costs in Dollar’s/Units |
|---|---|
| 0.0 ≤ L < 5.0 | 4.0 |
| 5.0 ≤ L < 10.0 | 3.50 |
| 10.0 ≤ L < 15.0 | 3.20 |
| 15.0 ≤ L | 3.0 |
| Parameters | Variation | Variation (%) | Totals Costs | Variation in Total Cost (%) |
|---|---|---|---|---|
| Pr | 687.5 | 25 | 4221.17 | 2.54 |
| 825 | 50 | 4287.94 | 4.15 | |
| 275 | −50 | 3467.63 | −15.76 | |
| 412.5 | −25 | 3927.77 | −4.58 | |
| Km | 62.5 | 25 | 4178.97 | 1.51 |
| 75 | 50 | 4239.11 | 2.97 | |
| 25 | −50 | 3985.21 | −3.19 | |
| 37.5 | −25 | 4052.09 | −1.56 | |
| Kr | 6.25 | 25 | 4154.27 | 0.91 |
| 7.5 | 50 | 4191.21 | 1.81 | |
| 2.5 | −50 | 4038.92 | −1.88 | |
| 3.75 | −25 | 4078.17 | −0.93 | |
| Kd | 6.25 | 25 | 4154.27 | 0.91 |
| 7.5 | 50 | 4191.21 | 1.81 | |
| 2.5 | −50 | 4038.92 | −1.88 | |
| 3.75 | −25 | 4078.17 | −0.93 | |
| Cr | 6.25 | 25 | 4123.01 | 0.15 |
| 7.5 | 50 | 4129.44 | 0.31 | |
| 2.5 | −50 | 4103.84 | −0.31 | |
| 3.75 | −25 | 4110.21 | −0.15 | |
| Cd | 6.25 | 25 | 4116.76 | 0.003 |
| 7.5 | 50 | 4116.94 | 0.008 | |
| 2.5 | −50 | 4116.34 | −0.006 | |
| 3.75 | −25 | 4116.46 | −0.003 | |
| BL | 12.5 | 25 | 4157.99 | 1.005 |
| 15 | 50 | 4198.21 | 1.98 | |
| 5 | −50 | 4030.96 | −2.08 | |
| 7.5 | −25 | 4074.28 | −1.02 | |
| Mc | 8.75 | 25 | 4739.92 | 13.39 |
| 10.5 | 50 | 5291.11 | 26.78 | |
| 3.5 | −50 | 3086.16 | −26.78 | |
| 5.25 | −25 | 3637.40 | −13.39 | |
| a | 0.0375 | 25 | 4123.62 | 0.17 |
| 0.045 | 50 | 4130.64 | 0.34 | |
| 0.015 | −50 | 4102.56 | −0.34 | |
| 0.0225 | −25 | 4109.58 | −0.17 | |
| b | 0.0875 | 25 | 4132.99 | 0.39 |
| 0.105 | 50 | 4149.37 | 0.79 | |
| 0.045 | −50 | 4083.83 | −0.79 | |
| 0.0525 | −25 | 4100.22 | −0.39 | |
| Dr | 375 | 25 | 4688.58 | 13.89 |
| 450 | 50 | 5209.37 | 26.54 | |
| 150 | −50 | 2805.03 | −31.86 | |
| 225 | −25 | 3491.02 | −15.19 | |
| N | 7.5 | 25 | 4134.28 | 0.42 |
| 9 | 50 | 4163.73 | 1.14 | |
| 3 | −50 | 4189.16 | 1.76 | |
| 4.5 | −25 | 4122.92 | 0.15 | |
| L | 12.5 | 25 | 4169.18 | 1.28 |
| 15 | 50 | 4284.07 | 4.07 | |
| 5 | −50 | 4567.03 | 10.95 | |
| 7.5 | −25 | 4186.92 | 1.71 | |
| Tu | 4.375 | 25 | 4201.40 | 0.02 |
| 5.25 | 50 | 4214.16 | 0.04 | |
| 1.75 | −50 | 4163.16 | −0.04 | |
| 2.625 | −25 | 4175.92 | −0.02 |
Publisher’s Note: MDPI stays neutral with regard to jurisdictional claims in published maps and institutional affiliations. |
© 2022 by the authors. Licensee MDPI, Basel, Switzerland. This article is an open access article distributed under the terms and conditions of the Creative Commons Attribution (CC BY) license (https://creativecommons.org/licenses/by/4.0/).
Share and Cite
Sajjad, W.; Ullah, M.; Khan, R.; Hayat, M. Developing a Comprehensive Shipment Policy through Modified EPQ Model Considering Process Imperfections, Transportation Cost, and Backorders. Logistics 2022, 6, 41. https://doi.org/10.3390/logistics6030041
Sajjad W, Ullah M, Khan R, Hayat M. Developing a Comprehensive Shipment Policy through Modified EPQ Model Considering Process Imperfections, Transportation Cost, and Backorders. Logistics. 2022; 6(3):41. https://doi.org/10.3390/logistics6030041
Chicago/Turabian StyleSajjad, Waseem, Misbah Ullah, Razaullah Khan, and Mubashir Hayat. 2022. "Developing a Comprehensive Shipment Policy through Modified EPQ Model Considering Process Imperfections, Transportation Cost, and Backorders" Logistics 6, no. 3: 41. https://doi.org/10.3390/logistics6030041
APA StyleSajjad, W., Ullah, M., Khan, R., & Hayat, M. (2022). Developing a Comprehensive Shipment Policy through Modified EPQ Model Considering Process Imperfections, Transportation Cost, and Backorders. Logistics, 6(3), 41. https://doi.org/10.3390/logistics6030041

